获取本报告PDF版请见文末 出品方/分析师:申港证券 曹旭特
1、光刻技术:集成电路制造皇冠上的明珠
1.1 光刻工艺历史:传承与革新并存的光影游戏
光刻是集成电路制造的核心环节,现代光刻的核心理念源自于经典的多重套刻。集成电路诞生于 20 世纪 60 年代的美国,经过 50 余年的发展,如今制程节点早已从最初的 20 微米左右,跨过微米时代,进入纳米与亚纳米时代。
以光刻技术使用的光学镜头为例,从最初使用照相设备类似的放大镜头,到如今直径可达半米,重达数百公斤的巨型镜头组。

光刻流程的核心思想是将掩模版上承载的集成电路的图案信息转移到载体晶圆上。
这一过程的思想来源于历史悠久的印刷术,但是与印刷术不同,光刻工艺并非使用油墨为介质,而是借助光敏物质在受到光照(曝光)后发生的化学变化,完成这一信息的转移。
现代意义上的光刻(photolithography),最早起始于 1798 年的德国慕尼黑,当时阿罗约˙塞内菲德勒(Alois Senefedler)在发行出版自己的作品过程中发现,如果使用油性铅笔将插图画在多孔的石灰石上,并且将没有画到的地方用水浸湿,由于油性墨水不溶于水的特性,会与水相互排斥,后续墨水只会吸附在油性铅笔画过的地方。这种技术被叫做 lithography,它成为了后来现代多重套印的基本思路,并一直传承至今。

在集成电路制造业中,光代替上述过程中的油性铅笔,就像油性的墨水会选择性沉积在石灰石上,光智能透过掩模版上的透明区域。光是光刻工艺的重要媒介,它自身的物理性质决定了工艺所能达到的极限分辨率。
按照光路的不同,主流曝光方式可以分为三种,接触式曝光、接近式曝光以及投影式曝光。
最早出现的方式是投影式与接近式曝光,二者没有本质的区别,并且在 DUV 出现之前,一直是晶圆制造业的主流。

对于接触式曝光而言,由于掩模版和和硅片上部界面之间没有间隙,因而不存在分辨率的的问题。然而接触会引发掩模版和光刻胶的磨损,增加缺陷发生的可能,因此产生了接近式曝光。
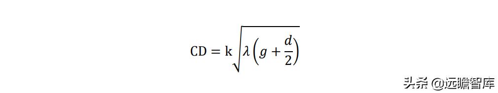
接近式曝光避免了磨损带来的缺陷,但是由于空隙和光散射的存在,接近式曝光的分辨率在当时条件下被限制在了 3μm 以上。接近式曝光的理论分辨率极限是

其中 k 代表光刻胶参数,通常取值在 1~2 之间。
CD(Critical Dimension)代表最小尺寸,一般对应最小能够分辨的周期线宽。λ是曝光使用的光源的波长。掩模版 到光刻胶表面的距离用 g 表示,通常大于 10μm。从公式可知,在使用当时主流的 450nm 光源下,极限分辨率在 3μm,而接触式曝光下,这一极限为 0.7μm。
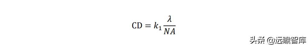
当前主流的投影式曝光的诞生,弥补了接触式曝光与接近式曝光的不足,突破缺陷与分辨率的双重限制。光学透镜组被引入到光刻胶与掩模版之间,这种情况下,投影式曝光方式中,光学分辨率可以有著名的瑞利公式决定:

其中 CD 与λ和上文公式中对应的变量意义相同;k1 是一个与光刻过程本身相关的系数,业内目前关于 k1 可以达到的极小值是 0.25;NA 是投影/扫描装置的数值孔径,如果介质是空气或者真空,那么 NA 在数值上就等于其物镜在像空间的最大半张角的正弦值。
NA 反映了光学组件对光的收集能力。
NA = n sin
提高系统分辨率的方式有三种,使用波长更短的光源,增大数值孔径,以及减小工艺系数 k1。
其中改变光源的波长最为容易,随着制程的推进,光刻系统的光源从高压汞灯,演进为准分子激光光源(KrF、ArF)与最新的基于激光诱导等离子(LPP)极深紫外光源(EUV)。增大数值孔径通常需要改变光学组件的直径或者改变介质的折射率。

摩尔定律描述的晶圆制造工艺是持续迭代演进的过程,而演进中技术路线的分歧点会催生新的行业龙头。
光刻工艺的演进并不是一帆风顺的,对行业影响最深远的一次技术分歧是 DUV 时代中 157nm 干法光刻与 193nm 浸没式光刻的岔路口。
基于分子激光的光源微缩至 ArF 的 193nm 时,尼康为首的光刻机制造商主推基于 F2 的 157nm 光源。这种光源可以提高 20%左右的分辨率,但是存在下列缺点:
镜组使用的光学材料在 157nm 时均为高吸收态,吸收激光辐射后升温膨胀,产生形变造成球面像差。因此必须使用 CaF2 制造镜组。然而 CaF2 镜组使用寿命短,且核心技术在尼康手中,产能较低,无法满足大规模应用的要求。
由于 ArF 的使用的光刻胶在 157nm 均有强吸收,光刻胶需要重新进行开发,投入产出比较低。此时,台积电工程师林本坚提出基于现有 193nm ArF 浸入式光刻的概念。
由于这一理念是基于现有设备加以改造,对于光源与透镜组系统的改动较小,ASML 第一个 响应了林本坚与台积电的这一提案。
ASML的这一决定为其在 45nm 以下时代取得了市场先发优势,为期在先进制程的统治地位奠定了基础。

随着制程推进至 7nm 以下,伴随 EUV 时代的来临,已知光学材料对极深紫外均有强吸收。EUV 光刻机中光学组件不再使用基于透射式的光路设计,而是改为使用反射镜搭建光路。

1.2 光刻工艺流程
光刻工艺在集成电路、显示面板、PCB 制造等微图纹结构的形成中有着广泛的应用,典型的光刻工艺核心步骤包括:表面处理、涂胶、曝光前烘焙、对准和曝光、曝光后烘焙、显影、显影后烘焙、测量。
气体硅片表面预处理:
光刻前,硅片会经历湿法清洗与去离子水淋洗,以去除表面污染物。在湿法清洗的过程中使用的清洗液中添加的亲水表面活性剂会使硅片表面变为亲水,同时硅片在湿法过程中表面羟基数量增加后也将变得更为亲水。
大部分基于树脂/有机高分子聚合物的光刻胶在亲水表面的附着力较差,所以晶圆表面需要使用六甲基二硅胺烷(Hexamethyl Disilazane, HMDS)进行疏水化处理,硅表面的亲水基团 Si-OH 在这一过程中被置换为疏水的-OSi(CH3)3。


旋涂光刻胶、抗反射层:
气体预处理后,光刻胶将被均匀的涂布在晶圆表面。涂胶最常用的工艺为旋涂法。体积为几毫升的光刻胶通过专用的管路,输运到晶圆中心。之后硅片会按照设定的程序加速旋转到预定转速。光刻胶在晶圆表面形成的覆膜厚度取决于光刻胶本身的流动特性与最终旋转速度有关。
涂胶过程中,膜厚的均匀度与涂胶相关的缺陷数是该工序中最为关心的两个问题。由于光刻胶的粘度会随着温度而变化,可以通过分区改变光刻胶或者晶圆表面的温度,实现晶圆表面不同区域中可变调节光刻胶膜的厚度。通过线宽随光刻胶厚度的规律,可以确定光刻胶图层的最佳厚度,以节省机时与原料。



曝光前烘焙:
光刻胶旋涂在晶圆表面之后,需要经过前烘,又称为软烘。这一步的目的在于去除光刻胶中易挥发的部分溶剂,同时使得旋涂后的光刻胶更加致密。
通常使用的温度在 80~100 oC,持续时间为 30~45s。前烘结束后,晶圆将会从热板上转移至冷板上,降温到环境温度后再进行后续工序。
图14:前烘温度与分解速率的对应关系

对准与曝光:
这一过程是光刻工艺的核心环节,掩模版将被移动到硅片上预先定义的大致位置,或者相对于上一道光罩已形成的图形上确定的位置。在第二层及以后的曝光过程中光刻机需要对准前一层曝光所留下的对准记号,将本层的掩模版套印在已有的图形上。
套刻精度通常为最小期器件尺寸的 30%左右,以 65nm 节点为例,套刻精度通常为 16~20nm。
曝光后烘焙:
曝光完成之后,涂有光刻胶的晶圆需要再次进行烘焙(Post Exposure Baking, PEB)。这一烘焙工序的目的是利用加热的方式,加快化学反应的进行。曝光过程中光敏组分的引发的化学反应会在加热条件下发生扩散,与光刻胶发生反应后,形成可溶于显影液与不溶于显影液的组分。由于曝光后形成的图形与掩模版上的图形一致,但是没有显现出来,因此这些图形又被称为潜像(Latent Image)
显影:
后烘之后的晶圆会经过显影步骤去除指定区域中已产生化学反应的光刻胶。光化学反应后的光刻胶通常显酸性,因此显影液的基础配方通产显碱性,早期显影液会使用钾或者钠的氢氧化物溶液或者对应的硼酸、碳酸盐,但由于金属离子的残留会影响到器件本身的电性能,现在显影液一般使用体积比为 2.38%的四甲基氢氧化铵溶液(TMAH)。

显影后烘焙,坚膜:
显影过后,掩模版上的图形基本已经转移到了晶圆表面,坚膜的目的是为了使光刻胶的性质更加稳定,同时由于显影这一湿法过程中,光刻胶会接触到大量的水,这一步骤对于后续的湿法蚀刻产生不利影响,因此需要通过烘焙的方式将光刻胶中吸收的水分移除。
另一种情况是显影后在胶-基板界面会存在残留的聚合物薄层,可以使用 O2 等离子气体对样品进行处理以去除非期望的聚合物残留(descumming)。
刻蚀(etching):
刻蚀是晶圆制造领域最常见也最核心的步骤之一,刻蚀可分为使用化学作用的湿法蚀刻与使用低压等离子气体的干法蚀刻,通常我们所说的光刻中实际上发生的材料去除,并非使用光之一媒介自身实现,而是蚀刻过程中加以完成。
光刻胶去除(PR Strip):
光刻胶的作用是在蚀刻工艺中保护相应的区域不被去除,但是在相应的工序结束后,光刻胶最终需要被移除以保证后续工序的正常进行。这一过程通常被称作去胶。


测量:
曝光完成后,需要对光刻形成的关键尺寸(CD)以及套刻精度进行量测。关键尺寸的测量通常借助扫描电子显微镜,而套刻精度则使用光学显微镜和 CCD 结合的方式加以确定。
图17:左:扫描电子显微镜(CD-SEM)测得的关键尺寸数据右:套刻精度测量的结果


平板显示阵列的制造:
在该过程中,光刻胶涂敷于晶体薄膜表面,经过曝光、显影和蚀刻等工序,将掩模版上的图形转移到薄膜上,形成与掩模版对应的几何图形。


1.3 光刻工艺窗口及其评价方法
光刻工艺是复杂的物理化学过程,现代晶圆代工中对于光刻工序的精度与可复现性要求极高,是人类工业成果的集大成者。通常光刻工艺的参数窗口与评价指标从以下几个维度出发:
曝光能量宽裕度(EL):
这一概念是指在线宽允许变化范围内,对于曝光能量允许的最大偏差。通常 EL 使用曝光结果检测线宽全部允许范围的±10%来确定。曝光能量宽裕度可以通过下面的表达式计算:

对于线宽 90nm 的工艺,假定曝光能量的变化斜率为 6nm/(mJ/cm2 ),最佳曝光能量为 20mJ/cm2 , 则 EL 的值为((90*20%)/6)/20=15%。通常来说,对于 90nm,65nm,45nm 以及 32nm 节点,gate 栅极光刻的 EL 为 15%~20%,金属线互连 EL 的要求为 13%~15%。曝光容忍深度还同对比度直接相关,光刻胶对光的吸收,以及发生光化学反应需要光敏成分在光刻胶薄膜内扩散,这种化学反应伴随的扩散会降低对象的对比度。
对焦深度(Depth of Focus, DoF):
是指在线宽允许的变化范围内,焦距的最大可变化范围。随着焦距的变化,光刻胶线宽与形貌均会发生变化。在实际生产中,能量和焦距都是在时刻变化的,需要在能量有漂移的情况下,确认焦距的最大允许变化范围。
表5:不同技术节点上的典型对焦深度要求


掩模版误差因子:
掩模版误差因子主要由光学系统的衍射造成,其定义为在硅片上曝出的线宽与掩模版上线宽的偏导数。影响掩模版误差因子的条件有很多,包括照明条件、光刻胶性能、光刻机透镜像差、后烘温度等。对于远大于曝光波长的图形,即处于线性范围的情况下,掩模版误差因子通常非常接近 1。除开个别特殊情况,掩模版误差因子一般不会小于 1。
线宽均匀性:
晶圆制造中的线宽均匀性一般分为:芯片区域内(within chip)、曝光区域内(within shot)、硅片内(within wafer, WIW)、批次内(within lot)、批次间(lot to lot)。


2、光刻胶:流动的黄金
2.1 光刻胶分类:紧贴应用、配方多样
历经几十年的持续演进,光刻胶的核心组分也在不断的创新与改进,以应对新工艺中不断出现的新挑战。光刻胶的几大组成成分包括:主干聚合物(backbone polymer)、光敏感成分(Photoactive Compound, PAC)、刻蚀阻挡基团(Etching Resistant Group)、保护基团(Protecting Group)、溶剂(Solvent)构成。
光刻胶 中各个组分的性质,最终会影响到光刻胶在曝光显影过程中的实际性能。

光刻胶的分类方式众多,按照光照后显影时与显影液产生的化学反应,最终形成的图形与掩模版图形的对应关系划分,可以分为正胶与负胶。
正胶的光敏成分在光照下会分解成为短链结构,从而在显影环节中会被显影液去除,因此在光线照到的区域,会被显影液去除,在蚀刻过程中光照到的区域会被等离子化气体蚀刻去除,最终留下的图样是曝光工序中光线所没有照到的区域。
负胶与正胶的图形转移过程找好相反。聚合物的短链分子在光照条件下发生聚合反应,形成难以被显影液除去的聚合体系,未被光照的区域光刻胶被去除,在后续的刻蚀中被移除,形成与掩模版上相反的结构。

对于正胶与反胶而言,虽然进入 DUV 时代以后,正胶成为了绝对的主流,但这并不意味这负胶的性能落后于正胶。由于正胶与负胶涉及的化学反应与曝光显影完全不同,因此二者从技术特性角度出发有着各自不同的性能与最佳使用场景。正胶在分辨率、对比度、曝光缺陷率、去胶后的残胶等指标方面均要优于负胶。
在正 胶与负胶的选择中,需要综合考量多个因素:
掩模版的制作成本:在图形不变的情况下,正胶与负胶的区别会直接影响到掩模版上的图纹设计。掩模版制造成本与难度可以通过光刻胶的选择来实现。
工艺匹配度:光刻胶与具体的工艺直接相关,如负胶通常比正胶更适合 Lift-off 工艺。
光刻胶本身的成本:作为光刻工艺的核心耗材,光刻胶本身的成本也是在选择相应产品时的重要考量因素。


长久以来,提高光刻设备分辨率极限的最有效手段是改变光刻使用的光源。由前文所述内容可知,光刻设备的理论极限分辨率与所用光线的波长成正比。
光刻胶中感光成分对于不同波长的光线具有不同的吸收光谱,同时由于不同波长光所具有的能量不同,因此在光刻设备迭代更新时,光刻胶中的光活性成分以及相应的配方体系也会随之改变,以匹配对应的光源。因此光刻胶也以对应的光源波长来分类。

也可以将光刻胶按照其光照下发生的光化学过程,分为四种类别:光聚合型、光分解型、光交联型和化学放大型。对应不同的化学过程,光刻胶所使用的主干聚合物与光敏感成分也有所区别。

光刻工艺作为形成微纳米网格结构的一种常用手段,在电子制造业中有着广泛的应用。因此按照光刻胶下游的应用场景,也可以将光刻胶大致的分为面板制造用光刻胶,晶圆制造/封装用光刻胶,PCB 光刻胶等。针对不同的应用场景与相应的具体性能指标要求,光刻胶体现出了一定的定制性。
2.2 光刻胶的演化:光线书写的编年史
当集成电路还是实验室中制作的实验品时,光刻工艺就已经得到应用。贝尔实验室的 William Shockley 制造第一块现代意义上的集成电路时,使用的感光材料是重铬酸盐明胶(DCG)。
重铬酸盐明胶是一种非常古老而又经典的感光材料,它具有较高的衍射效率与信噪比,但感光度较低。虽然以现代的眼光看,重铬酸盐明胶无论是从成像性能还是从 ESG 角度讲,都是很不理想的材料,但是在上个世纪 50 年代,留给 Shockley 等人的选择并不多。

由于早期的集成电路制造中,蚀刻工艺仍使用氢氟酸等湿法工艺进行,在氢氟酸的作用下,重铬酸盐明胶的抗腐蚀性能不佳。
贝尔实验室想伊士曼柯达公司提出要求,柯达开发出了聚肉桂酸乙烯酯体系的光刻胶产品,并以 KPR 作为商品名进行公开发售。
这一体系的设计构思是基于与重铬酸盐明胶相同的反应机理。研发人员推定重铬酸盐明胶的固化过程是由于蛋白质支链上相邻基团在光照作用下交联的结果,因此他们利用了当时唯一已知可以在光照下发生交联反应的聚肉桂酸乙烯酯体系。
基于聚肉桂酸乙烯酯的光刻胶表现出较差的晶圆表面附着力。柯达在此基础上改进出了基于环化聚戊二烯橡胶与双叠氮化合物 2,6-二(4-叠氮苯)甲基环己酮混合物,该系列光刻胶被命名为 Kodak Thin Film Resist,即 KTFR。
在到达其分辨率极限之 前,KTFR 一直是半导体行业的主流光刻胶。诞生于 1957 年的 KTPR 在 2017 年 时迎来了自己的 60 岁生日,它也是业界普遍认可的第一种商业化光刻胶。
图26:KTFR 光刻胶在光照下分解反应 图27:KTFR 光刻胶中环化聚戊二烯橡胶的交联反应

KTFR 光刻胶是一种可用于紫外宽谱以及 g 线、i 线的负胶,由于显影后发生的交联反应,光刻胶会发生膨胀,导致极限分辨率为 2μm。
KTFR 光刻胶本身是基于酸处理之后不饱和度降低的合成橡胶,其粘度与成膜后的厚度均可以进行一定范围内的调整。聚合物单体平均分子量及其分子量分布,最终均会影响涂胶过程中 形成的成膜厚度。重氮萘醌-酚醛树脂体系将光刻工艺的极限分辨率推进到了亚微米时代。
贝尔实验室在一次以外的尝试中发现 Azoplate 公司责销售的基于酚醛树脂(DNQ/Novolac) 的光刻材料具备优异的光刻性能。
该系列光刻胶后来以“AZ”系列的名义进行销售,在上世纪 70 年代后的 20 余年中,一直是市场的主流,该系列光刻胶适用于 g 线与 i 线光源,在现代光刻设备的高数值孔径光学镜组加持下,极限分辨率可以达到 0.25 μm。目前 AZ 系列光刻胶已经归属于 Merck,仍旧在成熟制程中广为应用。

在 I-line 与 G-line 光刻时代,光刻胶的市场份额主要由欧美厂家主导,日本厂商在光刻领域的起步并不早。TOK 在 1968 年开发出首个环化橡胶体系的光刻胶产品,在 4 年后又推出了基于重氮醌类的光刻胶 OFPR-2。JSR 在 20 世纪 80 年代末才凭借 CIR 光刻胶系列进入半导体材料领域。
而信越化学进入该领域的时间点更晚,直到世纪之交的 1998 年,才实现了光刻胶产品的商业化。深紫外光源逐渐投入使用,化学放大光刻胶体系应运而生,将光刻工艺带入了一个全新的时代。上个世纪 80 年代,DUV 光刻系统诞生,随着器件尺寸的不断微缩,光刻工序所用光源的波长也必须逐渐减小。
由于汞灯正在深紫外区域的发光强度较弱,而早期的准分子激光虽然克服了谱线宽度的问题,但是光源发光强度仍然较低。这就导致光刻过程中需要延长曝光时间,以达到足够的曝光能量。

这就导致生产的效率大大降低。
后 DUV 时代,为了解决光源强度不足的问题,化学放大光刻胶最终成为了主流。 化学放大光刻胶主要组分摆阔成膜树脂、光致产酸剂、添加剂、溶剂。
光致产酸剂会在吸收光的辐射能量后产生酸,在酸的催化作用下,成膜树脂发生脱保护反应,脱去相应的保护基团。失去了保护基团的树脂,会变得易溶于显影液。
由于在曝光过程中,光照产生的酸仅仅作为反应的催化剂,而非反应物,因此不会被消耗,可以将光的信号方法为化学信号。这一过程可以在后烘/坚膜的过程中得以进一步促进。
由于化学放大型光刻胶的量子效率(Quantum Efficiency)远远高于其他体系,因此化学放大反应也几乎成为了深紫外时代以来光刻胶配方设计的唯一路线。

虽然化学放大光刻胶在现代光刻领域的地位是毋庸置疑的,但其早期的发展却是一波三折。虽然大部分人认为,化学放大体系的光刻胶是由 IBM 的团队在上世纪 80 年代提出,并在 90 年代被日本厂家发扬光大。
然而其实在这之前,3M 公司的 G.H.Smith 就已经在自己的早期专利中对于酸催化的化学放大体系进行了详细的描述,该体系仍然基于来自 Novalac 衍生物的配方框架,但加入了鎓盐作为光致产酸剂。
这一设想与后来的光致产酸体系已经非常接近,但不幸的是,这一工作从未被公开发表,3M 公司自始至终也没有采用这一专利,3M 与成为光刻胶巨头的机会擦肩而过。
IBM 开发的化学放大体系光刻胶基于聚 4-羟基苯乙烯,加入相应的羟基保护基团,生成 PBOCST。这一新生成的聚合物在 KrF 准分子激光产生的 248nm 作用下, PAG 产生的酸会催化 t-BOC 保护基团打开,光刻胶的溶解性会发生显著变化,该过程中作为催化剂的酸并不会被消耗,因此反应的速度极快,该体系光刻胶的灵敏度也显著高于非 PAG 体系的同类产品。
与此同时,PBOCST 体系既可以制作正胶,也可以用来生产负胶,只需要对显影液进行调整即可实现。

由于上世纪 80 年代,主流的制程节点还处于微米级,DUV 时代尚未到来,IBM 对 于 KrF 光刻胶的垄断没有任何实际的商业价值。
90 年代中后期,技术节点逐渐来到 0.25μm 以下,日本东京应化于 1995 年在 KrF 光刻胶的商业化取得重大突破,打破了美国厂家在该领域的垄断,而此时如日中天的尼康与佳能等日本光刻设备厂家也为日本厂家抢占光刻材料立下了汗马功劳。

干法 ArF 时代的到来再次引起了光刻胶体系的大变革。
光刻胶中所有组分在光源波段的吸收强弱,均会影响到光刻胶自身的性能。KrF 光刻胶中使用的 PBOCST 中的苯环会在 ArF 激光产生的 193nm 深紫外线附近,会产生极强的吸收,因此该体系无法继续适用于 ArF 光源的场景。
为了减少体系中树脂框架的紫外吸收,聚合物中不再使用苯等芳香族衍生物作为主体,改为使用丙烯酸衍生物共聚物体系,包括甲基丙烯酸甲酯(MMA)、甲基丙烯酸丁酯(TBMA)、甲基丙烯酸(MMA)三元共聚物。
该体系机械性能较差,不耐干刻蚀,需要在侧链中引入相应的保护基团提高其耐等离子气体蚀刻的能力。引入的侧链保护基团通常为富碳具有一定空间位阻效应的基团,例如金刚烷、降冰片烷、三环癸基等。

浸没式 ArF 是在干法 ArF 的基础上,将物镜与晶圆之间填充纯水以提升折射率,改变 NA 值从而提高分辨率的手段。
由于水会与光刻胶直接接触,因此对于现存的 干法 ArF 光刻胶提出了新的挑战。化学放大体系中使用的光致产酸剂以及其他极性组分容易从体系中析出,在水中扩散影响曝光效果。
解决这一问题有多种相应手段:
在光刻胶的涂胶的过程中,在上层引入顶部涂层(Top Coating)隔绝光刻胶与水的物理接触,从而防止光刻胶内部组分像水中扩散的可能。在浸没式 ArF 的早期阶段,大部分厂家都是使用沿用干法 ArF 光刻胶外加顶部涂层。另外 DuPont 在浸没式 ArF 工艺中研发出了具有化学修饰作用的顶部涂层,可以实现 ArF 光刻中 器件 CD 的减小。
后期浸没式 ArF 光刻胶加入了内嵌式阻挡层(Embedded Barrier Layer),通过添加特种表面活性剂,在旋涂的过程中这些表面活性剂会扩散到光刻胶表面,阻止光刻胶成分扩散到水相中。

进入后摩尔时代,随着器件尺寸的进一步微缩,光源波长进一步降低,来到极深紫外区(EUV)。极深紫外的波长仅为 13.5nm,单光子的能量高达 91.48eV。
这意味着相同曝光能量密度下,EUV 的光子数量是 193nm 的 ArF 光源的十分之一。所以 EUV 光源的配套光刻胶需要进一步减少高吸收元素,提高烃类 C-H 基团的占比。
表12:主流 EUV 光刻胶体系及其性能特点

2.3 光刻胶的应用场景
光刻工艺是微图形加工中最核心的技术之一,显示面板、晶圆、PCB板、MEMS微机电装置的制造过程中有广泛的应用。
其中半导体晶圆制造与封装过程中所涉及的线宽最小,微图形结构最复杂,因此晶圆制造相关的光刻胶种类最为繁杂。
显示面板中涉及到彩色滤光片的制造,因此光刻胶在光刻工艺后,包含色彩色染料会均匀 分布在玻璃基板表面,而不是像晶圆制造中一样,所有的光刻胶最终都会被去除。

图36:2019年全球光刻胶按应用分类占比(按用途)
图37:全球半导体光刻胶占比(按光源)

3、光刻胶全球竞争格局:群雄争霸
实力说话光刻胶虽然诞生于美国,但随着集成电路制造工艺的不断迭代,日本厂家后来居上。 20 世纪 80-90 年代,日本光刻胶公司抓住了 KrF 准分激光时代的发展机会,逐渐侵蚀美国公司的市场份额。
目前全球半导体光刻胶主流供应商包括日本合成橡胶 (JSR)、东京应化(TOK)、杜邦、 信越化学、富士胶片。


3.1 JSR:橡胶起家的光刻胶巨头
JSR 诞生于 1957 年,日本处于战后重建经济高速发展的时期。石油化工是当时日本工业发展的基石。JSR 是在这样的背景下,顺应日本促进合成橡胶工业的发展相应政策而建立。
公司在借助其在世界范围内的 41 家开展全球性业务。公司业务覆盖弹性体、数字解决方案业务、生命科学业务、塑料业务四大事业部。




3.2 东京应化 TOK:专注半导体材料的光刻胶巨头
东京应化成立于 1936 年,公司成立之初的主营业务是高纯试剂的研发与生产。公司的宗旨是即使在空间很小的细分市场,也要以技术能力占据市场内的主导地位。
公司早期进入高性能打印材料与面板材料领域,在 20 世纪 60 年代,开始进入半导体制造领域,公司是第一批涉足光刻胶领域的日本公司,发展至今,公司在光刻胶的研发领域已经有超过 50 年的积淀。



东京应化的产品线以光刻工艺使用的核心材料光刻胶为支撑点,向多个领域横向与纵向延伸。公司在 1968 年推出首个半导体用负胶光刻胶产品,应用于国内外的晶圆制造商中。
1971 年推出基于合成橡胶的光刻胶产品,该产品线在 1979 年之前都是业界主流。次年,推出日本第一款半导体用正胶。
1975 年,公司不含金属的显影液 NMD-3 系列面世。当下主流的旋涂工艺是由 TOK 在 1989 年推进,随后逐渐成为业界涂胶工艺的标准流程。公司在光刻工艺进入到准分子 KrF、ArF 激光时代后,一直保持着行业领先地位,即使来到 EUV 时代,公司依然在 2018 年率先研发出相应的解决方案。
公司在半导体光刻胶领域深耕半个世纪,在各个世代的技术领域均占据领先地位。
图47:2019 年东京应化 EUV、ArF、KrF、G-line/I-line 光刻胶产品全球市场份额

3.3 信越化学:半导体材料多面手
信越化学是一家有着近百年历史的大型综合化工企业,也是日本最大的化工集团之一。公司的前身是 1926 年成立的信越氮肥料株式会社。公司的早期业务为碳化物、石灰氮等肥料产品。1940 年,公司正式更名为“信越化学工业株式会社”。
公司于 1949 年在东京证券交易所上市。随后到来的 60 年代,信越在葡萄牙投资设置新公 司,80 年代前后,公司成功商业化纤维素、*土稀**磁铁、掩模版石英基板、人工合成信息素等产品。

信越化学的半导体材料业务覆盖从晶圆、光罩衬底、光罩、光刻胶、封装材料等前道与后道环节。信越是全球最大的半导体硅片供应商,始终位于大口径与高平直度硅片的最前沿。
信越是世界首家成功研制 300mm 硅片并实现了 SOI(silicon on insulator)工艺产品化的公司,稳定供应者优质产品。同时,公司晶圆业务包括发光二极管中的 GaP(磷化镓),GaAs(砷化镓),AIGaInP(磷化铝镓铟)系化合物半导体单晶与切片。
图49:信越化学近 5 年主要业务营业收入(Net Sales)
图50:信越化学近 5 年主要业务林润(Operating Income)

信越化学的光刻胶产品线隶属于电子与功能性材料事业部。
公司作为综合型化工材 料供应商,依托现有技术平台,在 1998 年时进入半导体光刻胶领域,公司掌握了 原材料单体聚合工艺与最终配方调配的全部核心工艺。目前公司的光刻胶产品线覆 盖了用于集成电路加工制造的准分子激光(KrF、ArF、EUV)光源感光材料,以及 在薄膜磁头、MEMS 加工领域广泛使用的厚膜光刻胶。
3.4 富士胶片:专注感光化学八十年
富士胶片成立于 1934 年,公司最初的产品包括摄影胶卷、相纸、干版盒等其他感光材料。在成立后的 10 余年间,公司致力于影像科学与专业摄影领域的相关材料与器材研发。
1962 年公司与英国 Rank Xerox Limited 合并,成立了富士施乐株式 会社,涉足影印设备与耗材市场。
1993 年公司收购千代田医疗株式会社 51%已发行股份,进入医疗设备领域。
2004 年 11 月,公司从美国 Arch Chemicals 手中收购改该公司微电子材料部门,正式进入电子材料领域。
图51:富士胶片业务全景及其终端应用一览

富士胶片在胶片时代,是影像科学领域的巨头,随着数字化成像时代的到来,公司凭借超前的业务布局,实现成功转型。
影像业务在公司营收中的占比从 2016 年之前的 33%下降到 14%,源自富士施乐的打印解决方案业务,占比从 39%小幅提升至 42%,医疗与材料解决方案占比则从 28%提升至 44%,成为公司收入来源的最主要部分,这一业务板块包含医疗解决方案、功能性材料、图像系统与喷墨技术、记录媒介方案四个方面。公司的光刻胶产品线属于电子材料部门。
公司的电子材料相关产品包括光刻胶、光刻胶配套试剂、滤光片、CMP抛光液、电子级高纯溶剂、聚酰亚胺与聚苯并恶唑、清洗液与蚀刻液、CVD 前驱体等业务。


富士胶片的光刻胶产品线覆盖了除 EUV 以外的主流晶圆制造用光刻胶与配套以及部分显示面板用光刻胶。
光刻胶产品线可以覆盖微米级到 7nm 的浸没式 ArFi 光刻工艺。公司目前 EUV 光刻胶尚未投入商用,相关生产设施正在建设中,预计年内会有较大突破,公司将成为继 JSR、TOK、信越之后第四家商用化 EUV 光刻材料的公司。子公司 Wako Chemicals 具备高纯试剂的供应能力,其中与光刻胶相关的材料包括光引发剂与化学放大试剂,具有一定的原材料自主供应能力。
4、国内光刻胶格局:技术代差今仍在,打铁还需自身硬
根据行业统计数据,2021 年中国大陆地区光刻胶市场规模约为 94 亿至 140 亿人民币。其中半导体光刻胶约占其中四分之一,即 24~35 亿人民币,市场空间广阔,但国产化率仍处于较低的水平,本章内容将围绕国内目前已有商业化光刻胶能力的半导体材料产生进行分析。
4.1 彤程新材:参股核心企业,面板晶圆两手抓
公司控股北京科华与北旭电子,二者是半导体光刻胶和显示材料光刻胶国内的领先企业。其中北京科华是唯一被 SEMI 列入全球光刻胶八强的中国光刻胶公司,拥有 KrF(248nm)、g 线、i 线、半导体负胶、封装胶等品,是中国大陆销售额最高的国产半导体光刻胶公司,KrF 光刻胶国家 02 专项的承担单位。
科华是国内唯一可以批量供应 KrF 光刻胶给本土 8 寸和 12 寸的晶圆厂客户。

北京科华微电子材料有限公司是一家中美合资企业。
成立于 2004 年,是一家产品覆盖 KrF(248nm)、I-line、G-line、紫外宽谱的光刻胶及配套试剂供应商与服务商,也是集先进光刻胶产品研、产、销为一体的拥有自主知识产权的高新技术企业。

科华微电子拥有中高档光刻胶生产基地:2005 年,建成百吨级环化橡胶系紫外负性光刻胶和千吨级负性光刻胶配套试剂生产线;2009 年 5 月,建成高档 G/I 线正胶生产线(500 吨/年)和正胶配套试剂生产线(1000 吨/年);2012 年 12 月,科华微电子建成 248nm 光刻胶生产线。
科华微电子光刻胶产品序列完整,产品应用领域涵盖集成电路(IC)、发光二极管(LED)、分立器件、先进封装、微机电系统(MEMS)等。


北旭电子即北京北旭电子玻璃有限公司,其前身为京东方科技集团股份有限公司与日本旭硝子株式会社、丸红株式会社、共荣商事株式会社共同兴办的北京旭硝子电子玻璃有限公司。
自与日方合资以来,在原有引进技术、设备的基础上,又进一步吸收了国外在生产、技术、经营中的管理经验,扩大了生产规模,增加了产品的品种,产品质量完全达到了国际上同类产品的技术水准,产品不仅行销国内,而且远销日本、东南亚及欧美地区。 2003 年 12 月,公司成立北京本部和天津工厂。
自 2007 年开始,陆续开发了 LTCC 陶瓷、低熔点封接玻璃粉、TFT-LCD 用彩膜光刻胶等一系列新产品北旭电子是国产显示光刻胶的龙头企业,其生产的 TFT 正性光刻胶在国内头部显示面板企业京东方占有 40%以上的份额。
公司 2021 年财报显示,公司光刻胶业务稳定成长中。国内所有 6 寸客户全部处于合作或开发中,G/I-line 的 6 寸市场占有率在 60%以上。北京科华 2020 年光刻胶销售额为 8928 万元,是国内销售额最高的光刻胶制造企业。
2021 年上半年北京科华光刻胶业务实现营收 5647.83 万元,同比增长 46.74%。其中 KrF 光刻胶的同比增长 94.51%,G/I-line 光刻胶同比增长 40.36%。
公司未来光刻胶产能规划包括年产 1.1 万吨的半导体与平板显示用光刻胶产能,以及 2 万吨配套试剂产能。


公司以彤程新材名义申请的专利主要以橡胶添加剂以及轮胎相应工艺为主。北京科 华与彤程新材共同申请的专利已公开的有 2 篇,均与光刻胶的研发生产相关。北京 科华另有 8 篇未与彤程新材联合申请的公开专利,均与光刻胶领域相关。
4.2 晶瑞电材:双轮驱动、平台化初显
晶瑞电子材料股份有限公司主要产品包括包括超净高纯试剂、光刻胶、功能性材料、 锂电池材料等。目前公司产品广泛应用于半导体、面板显示、LED 等泛半导体领域 及锂电池、太阳能光伏等新能源行业。公司成立于 1976 年,前身为苏州中学校办 光刻胶研发室,是中国最早的光刻胶研发团队之一。
1978 年,苏州中学出资设立苏州无线电元件一厂化工车间,主要生产经营微电子产品所用光刻胶与配套试剂。
1993 年,苏电公司、日本瑞翁和日本丸红共同出资设立中外合资有限责任公司苏 州瑞红电子化学品品有限公司。主要生产经营微电子配套用的光刻胶、高纯配套化 学试剂及其他电子化工产品。
2001 年,苏州晶瑞化学有限公司成立,2017 年,公司在深交所成功上市,并在同年成立了子公司眉山晶瑞电子材料有限公司、瑞红锂电池材料(苏州)有限公司。




公司围绕泛半导体材料和新能源材料两个方向,近年正处于投入期,在产品技术有 效突破后,多个产品线和多个生产基地处于建设中。
受益于近年来国产半导体材料 渗透率加速提升、新能源汽车行业高速发展,公司主营产品半导体级光刻胶及配套 材料、高纯试剂、锂电池材料等产销两旺,同比环比均产生了较大增长,业绩增速 十分显著。



公司光刻胶销量自 2016 至 2020 年发生快速成长,同时单吨价格显著下降。2020 年,公司公布的光刻胶及配套试剂的收入约为 1.79 亿元,总销量 7552 吨,平均每 吨售价约为 2.35 万元。
根据中芯国际科创板 IPO 招股书中披露内容,国内主流晶 圆厂的半导体光刻胶单吨售价约为 11~12 万元,所以晶瑞电材 2020 年销售的 7552 吨光刻胶及配套试剂中,显影液、去胶剂等功能性湿电子化学品的占比较高,增大 销量的同时降低了销售单价。


4.3 上海新阳:植根表面处理工艺、外延 KrF 光刻胶
上海新阳成立于 1999 年 7 月,主营半导体行业所需电子化学品的研发、生产和销 售服务。公司早期主要产品基于电子清洗和电子电镀核心技术,目前公司主要业务 分为两类,一类为集成电路制造及先进封装用关键工艺材料及配套 设备的研发、生 产、销售和服务,并为客户提供整体化解决方案。
另一类为环保型、功能性涂料的研发、生产及相关服务业务,并为客户提供专业的整体涂装业务解决方案。

光刻胶是集成电路制造的核心材料,光刻胶的质量和性能是影响集成电路性能、成品率及可靠性的关键因素。公司立项开发集成电路制造用 ArF(干法)、ArF(浸没式)、KrF(含厚膜)、I 线等高端光刻胶,已采购 I 线光刻胶研发的 Nikon-i14 型光刻机,KrF 光源曝光设备 Nikon-205C,ArF 干法光刻胶研发的 ASML-1400 型光刻机,以及用于 ArF 浸没式的 ASML XT 1900 Gi 型光刻机。

上海新阳目前光刻胶业务仍在研发与客户验证阶段,尚未进入大规模生产与正式销售阶段。公司 KrF 厚膜光刻胶已取得客户订单,厚膜光刻胶的主要应用为硅的深度刻蚀、倒装芯片封装、多芯片组件、MEMS、薄膜磁头等。
通常情况,LCD 液晶显 示)/bump 凸块/mems 微机电/3d-nand 存储器等芯片制造过程中,会用到 krf 光源 厚膜光刻胶,此类光刻胶既不同于常规的 krf 的薄层光刻胶,也不同于 ArF 光源的 光刻胶,而是具有自己独特的性能。
该品类光刻胶通常与后道中金属铜自底向上的电镀相关,与新阳核心产品电镀液及添加剂有较为紧密的关联。


公司参股芯刻微,布局浸没式 ArF 光刻胶的研发。
目前芯刻微已引进韩国知名浸没式 ArF 光刻胶研发团队,建立了 8 人的核心研发队伍。占地 140 平方米洁净室实验场所已经建成,并购入了实验室研发相关仪器设备,购入了 ASML XT 1900 Gi 型光刻机。
4.4 雅克科技:并购整合、平台效应初现
江苏雅克科技股份有限公司致力于电子半导体材料, 深冷复合材料以及塑料助剂 材料研发和生产。产品主要应用涉及集成电路(晶圆制造及封装)、平板显示(包含 LCD 及 OLED) 等电子制造产业链各个环节,丰富产品链为客户提供多方位的产 品和技术服务,并积极探索新业务模式提升高附加值满足市场的需求。
公司另一大产品线为深冷复合材料技术。针对以三航(航空、航天和航海)为代表的高端装备制备需求提供专业性的解决方案;最后我们以磷系阻燃剂为主的塑料助剂材料的世界主要供应商为客户提供更多有竞争力的产品和服务。
电子材料领域,公司业务种类丰富。
主要包括半导体前驱体材料/旋涂绝缘介质(SOD)、电子特气、半导体材料输送系统(LDS)、光刻胶和硅微粉等产品类别。
公司全资控股份韩国 UP Chemical 公司主要从事生产、销售高度专业化、高附加 值的前驱体材料产品,是该领域全球领先的制造企业,其主要产品分为前驱体和 旋涂绝缘介质两大类。UP Chemical 公司提供的材料主要应用在集成电路存储芯 片、 逻辑芯片的制造环节。
光刻胶业务主要通过经营实体韩国 Cotem 公司以及韩国斯洋具体开展。韩国 Cotem 公司的主要产品包括 TFT-PR 正性光刻胶、光刻工艺辅助材料(显影液、 减薄液和清洗液等)、BM 树脂等。韩国斯洋主要经营彩色光刻胶。
公司的电子特气业务主要通过全资子公司成都科美特开展。成都科美特的主要业 务是含氟类特种气体的研发、生产、提纯与销售,主要产品为六氟化硫和四氟化 碳。
子公司华飞电子主要经营硅微粉相关业务,主要包括硅微粉的研发、生产和销售。华飞电子是国内知名的硅微粉生产企业,主要产品是球形硅微粉和角型硅微粉,产品主要运用于集成电路封装材料(塑封料)及普通电器件、高压电器的绝缘浇注环氧灌封料等及封装三极管、二极管及分立器件。
LDS 输送系统业务主要通过控股子公司雅克福瑞进行,主要包括 LDS 输送系统的研发、制造、销售,产品主要用于半导体和显示面板企业的前驱体材料等化学品的输送。

风险提示
本证券研究报告所载的信息、观点、结论等内容仅供投资者决策参考。
在任何情况下,本公司证券研究报告均不构成对任何机构和个人的投资建议,市场有风险,投资者在决定投资前,务必要审慎。
投资者应自主作出投资决策,自行承担投资风险。
—————————————————————
请您关注,了解每日最新的行业分析报告!
报告属于原作者,我们不做任何投资建议!
报告原名:《光刻胶行业深度:破壁引光 小流成海》
出品方/分析师: 申港证券 曹旭特
获取更多PDF版报告请登录【远瞻智库官网】或点击链接:「链接」