“1”是自然数中最基本的正整数:
1是最小的正整数,最小的正奇数,是一个有理数,是一位数,也是单数。
1既不是质数(素数)也不是合数。通过单位表现出来的事物的第一个。一个或者几个事物所组成的整体,可以看作是单位“1”。
是0~2之间的整数自然数,也是一个简单的阿拉伯数字。1的n次方(n∈R)都=1。1有很多用法,比如长度:1米;人数:1人,等很多用法。
“0”是复数系中最关键的整数:
0既不是正数也不是负数,而是正数和负数的分界 点。0没有倒数,0的相反数是0,0的绝对值是0,0的平方根是0,0的立方根是0,0乘任何数都等于0。0不能作为分母、除数或者比的后项,0的所有倍数都是0。
“π”是最常用、最重要的无理数之一:
Π=3.1415926........
前六位有效数字314159是个素数,把它反过来 951413 还是素数;314159恰好是三个素数31、41、59连写而成,这三个素数的和,它们的立方和,以及五次方和也都是素数。
“e”是最常用、最重要的无理数之一:
e在数学中是代表一个数的符号,其实还不限于数学领域。e是自然对数的底数,是一个无限不循环小数,其值是2.71828...,它是这样定义的:
当n→∞时,(1+1/n)^n的极限
注:x^y表示x的y次方。
“i”是虚数单位:
在复数a+bi中,a称为复数的实部,b称为复数的虚部,i称为虚数单位。
虚数单位i定义为二次方程式x^2+1=0的两个解中的一个解。这方程式又可等价表达为x^2=-1,所以x=i,虚数单位“i”为-1的平方根。
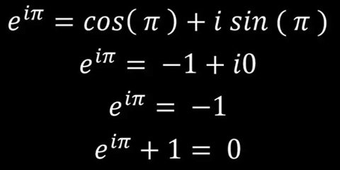
数学中最重要的5个数就是“ 1 、0、 e 、i ”,而且这样几个复数系中最重要、最特殊的数,我们可以统一在同一个等式中,如下:

这几个最要的数,我们可以以最简洁、和谐、奇异般方式组成一个公式,这个公式被很多人称为最美数学公式。这个公式是怎么得到?我们一起来看一下:

第一个式子是欧拉在证明指数增长和圆周运动的等价性时用到公式的一种特殊情况。
数学有时候就是这么奇妙、精彩,逻辑过程令人拍案叫绝。这种奇妙正体现了数学本身所具有的内在美,即数学美。