本文精要解析了流体力学的基本概念,了解这些基本概念就可以说对流体力学的入门知识基本掌握了。
流体的概念与固体相对应,指可以流动的物体,包括液体和气体。流体力学 (Fluid mechanics) 是力学的一门分支,研究流体现象及相关力学行为,由简单到复杂大致分为三部分:
- 流体静力学 (Hydrostatics):研究静止的流体。
- 流体运动学 (Fluid kinematics):研究流体运动的几何性质,不涉及力。
- 流体动力学 (Fluid dynamics):研究流体运动的力学性质。

计算流体力学云图
流体力学有一个最基础的模型——欧拉在1753年提出的“连续介质模型”,意思就是说流体是连续的,这样研究的时候也不需要研究到分子级别,而只是将流体划分为非常小的“流体微元”,这就与高等数学的基础“连续”不谋而合。
流体的基本性质
- 可压缩性:液体和气体都是可压缩的,温度越高,体积越大(使用体胀系数表征);压强越高,体积越小(使用体积模量表征)。实际的应用中,大多数液体的可压缩性非常小,尤其不要求很高的计算精度时,基本都可以忽略。
- 粘性: 胶水、机油给人的感觉就是粘粘的,这就是粘性,而实际上,所有流体都有粘性。当流体运动起来,流体微元之间存在相对的运动,这就会在流体内部产生摩擦力,阻碍了流动,这就是粘性。粘性的机理有两方面:一是流体分子间存在的吸引力,试图拉着流的快的部分不让它走;二是流体分子运动时互相之间产生撞击,也阻碍了流动。液体粘性机理以前者为主,而气体则以后者为主。
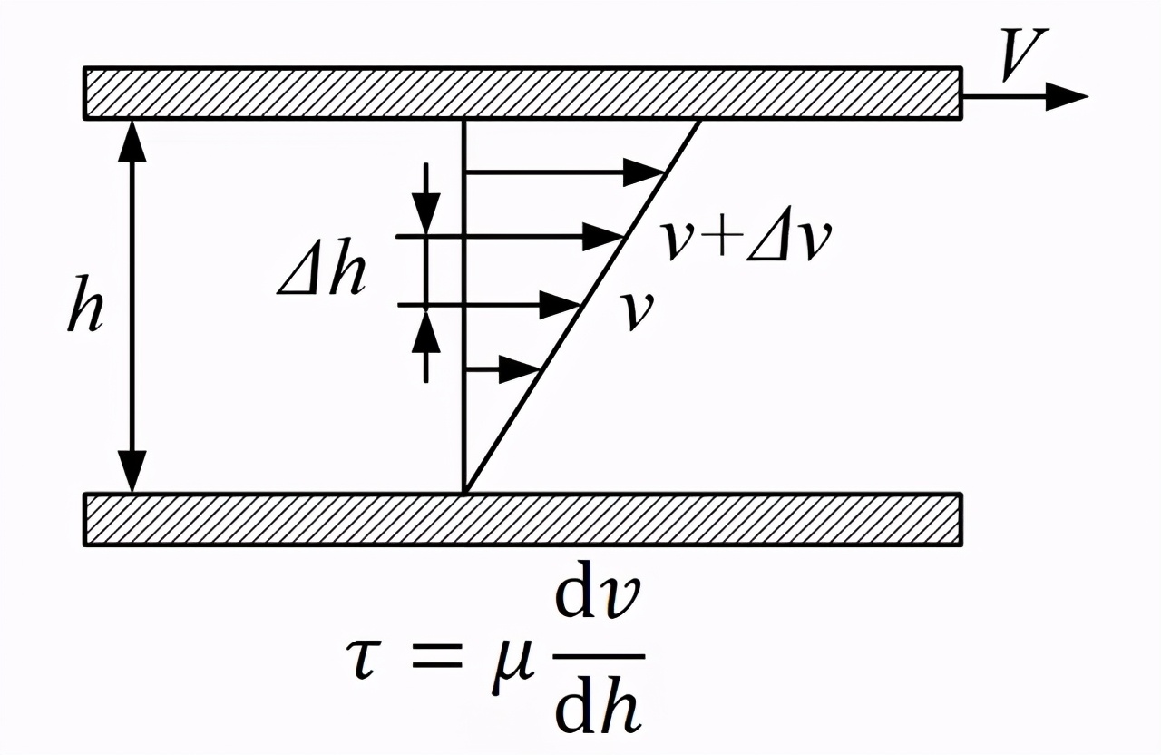
牛顿内摩擦定律

牛顿内摩擦定律
定律说,切应力等于粘度与速度梯度的乘积,速度差越大,产生的切应力也越大。上边的粘度被称为动力粘度,单位是厘泊 (cP),20摄氏度时水的粘度就是1cP。还有一种粘度的表示方式叫做运动粘度 ν ,单位为厘斯托 (cSt),是一个没有力学参数的量纲,运动粘度就是动力粘度除以密度。
粘度受温度如何影响呢?有意思的是,对于液体与气体,这个规律是不同的。对于液体,温度越高粘度越小;对于气体则是温度越高,粘度越大。其实只要根据上述两者粘性的机理去思考,就明白为什么是这样的了。
有时候在实际应用中,我们认为粘度不影响分析问题,这时假设其粘度为0,那么我们称之为“理想流体”。
流体的类型有许多,如果满足上述牛顿内摩擦定律的,我们称之为“牛顿流体”,否则为“非牛顿流体”。