无理数是很有趣的,小数点一直延续下去,但是整个数总是小于一个固定值,这不是很尴尬吗?更令人惊讶的是,这些数字是如何与画在一个平面上的圆联系在一起的,是的,我说的就是π。这里我们将用半页纸来证明这个数字π的无理性。
几千年来,人类文明就已经知道π及其与周长和圆面积的关系;尽管π的估算从3到3.12再到3.14等等,但它的无理性却只有约翰·海因里希·兰伯特发现并证明了-(德语:[lambt],法语:让-亨利·兰伯特;1728年8月26日至1777年9月25日),他是1760年的瑞士博物学家,后来被其他著名的数学家如厄米特、卡特莱特、布尔巴基和拉茨科维奇所研究。
然而,当这些证明被认为是高水平的数学时,Ivan Niven博士的一篇论文用简单易懂的工具,用古老的矛盾方法将其缩短在半页纸里,让我们来看看。
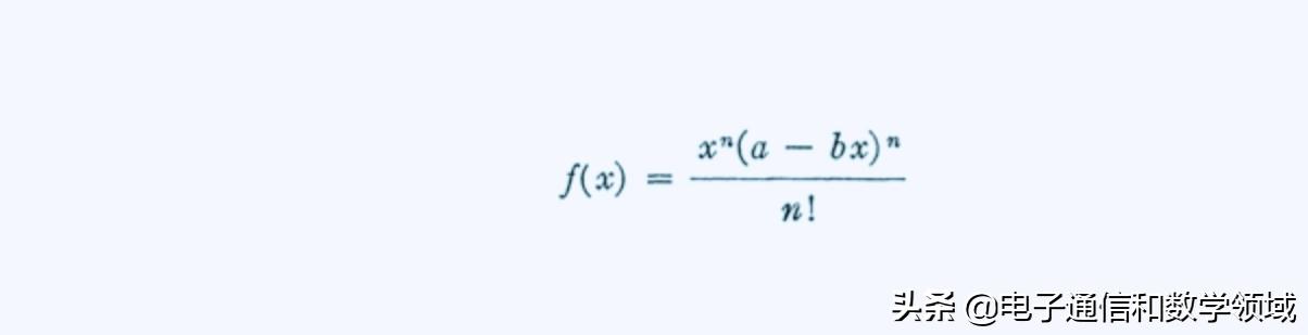
首先考虑π是有理数,π可表示为π = a/b,其中a和b为整数且b≠0。让我们再考虑一个函数:

我们可以将n从1变换到任意数n,得到一个多项式F(x):

现在,回到f(x),很明显当n!与f(x)相乘,分母为1,因此对于任意x, f(x)的结果是一个整数。所以

现在,如果你考虑右边,(a -b.x)^n中x的最低次幂是0,在a^n中,当它乘以x^n时,结果中x的最低次幂是n,最高次幂是n+n = 2n。
如果对f(x)求导,当x = 0或(a - b.x) = 0 => x = a/b = π(如前所述)时,结果总是0,因为分子中所有项都有x。现在我们对(F ' (x) sin x - F(x) cos x})关于x求导。

经过一些简化,我们得到的结果是:这里将把它作为一个有趣而简单的题目留给大家。

你可能知道,积分是微分的逆运算,反之亦然。因此,如果对f(x) sin x积分,也就是对{f ' (x) sin x - f(x) cos x}求导后的结果,我们得到的结果是{f ' (x) sin x - f(x) cos x} !在0到π的范围内积分相同,我们得到:

在此,π= a / b。如前所述,F(π)+ F(0)是一个整数,可以任意次数地将f(x)微分,因为x = a / b =π和x = 0的结果是整数。
但由于f(x)是一个多项式函数,当0 < x < π时,f(x). sinx的最小值为0,而x的值为f(x)。通过对sinx = 0求导可以得到sinx = 0的最大值,接下来如果将值代入,就得到了该函数值在上述极限中的一个上界。

很好,所以这个积分是正的,但是对于一个非常大的n它就不成立了,当n的值更大时,它的上界趋向于0。

换句话说,对于n的任意值的积分在n的更大值处断开,所以有两种可能性,要么是积分过程出错,要么是π不能写成a/b。但如果你用多种方法来验证积分过程,结果总是一样的,要么就是π≠a/b,要么就是π无理数!
虽然现在有许多人已经记住了成千上万个π的数字,但只有少数人知道如何证明它的无理性。尽管有很多对π无理性的证明,甚至有一个从未存在过的法国数学家布尔巴基的证明,但伊凡·尼文的证明碰巧是最简洁的。
