随着高楼大厦、厂房设备、电力设施越来越大型化,对高空作业平台的需求越旺盛。顾名思义,这就是让你在几米以上的高度进行工作的工具,例如对建筑物外墙表面的装饰、清洗和维护,此外还广泛应用于船舶制造、大型设备安装与维护、仓储物流、电厂检修等领域。
去年,全球高空作业平台销量41.7万台,再创历史新高。其中,中国销量接近20万台,占比达到47%。全球高空作业平台保有量接近250万台,国内高空作业平台保有量同比增长超过30%,达到48.74万台。

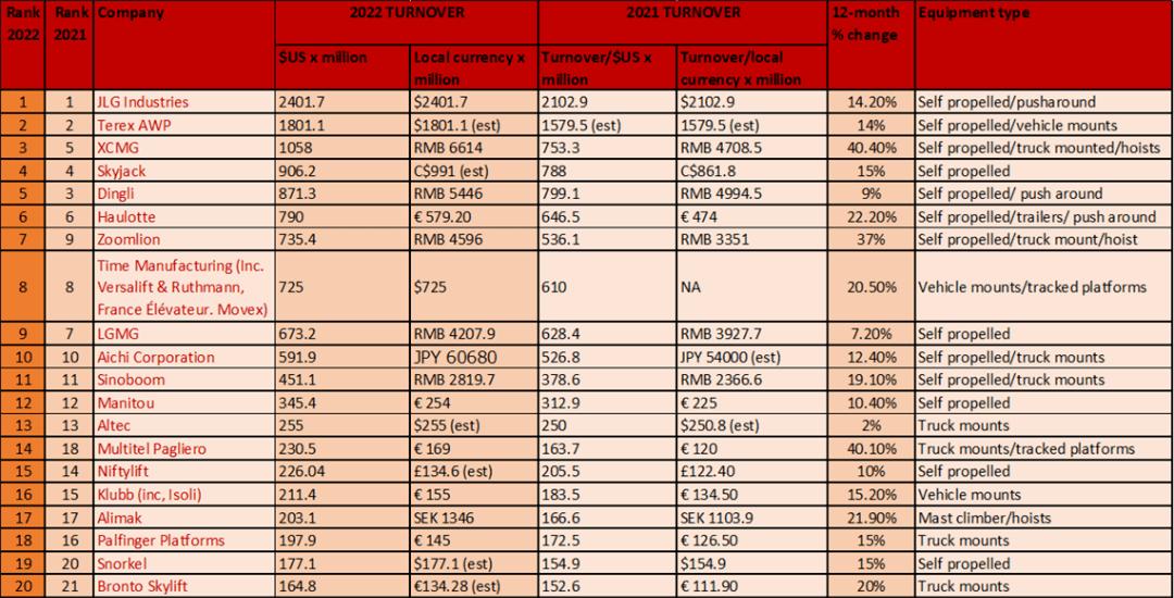
早在半个多世纪前,国际同行就开始生产并普遍推广应用高空作业设备。相比之下,国内高机品牌起步较晚,但发展势头十分迅猛。根据英国KHL集团旗下权威杂志《Access International》发布“2022年全球高空作业机械制造企业20强”榜单(Access M20)显示,5家中国企业榜上有名。
星邦智能(sinoboom)继续排在第11位,销售额为4.51亿美元。公开资料显示:这家企业成立于08年,坐落在中国工程机械之都——湖南长沙,专注于各类高空作业设备的研发、制造、销售及服务,拥有直臂式、曲臂式、剪叉式、蜘蛛式、套筒式、桅柱式、车载式七大系列,高度范围覆盖4米至58米。
成立第一年,星邦智能就设立了国际营销部,近年来更是加速全球化布局。去年5月底,在波兰投资建设的第一个海外制造基地顺利竣工并实现批量生产,这也是中国高空作业平台制造商首家专业的海外工厂。此外,公司还拥有5家海外子公司、60多个海外服务点,产品远销东南亚、澳洲、中东、南美、欧洲等市场。
去年,星邦智能的海外销售收入同比翻番,再创历史新高。国际销售占比达到30%,根据公司的发展战略,到2025年这个数字将超过50%,2028年要达到70%左右。

临工重机(LGMG)下滑2个名次排在第九位,销售额6.73亿美元。背后的临工集团前身是成立于1972年的临沂机械厂,经过半个世纪的发展,已成为中国工程机械核心制造企业。
2012年成立的临工重机,主要聚焦八大业务板块,其中高空作业机械等已成长为公司主营业务和高盈利模块。涵盖全系列剪叉式升降工作平台、全系列臂架式升降工作平台、又装车等多个品种,进入欧洲、北美、日韩、东南亚等多个国家和地区。

总部同样在长沙的中联重科,上升2个名次排在第七位。高空作业机械是公司的新兴板块之一,去年高空作业机械产品销售同比增长37.15%,今年一季度继续保持快速增长。
位于湘江新区的中联重科智慧产业城总投资千亿、占地面积约一万亩,下设的高空作业机械智能工厂拥有五大系列产品。建成投产后,每7.5分钟可下线一台剪式高空作业平台,每20分钟可下线一台臂式高空作业平台。
排在第五位的浙江鼎力,较去年下降2个名次。这家总部位于浙江省湖州市德清县雷甸镇的企业,旗下主要产品涵盖臂式、剪叉式、桅柱式三大系列共150多款规格,已成功进入美国、德国、日本三大主流高端市场,远销80多个国家和地区。

徐工再升两位,跃居中国第一、全球第三,仅次于美国捷尔杰(JLG)和特雷克斯-吉尼(Terex AWP),高空作业平台销售收入首次超过10亿美元(10.58亿美元)。
作为中国工程机械产业的奠基者和开创者,2021年徐工发布了“灵云”K系列高空作业平台,并依托于此自主研发了50余款新能源高机产品,包括首款纯电动曲臂高空作业平台GTBZ14JD、大载荷越野剪叉XG1523RT、“全球第一高”XGS70K直臂式高空作业平台……全系产品完成欧洲CE认证、北美ANSI认证和澳洲AS/NZS1418认证,覆盖全球60多个国家和地区。
写在最后
进入前十名的还有加拿大斯凯杰科Skyjack(4)、法国欧历胜Haulotte(6)、美国时代公司Time Manufacturing (8)、日本爱知Aichi(10)。作为中国工程机械行业的新兴事物,近年来高空作业平台正处于高速增长阶段,除了上述企业,三一、山河智能、江河重工等也逐渐崭露头角,期待中国高机品牌在国际舞台上有更亮眼的表现。