
[遇见数学创作小组]作者: 烂柯野人, 参考自 Mathologer 视频(跳转链接»)
前言
本文给出一个高中生也能看懂的证明方法,由瑞典数学家约翰·海因里希·兰伯特在1761年给出。此方法利用三角函数的泰勒级数展开,巧妙的反复运用倒数技巧得到了tan x的连分数表示,然后证明了这个连分数是一个无理数。据信,这个也世界上第一个证明π是无理数的方法。此方法简洁易懂,即使从现在的观点来看,其思路也非常具有启发性。

▲ 约翰·海因里希·兰伯特(图行二左三)
准备工作
1)无理数和反证法
无理数是指不能写成分数的数。如果需要证明某个数是无理数,大多用反证法,即假设它可以表示成两个整数的比,然后推导出矛盾,以此证明假设不成立。
例如,如何证明lg3是无理数?可以先设 lg3 是有理数,于是有

即

两边同取n次幂

得到

这个等式显然不成立,因为其左边是一个偶数而右边是一个奇数,得到了矛盾的结果,因此lg3是有理数的假设不成立。附一中有几个练习,请试试。
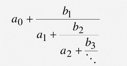
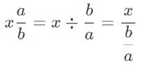
2)连分数
连分数(Continued fraction)也叫繁分数,是形如下图的分数:

其中a0、a1、a2……,b0、b1、b2……为实数或复数。连分数常用来逼近无理数,这也是最早研究连分数的动机,想将实数用“纯粹的数学”表示出来。连分数的相关理论在数学中有着重要作用,它是数论及线性方程研究中的一个重要工具,与概率论、级数递归、函数逼近、工程技术和计算机科学等也有联系。
连分数因大数学家欧拉而广为人知,欧拉证明了形如下图的、所有分子都是1、所有分母都是正整数的无限简单连分数均是无理数。

实际上,上图中的无限连分数等于,其分母是121212……无限循环。欧拉利用连分数的这一无理性质证明了自然底数e是无理数,并且得到了e的无限连分数形式:

从第二个2开始,其分母是211、411、611、811、1011……。兰伯特是欧拉在柏林科学院的同事,熟悉欧拉对连分数的研究和成果,他因此冒出一个好主意:将tanx写成连分数形式。
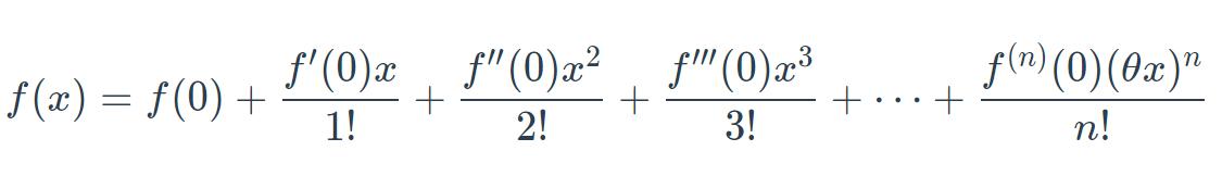
3)麦克劳林公式
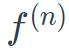
麦克劳林公式是泰勒公式在x=0点的特殊形式。若f(x)在x=0处n阶连续可导,则下式成立:

其中

表示 n 阶导数且(0 <θ<1)。因为y=sinx在x=0处具有任意阶导数,用麦克劳林公式在x=0处展开sinx,得到:

同样展开cosx得到:

证明过程
第一步,兰伯特得到了tanx的连分数表示:

第二步,兰伯特证明了,当x是除0之外的有理数时,tanx是无理数。所以tan(1/2)、tan(3/4)等都是无理数。

第三步,因为tan(π/4)=1,1不是无理数,所以π/4不能写为分数形式,即不是有理数,从而证明π是无理数。
1)第一步,得到tanx的连分数表示
将sinx和cosx的展开式代入

得到

从红色分数线分子上提出一个x,

由于

所以有

对红分数线上的分子加上红分数线的分母再减去红分数线的分母,得到

调整下顺序

去括号

计算红框内的对应项,得到

式中,蓝底色的两部分相同,因为

所以有

对红分数线上的分子统一提出-x2,得到

再次使用倒数技巧得到

再反复使用分子加减分母法,这次因为分母是1/3,为消去红分数线上的常数1,给分子加3倍的分母再减去3倍的分母得到

整理得到

如此反复计算下去,最终得到

可以通过对比tanx和连分数的图形验证这一结果。下图是取连分数第一层时的图形(蓝色)与tanx的图形(棕色)对比,两个图形在0点重合。

取连分数的第二层时,图形更加接近,如上图。取越多的部分作图,就越逼近tanx的图形,证明这个连分数是正确的。
2)第二步,证明 x 为有理数时 tanx 是无理数
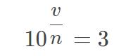
设x是有理数,则x可以写为 u/v,其中u和v均为正整数,代入得到

化简右边连分数,给分子分母同乘v,得到

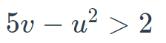
这个无限连分数,除了第一个分子是u,其它的分子都是u²。分母则越来越大,也就是说,从某一处向后,分母会比分子大很多。现在来证明这个无限连分数是无理数。
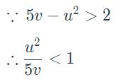
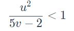
根据u和v的不同,可能是55v或555v才比u²大,这里不防设5v比u²大2,那么从这一点向后,所有的分母都比分子至少大2。
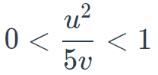
由

得到

那么下图中蓝色后面所有部分是大于0小于1的

同样,如下图,从7v开始,之后的所有部分也是大于0小于1的。

如果上两图中的蓝色部分或者绿色部分是无理数,那么整个连分数就是无理数。现在来证明从5v开始的蓝色无限连分数是无理数。令蓝色部分等于B/A,有B/A<1,即A>B。

所以得到:

再考虑7v向后的部分,整理上面的式子得到下式

由于A、B、v、u都是整数,所以B5v-Au²也是一个整数,令其等于C。
因为7v向后的部分也是大于0小于1的,所以又得到:

所以现在有:

再考虑9v向后的部分又得到:

因为这是一个无限连分数,所以反复这样做可以得到一个无限递减数列:

由于数列中所有数都是正整数,而数列的大小是无限的,无论A有多大,始终都会在有限次递减后小于0,所以不存在这样的一个递减数列。
于是,之前从5v开始的蓝色部分无限连分数是有理数的假设是错误的。于是得到
tan(u/v)=无理数
3)第三步,π是无理数
因为

而1不是无理数,根据原命题与逆否命题具有相同的真假性(如果π/4=u/v,那么应该得到一个无理数而不是1),得到π/4不是有理数,所以π不是有理数。
得证。
4)一张图总结

- 附一,练习

为什么?为什么我只能推导出下面的不等式?

2)

是无理数吗?怎么证明?
3)

是无理数吗?怎么证明?
4)怎么推导出根号3等于下图中的连分数?

5)文中推导tan x的连分数时,给分子加上了一个分母又减去一个分母。其中无论是分子还是分母,都是很大的无穷级数,它们应该不支持交换律和结合律,但兰伯特为什么能对分子进行去括号、交换计算顺序等操作?
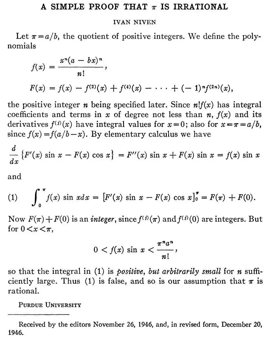
附二,最短证明,也就是数学家 Ivan Niven 给出的证明:
