初一数学期末考试复习(三):有理数重难点题型,有理数相关概念
这里呢,已经是第三篇复习的文章啦,首先感谢大家对之前两篇文章的支持与关注,再一个就是告诉大家一个好消息,初二年级的今天也开始发布喽!
废话不多说,今天在这里呢,给大家分享的是有理数的相关概念。概念题呢,无论是学到哪里都是会考的,主要也是为了考察学生对基本知识掌握的扎不扎实,也是为后面重难点题目打基础!

初一数学期末复习第3篇,喜欢的点关注
【考点3 有理数相关概念】
【方法点拨】
解决此类问题需理解并熟记有理数相关概念,如
①整数和分数统称为有理数;
②正有理数、0和负有理数亦可称为有理数;
③只有符号不同的两个数叫做互为相反数;
④在数轴上原点的两旁,离开原点距离相等的两个点所表示的数,叫做互为相反数;
⑤数轴上表示数a的点与原点的距离叫做数a的绝对值;
⑥一个正数的绝对值是它本身,一个负数的绝对值是它的相反数,0的绝对值是0.
【例3】(2018秋•江城区期中)下列说法中正确的是( )
A.正数和负数统称为有理数
B.有理数是指整数、分数、正有理数、负有理数和0五类
C.一个有理数不是整数,就是分数
D.整数包括正整数和负整数
【分析】根据有理数的分类,逐一做出判断即可.
【解答】
解:因为π是正数,却不是有理数,故选项A错误;
有理数按定义分为整数和分数,按性质分为正有理数、负有理数和0.故选项B错误;
因为整数和分数统称有理数,所以一个有理数不是整数,就是分数,故选项C正确;
整数包括正整数、负整数和0,由于缺少0故选项D错误.
故选:C.
【点评】本题考查有理数的分类,解题的关键是掌握有理数的分类标准,做到不重不漏.

【分析】直接利用有理数的概念分析得出答案.

【点评】此题主要考查了有理数的相关概念,正确把握相关定义是解题关键.
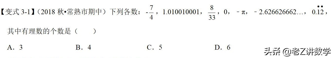
【变式3-2】下列说法正确的是( )
A.正数与负数互为相反数
B.符号不同的两个数互为相反数
C.数轴上原点两旁的两个点所表示的数是互为相反数
D.任何一个有理数都有它的相反数
【分析】A、B、C可举反例判断,D根据相反数的概念解答即可.
【解答】解:A、B、C、如+3和﹣2不是互为相反数,故本选项错误;
D、任何一个有理数都有它的相反数,正确.
故选:D.
【点评】本题考查了相反数的意义,相反数是只有符号不同的两个数.
【变式3-3】(2018秋•东台市期中)下列说法正确的是( )
A.绝对值等于3的数是﹣3
B.绝对值不大于2的数有±2,±1,0
C.若|a|=﹣a,则a≤0
D.一个数的绝对值一定大于这个数的相反数
【分析】利用绝对值的知识分别判断后即可确定正确的选项.
【解答】
解:A、绝对值等于3的数是3和﹣3,故错误;
B、绝对值不大于2的整数有±2,±1,0,故错误;
C、若|a|=﹣a,则a≤0,正确,
D、负数的绝对值等于这个数的相反数,故错误,
故选:C.
【点评】本题考查了绝对值的性质,绝对值规律总结:一个正数的绝对值是它本身;一个负数的绝对值是它的相反数;0的绝对值是0.
Z老师推荐阅读
初一期末复习第一篇文章
初一期末一,有理数章末重难点题型,方法解析+例题帮你搞定期末
初一数学期末考试检测卷
七年级数学期末试卷测试题分享,基础薄弱的学生考前一定要练一练
初一数学借助数轴去绝对值经典题目
初一借助数轴去绝对值,经典习题,不掌握方法到了初二依旧不会做