一、非洲硬舌异口尼罗河的基本特征和生态环境
骨舌目是骨舌总目的高度特化的硬骨鱼类,几乎全部分布于热带淡水系统,其中,尼罗河异齿线虫非洲淡水系统中唯一的骨舌类。
尼罗异耳鱼广泛分布于尼罗河、冈比亚、尼日尔、尼罗河、沃尔特河、韦梅河、乍得湖等河流中,以及其他天然湖泊和湿地,此外,尼罗异耳鱼已被引入许多湖泊和水产养殖。

尼罗河
在贝宁,非洲骨舌鱼广泛分布于尼日尔、瓦姆、邹、S、莫诺等平原以及淡水湖。
这一物种是由商业和自给渔夫密集地开发的,因此构成了手工渔业的一个重要物种,每年捕获的Heterotis达到742吨,价值约1485000美元。
异虫被认为是一种微噬菌体或噬菌体,最近的研究揭示非洲骨舌是一种杂食性动物,主要以碎屑、种子、小甲壳类和水生昆虫为食。

异虫结构
一种鱼类利用广泛食物资源的能力或利用小食性资源的能力可能是由其特殊的形态结构牙齿高度发达前它的饮食范围很低。
与此相反,革胡子给是一种捕食-杂食性物种,牙齿结构不发达,但在相对较高的食物资源上有相对较高的小鳃耙类食物,因而表现出较高的食性宽度。

鱼类口咽腔
除了形态结构外,食物来源的空间和季节性变化也会极大地影响物种的食物摄入量和食性宽度,导致物种表现出营养可塑性,因为异株寄生在许多自然水生系统中,从河流、小溪到天然湖泊和沼泽。
食性宽度和营养可塑性的知识将更好地了解营养结构动态的重要工具和基线信息,以保护、管理和恢复其栖息地的鱼类资源,并开发水产养殖技术。

水产养殖技术
考虑到水疗食物资源的可利用性随季节和季节的变化,记录食物宽度的变化和营养可塑性对探索物种的摄食策略具有重要意义,为了更好地记录SO河和HLAN湖系统的营养结构动态,本研究旨在研究饮食宽度随空间和季节的变化以及营养可塑*行为性**。
在南部的两个地点进行了实地调查,贝宁北部苏河下游的一段及兰湖,该地区有两个雨季和两个早季。

贝宁北部苏河下游
2002年录得的年雨量为1167.2毫米,而调查期间录得的最高月雨量为438.8毫米,而S6河是下韦姆河的第二条河道,并向南流经,与威姆河平行。
大约100公里的河漫滩覆盖着应用约1000平方公里,南部河流水文学贝宁北部受北部地区季节性降雨的强烈影响,洪水高峰期,来自Oueme河和S河的水流经广阔的漫滩,生境参数在每个采样点的特点。

非洲贝宁、贝宁南部研究区和索河漫滩采样点的地图从南到北分别是阿霍-格布伦村、阿霍-洛波宗戈梅村、金托村和兰湖村。
水深测量使用校准的绳子,用数字式氧温度计分别测量0.1C和01mg-的温度和溶解氧,浊度测量到最近的毫米与secchi盘,pH值用便携式pH计测量到最接近0.1,盐度总溶解固体和电导率被测量到最接近的1。

0.1和01毫克升用电导率仪分别测量亚硝酸盐和总铁通过Merck试剂滴定至最接近的0.01mg-l,在study期,主河道水深平均艾德平均浊度为4212厘米,平均浊度为40.3厘米。
溶解氧的范围在04到4.5毫克/升,大多数其他物理和化学特征显示变化较小,实验温度为28.6C,pH平均值为5.4,电导率平均为99.45(土31)us/cm,平均总溶解固体(TDS)为4675(土5.38)MGA。

电导率研究结果
亚硝酸盐和总铁浓度分别为0002mg/L和1.04(066)mg/L,S河上的主要漂浮植物是大约25年前入侵该系统的一种金龟子属植物,其他常见的水生植物有紫锥藻和空心莲花科,棕桐树是棕榈树的领地。
hlan湖位于距大西洋海岸约80公里处的科波美村附近,当地被称为“博尼特湖”。
由于当地执行传统捕鱼条例,hlan湖受到的开发相对较少,hlan湖的平均年龄深度低于S河的研究深度,2002年hlan湖的年洪水非常低。

在2003年期间正常弯曲,溶解氧从0.1毫克升到4.8毫克/升不等,水的透明度平均为881 cm,平均水温为27.60*C平均pH为5.3,平均电导率为97.0s/m,平均总溶解固体为47.0毫克/升,亚硝酸盐和总铁浓度较低,平均0.002毫克/升和分别为067mgA漂浮的水草,如莎草覆盖了大面积的湖泊,阻碍了捕鱼活动。
风吹草席的移动有时会损坏渔具,这些草也为许多水生生物提供栖息地,包括小鱼,水葫芦是预先送到HLAN湖,但在较低的生物量相比,大部分地区的河道。
HLAN湖上常见的漂浮植物有:红蕊藻、蓖麻黄、睡莲和马库拉,CEA、棘豆,浸没植物包括银尾藻菊科和弯藻。

二、鱼类样本收集
在18个月的时间里,S河和HLAN湖的四个地点,每月从水生植被和开放水域收集博尼舌标本,在每个地点,用两个渔具捕获鱼类个体,以便获得当地人口中所有大小类别的有代表性的样本。
在S河上,沿纵向进行了调查,一片植被被一网所包围,并移除植被和鱼类对河流的开阔水域进行取样,用一个铸网在HLAN湖,鱼类被收集的陷阱,鳃网和钩。

当地渔民被招募到活动巢六附近的植被中设置陷阱,所有捕获的大小类都保留下来进行分析,在S河的调查地点,成人规模班很少见,每月的抽样工作一直持续到收集工作产生符合规定结构的样本为止。
用刻度测量板测量了每个样本的标准长度和总长度到最近的0.1mm,并称重到最接近0.1克与电子天平,取标本切取每一条消化道,以两个幽门盲肠远端至肛门的距离测量其长度。

将胃保存在5%福尔马林中,运至阿波美-卡拉维大学动物园与遗传学系实验室,将胃从福尔马林中取出,放入75%乙醇保存。
打开乙醇保存的胃,取出所有猎物,铺在玻片上在解剖显微镜下检查,加了水以便于小件物品的分离,在一个复合显微镜下检查的内容物的子样品以确定浮游植物。
用Need-ham和Needham对食品进行了尽可能低的分类,对于水生无脊椎动物、浮游动物和浮游植物,在鉴定后食品被分离并在纸巾上吸干,以重新去除多余的水分。

浮游动物细胞
每种食物的体积go-Ry是用适当尺寸的量筒通过排水量来估算的,小件物品的数量通过将材料铺在其上进行估算玻璃载玻片然后直观地估计总体积,通过与已知体积样品的比较。
对不同大小等级的尼罗罗非鱼摄食的食物进行了分类汇总,并对这些新分类的体积比例进行了汇总。
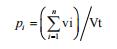
摄入的每种食物的体积比例H尼罗鳄的计算公式如下:

其中p是食物i在饮食中所占的比例,n是胃的数目,vi是单个胃中食物的体积,Vt是食物的总体积表示“否定n个胃”。
饮食广度是根据辛普森饮食广度公式计算:

其中p是饮食中食物项目i的比例,n是饮食中食物项目的总数,B的范围从1到n,使用SPSS软件包用方差分析比较季节性和大小差异的体积比例和指数值,采用线性回归分析法对标准体长/肠长与主要食物种类、标准体长/肠长与食性宽度的关系进行了研究。
在HLAN湖和S河上,尼罗蒂克斯汇集了由碎屑和沙粒、硬实种子、水生昆虫、微型甲壳动物和软体动物组成的各种底栖和远洋猎物资源,AG.双翅目昆虫主要为双翅目叶翅目、鞘翅目、 Hemiptera、Odonata、Heteroptera和Plecoptera。

在水生昆虫中,奇罗,以黑兰湖和S河为主要饵料的夜蛾幼虫的体积比例在5.98%之间,分别为39.57%。
蜉蟒目日粮中HLAN含量为4.80%,S河鱼类为0.05%而HLAN湖鱼类饲料中以鞘翅目鱼类为主,CEA主要为Cladoceran、Ostracoda、Coppod根尖部、文昌鱼类和鳃足类。
在这两种生境中,cladocerans是最重要的微甲壳类动物,水端一般以较低的比例食用,但在HLAN湖亚成虫的饮食中很常见,苏河鱼类的饵料中,腹足纲软体动物较丰富。

微甲壳类动物样本细胞采集
次要食性为植物组织、陆生昆虫、几丁质碎片、线虫、无椎动物卵轮虫在旱季,在S6河中,砂和碎屑的比例消耗在----期间更大,在丰水季节,种子的消耗和比例更大。
在So河中,骨舌摄食水生昆虫的体积比例在干旱季节更大此时洪水淹没的平原正在缩小,水生昆虫变得更加集中,更容易为异足虫所利用。
尽管兰州湖和S6河两个种群间的微甲壳动物摄食量存在显著差异,沙粒、种子和水生昆虫等twc生境的食性差异不显著,Hlan湖和S6河的平均食物宽度为3.71和335的数据Hlan湖和S6河两种生境的Heterotis种群的食性宽度无显著性差异。
康特利与季节有关,在兰湖,饮食宽度变化从1.67至418,丰水期为219~438,早季为378~466,S河的日粮宽度在雨季为259~458,高水期为161~4.38高水期为2923.96。

为探讨异齿沙蚕营养结构的生态形态学模式,研究了异齿沙蚕摄食的各种主要食物的体积比例,对标准长度和肠道长度绘制,SL和GL的对数变换被用来减少数据集中的倾斜。
两种生境的线性回归方程均表明,Log和Log与腐殖土的体积比例和种子的体积比例呈正相关,与此相反,标准长度和肠道长度与水生昆虫的体积比例和微甲壳类的体积比例呈负相关,然而在HLAN湖,相关系数往往高于S河。
HLAN湖的散点图和线性回归方程表明日粮宽度与标准长度和肠道长度呈正相关,相反,在S河,饲料宽度与标准长度和肠道长度呈负相关,计算结果表明,湖泊HLAN中的DB与SL有相似的趋势,在S河上也有相同的记录,分别为r=-0.39和r=-0.37,DB与SL和GL的回归。

饮食宽度与标准体重的关系在Hlan湖捕获的猪耳蝠的标准长度,DB与Log正相关,回归方程是:分贝=2.33对数-215=081牛顿=8
在HLAN湖采集的Niloticus的日粮宽度与肠道长度的关系,DB与log呈正相关,回归方程为:dB=2.56Log)-2.97;r-0.82;N=8

三、营养可塑*行为性**:对物种保护和水产养殖发展的启示
在考察两种生境中杂食动物主要食物的体积比例时,S河中食用的微甲壳动物明显低于HLAN湖的规定,在HLAN湖和S河中,微壳纲动物的平均体积比例为:
1377%和263%。
这两个种群间微甲壳纲的消费差异很大,可能是由于苏河这种食物来源的低可用性,也可能是由于栖息地特征的不同造成的:苏河是一个湖泊环境。
在洪水季节经历了很大的扰动,造成了很大的转折,这种干扰可能会抑制光合作用,因此可能会减少初级生产和浮游动物的增殖。

显微镜下细胞状态
在S河上,与HLAN湖相比,这种低摄入量的微型巡洋舰与较高的摩尔卢斯克消费量有关,S河和HLAN湖软体动物的平均体积比分别为4.91%和073%,因此这种觅食模式暗示了异特罗蒂斯有一定程度的营养可塑性,这可能会根据生境中资源的可利用性而改变他的营养结构。
这种营养可塑*行为性**是由尼罗异耳鱼的特殊形态结构所引起的,主要是有相当多的鳃把,允许对浮游动物和其他微甲壳类动物进行筛选,并存在有助于难降解有机物消化的砂囊。
如有坚硬甲壳的软体动物,这种特殊的形态结构所导致的杂食性食性和相对较高的食性宽度,也有利于异齿草属的这种营养可塑性趋势。

尽管种子和水生昆虫由于洪水入侵相对密集的邻近植被造成的周期性入侵而具有较高的可用性,但尼罗异耳鱼确实扩大了对软体动物的消耗,软体动物是一种正常蛋白质的来源。
这些觅食行为表明,这一物种利用现有的猎物,可能保持平衡的饮食,并满足精力充沛和亲蛋白质的要求,以快速增长。

尼罗罗非鱼
四、非洲硬舌异口尼罗河的研究结论
目前在非洲淡水鱼类中,尼罗罗非鱼因其体型大生长速度快、杂食性和在严重退化的水环境中过度捕捞等特点,被认为是遗传学、生物生态学、渔业和水产养殖学研究的重要关键物种。
本研究的结果,对黄颈鱼的食性组成、食性宽度和营养可塑性的研究,为黄颈鱼的保护、渔业的可持续管理和养殖业的发展提供了有价值的信息。