土壤中氮的来源一般有以下几方面:施入土壤中的化学氮肥和有机肥料、动植物残体的归还、生物固氮、雷电降雨带来的等等,目前,施入土壤中的肥料是土壤氮的主要来源。今天栢晖生物给大家整理了如何通过碱解扩散法测定土壤水解性氮:

一、试剂
(1)1.0mol/L氢氧化钠溶液:称取化学纯氢氧化钠40 g,用蒸馏水溶解后冷却定容到1000 ml。
(2)1.2mol/L氢氧化钠溶液:称取化学纯氢氧化钠48 g,用蒸馏水溶解定容到1000 ml。
(3)1.8mol/L氢氧化钠溶液:称取化学纯氢氧化钠72 g,用蒸馏水溶解后冷却定容到1000 ml。
(4)2%硼酸溶液:称取20 g硼酸,用热蒸馏水(约60℃)溶解,冷却后稀释至1000ml,用稀盐酸或稀氢氧化钠调节pH至4.5(定氮混合指示剂显葡萄酒红色)。
(5)0.005mol/L(1/2 H2SO4)硫酸标准溶液:量取H2SO4 2.83 mL,加蒸馏水稀释至5000 mL,然后用标准碱或硼酸标定之,此为0.0200mol/L(1/2 H2SO4)标准溶液,再将此标准溶液准确的稀释4倍,即得0.0050mol/L(1/2 H2SO4)的标准液。
(6)定氮混合指示剂:0.5g溴甲酚绿和0.1g甲基红溶于100ml乙醇中。
(7)特制胶水:阿拉伯胶(称取40g粉状阿拉伯胶,溶于50 ml蒸馏水中)在烧杯中热温至70—80℃,搅拌促溶,约1小时后放冷。加入甘油20 mL,饱和碳酸钾水溶液20 mL,搅拌、放冷。离心去除泡沫和不溶物,清液贮于具塞玻璃瓶中备用。(最好放置在盛有浓硫酸的干燥器中以除去氨)
(8)硫酸亚铁(粉状) :将分析纯硫酸亚铁磨细保存于阴凉干燥处。
二、主要仪器
扩散皿、微量滴定管、1/1000分析天平、恒温箱、玻璃棒、毛玻璃、皮筋、吸管(2 ml和10 ml),腊光纸、角匙、瓷盘。
三、试样的制备
称取通过18号筛(孔径1 mm)风干样品2.000 g(精确到0.001g)和1 g硫酸亚铁粉剂,均匀铺在扩散皿外室内,水平地轻轻旋转扩散皿,使样品铺平。(水稻土样品则不必加硫酸亚铁。)
四、分析步骤
1. 用吸管吸取2%硼酸溶液2 ml,加入扩散皿内室,并滴加1滴定氮混合指示剂,然后在皿的外室边缘涂上特制胶水,盖上毛玻璃,并旋转数次,以便毛玻璃与皿边完全粘合,再慢慢转开毛玻璃的一边,使扩散皿露出一条狭缝,迅速用移液管加入10 ml 1.8 mol/L氢氧化钠于皿的外室(水稻土样品则加入10 ml 1.2 mol/L氢氧化钠),立即用毛玻璃盖严。
2. 水平轻轻旋转扩散皿,使碱溶液与土壤充分混合均匀,用橡皮筋固定,贴上标签,随后放入40℃恒温箱中。24小时后取出,再以0.01 mol/L HCl标准溶液用微量滴定管滴定内室所吸收的氮量,溶液由蓝色滴至微红色为终点,记下盐酸用量毫升数V。同时要做空白试验,滴定所用盐酸量为V0。
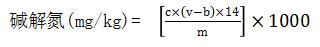
五、结果计算

式中:
C—0.005mol/L(1/2 H2SO4)标准硫酸的摩尔浓度;
V—滴定样品时所用去的盐酸的毫升数;
b—空白试验所消耗的标准盐酸的毫升数;
m—初始样品重;
14—氮原子的摩尔质量mg/mol;
1000—换算成每百g样品中氮的mg数。
来源:成都栢晖生物整理