(一)一次性收付款项终值与现值的计算方法

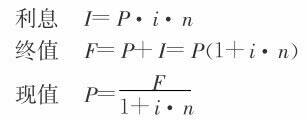
资金时间价值的计算涉及两个重要的概念,即现值和终值。现值又称本金,是指未来某一时点上的一定量资金折算到现在所对应的金额,通常记作P。终值又称将来值,是指现在一定量的资金折算到未来某一时点所对应的金额,俗称本利和,通常记作F。
一次性收付款项是指在生产经营过程中收付款项各一次的经济活动,比如定期存款。一次性收付款项资金时间价值的计算可以用单利法计算和复利法计算。
1. 单利终值与现值的计算方法
单利是只就本金计算利息的方法,而以前年度本金产生的利息不再计算利息。在单利计算方式下,现值与终值的计算比较简单,计算公式为:

例1-1某人目前存入银行2万元,期限5年,若银行存款利率为5.85%,采用单利计息,5年后的本利和?
解F=20000(1+5.85%×5)=25850(元)
例1-2宏兴公司准备存入一笔钱,希望3年后得到100000元用于归还*款贷**,若银行存款利率为5.4%,采用单利计息,问现在应存入多少?
解
P=100000/(1+5.4%X3)=86058.52

【讨论题1-6】
宏兴公司在建行上海浦东支行设立了一个临时账户,2007年6月1日存入15万元,银行存款年利率为3.6%。因资金比较宽松,该笔存款一直未动用。2009年6月1日宏兴公司拟撤销该临时账户,与银行办理销户时,银行共付给宏兴公司16.08万元。
阅读上述资料,分析讨论以下问题:
(1)如何理解资金时间价值,写出16.08万元的计算过程。
(2)如果宏兴公司将15万元放在单位保险柜里,存放至2009年6月1日,会取出多少钱?由此分析资金产生时间价值的根本原因。
(3)资金时间价值为什么通常用“无风险无通货膨胀情况下的社会平均利润率”来表示?
2. 复利终值与现值的计算方法
复利不同于单利,不仅本金要计算利息,而且涉及以前年度的利息继续按利率生息的问题,即所谓的“利滚利”,要把赚得的利息定期转加到本金上去,再赚得利息。
(1)复利终值。复利终值是指一次性的收付款项经过若干期的使用后,所获得的包括本金和利息在内的未来价值。其计算公式为:
F=P(1+i)n
式中:(1+i)n称为复利终值系数,用(F/P,i,n)表示,可以通过查阅附录二中的复利终值系数表(附表一)直接获得。
一张图读懂《资产负债表》
管理到底是“管人”还是“管事”,百分之九十的人理解有问题
一张图读懂财务的《利润表》
其实很多人并不明白企业“流程管理”的真正作用,出乎意料
人际关系搞得好的人基本上都看了这张图
创造财富之250定律,管用