markdown不能预览 (mark down画图)

前言

MarkDown的简便性让人越来越喜欢。虽然MarkDown也不是万能的,有些排版等MarkDown做起来也不是那么完美,尤其是涉及图片操作。

markdowngraph流程图,markdown能写思维导图吗

在日常的文档生产中,难免要用到一些流程图,一般用亿图图示等流程图软件画好了导出一张图片贴在MarkDown文档中,但其实MarkDown也是可以画出流程图的,初用可能麻烦点,但用熟了语法也不是那么难,而且可以少插入一张外部图片。

基本语法

MarkDown中的流程图语法叫flow ,该语法只有两个注意事项:

  1. 定义元素

  2. 连接定义好的元素

定义元素

tag=type:content:url
  1. tag:标签,用于连接元素时使用,相当于是定义了一个常量

  2. = :标签定义等式。

  3. type:该标签的类型。共有6种类型如下:

    元素类型 代表意义
    start 开始
    end 结束/完成
    operation 流程操作
    subroutine 预定子流程
    condition 条件判断
    inputoutput 输入输出
  4. content:流程语句中放置的内容

  • type:与content之间一定要有一个空格 ,否则会出问题

  • ::超链接定义等式

  • url:指向链接,与流程语句绑定,选填。

    连接元素

  • 使用-符号,如:

s=start:开始e=end:结束o=operation:操作项s-o-e

怎么画?

以上面的流程代码为例,在代码块标志后加上flow即可:

```flow
s=start:开始
e=end:结束
o=operation:操作项

s-o-e
```

有些MarkDown编辑器,如typora,在你插入代码时选择flow语法即可,就只需要输入流程图要用到的代码。

操作示例

最简单的流程图

以上面的流程图代码为例,我们可以得到这样的流程图

开始操作项结束

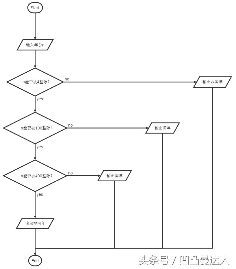
闰年判断逻辑

来个复杂点的:

```flow
st=start:Start
i=inputoutput:输入年份n
cond1=condition:n能否被4整除?
cond2=condition:n能否被100整除?
cond3=condition:n能否被400整除?
o1=inputoutput:输出非闰年
o2=inputoutput:输出非闰年
o3=inputoutput:输出闰年
o4=inputoutput:输出闰年
e=end

st-i-cond1
cond1(no)-o1-e
cond1(yes)-cond2
cond2(no)-o3-e
cond2(yes)-cond3
cond3(yes)-o2-e
cond3(no)-o4-e
```

得到下面的流程图:

markdowngraph流程图,markdown能写思维导图吗

当然,MarkDown画流程图这种对思维逻辑要求比较高,借助一款好的编辑器就事半功倍了,还能实时预览,推荐用Typora这款好用的MarkDown编辑器,之前推荐过,可以翻阅下我的历史文章。

混迹互联网数载,干过技术支持,做过软件测试,学过编程,现在是枚产品汪,我是互联网的打杂工,我是凹凸曼达人。