复读生能上600分吗?
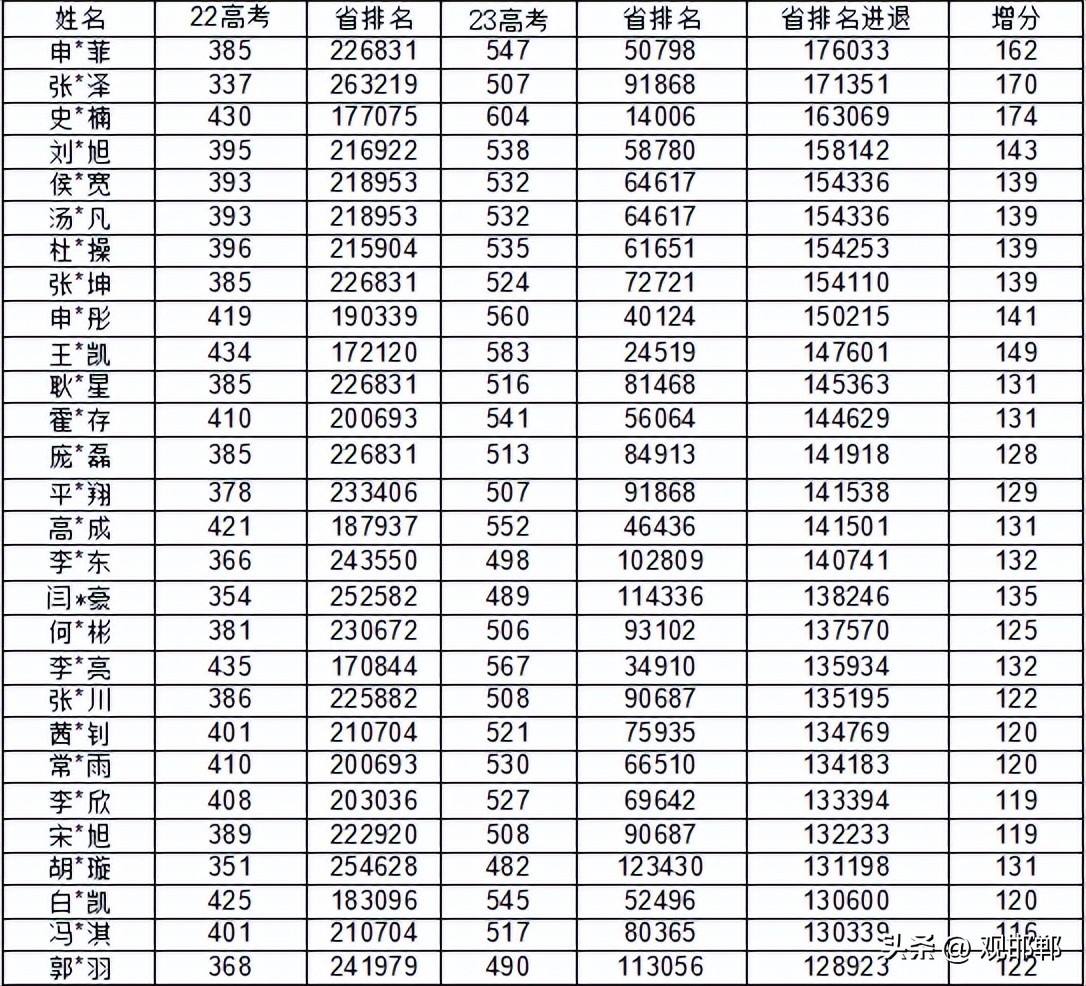
430+174=604
一年时间,他做到了!
给想要复读的你
亲爱的学弟学妹们:
大家好!我是恒一中学复读10班的史浩楠。高考失利,选择复读,相信大家此刻的心情都是十分沉重的。不过我要告诉你们,既然你选择了复读,那么你已经踏上了成功之路,因为你不甘平庸。

复读10班史浩楠(左)
2022年我考砸了,430分。可是我不甘心,于是我来到了恒一中学,开始了我的复读生涯。刚开始我的目标是上一本,可是在开学后的一次大会上,苏文贤主任说上一届复读生中有人提了170分,我想:为什么这个人不能是我呢?于是我把我的目标改成了600分,正是这一想法改变了我。

同学们认真操前读
我分析了自己存在的问题,并逐个解决,这很不容易,很累。有很多次我都想要放弃,但在老师的帮助下,我还是坚持了下来。有很多老师都和我进行过单独的交谈,帮我分析学习上的问题,解决心理上的困惑。
语文老师张雪慧是最先发现我上课问题的人,她找到我帮助我端正态度,调整上课状态,高考前,她给我们每个同学都手写了藏头诗卡片,让我特别感动;数学刘晓宁老师十分耐心,一年来我从最开始问最基础的题目,一直问到相对难的题目,她从来没有过不耐烦,最终我的数学从72分涨到125分;入校时我的英语只有47分,但冯贵璇老师选我当了课代表,这让我跟老师有了更多的沟通,最终我考到了102分;
化学苏文贤老师经验丰富,不仅传授知识,有时还会给我们分享人生哲理;物理栗利超老师,经常出现在我们的课间,帮助学生答疑;生物王亚楠老师是我的班主任,不仅关心我的学习,还关心我们的生活,我们还经常为一个问题“争论不休”……

史浩楠与王亚楠老师(左)和张雪慧老师(右)

化学苏文贤老师

数学刘晓宁老师

英语冯贵璇老师

物理栗利超老师
感谢老师们的付出与培养,这一年的复读生涯中,我得到的不仅是成绩上的提升,还有心灵的成长,这一切都要得益于老师们的谆谆教诲。恒一中学学习氛围浓厚,管理也十分到位,学生和老师有着共同的目标并付出努力。许多学生都会自愿在课下时间留在班里学习,这和我之前的学校有很大的不同。这里的老师大部分都比较年轻,和学生有共同语言,并且很有责任心,帮助学生成长。


课间同学们自觉讨论

晚自习下课后同学们争分夺秒
在这里我想要向大家分享一种我平常的学习方法。每次考试后,我都会写一下每一科的成绩,思考这张试卷上哪个题目对应的知识点是自己最容易掌握的,并列出所对应的版块及分值,然后定下比本次高20分左右的下次考试目标,在接下来的一段时间里,我就会去努力去攻克这些知识点。在这种短期目标的激励下,我的成绩逐步上升,直到高考考到了604分,完成了我入校定下的目标!
查到成绩的那一刻,我们全家人都非常高兴,感觉这一年的复读值了。


史浩楠2022年成绩&2023年成绩
复读部物理组合部分增分

复读部历史组合部分增分

如果现在你已经踏上了复读这条路,那就抛开一切杂念,只管去努力吧,结果不会让你失望的,相信你也会爱上这个校园,爱上这一年的复读时光!
