大家好,我是李工,创作不易,希望大家多多支持我。今天给大家分享 19 个典型二极管应用电路 ,都是一些常用到并且典型的电路。( 篇幅较长,建议收藏后,观看 , 图片可以点击放大 。)
具体是以下 19 种典型二极管应用电路 :
- 1、二极管保护电路
- 2、二极管整流电路
- 3、二极管稳压电路
- 4、二极管续流电路
- 5、二极管检波电路
- 6、二极管限幅电路
- 7、二极管钳位电路
- 8、二极管倍压电路
- 9、二极管AM 包络检波器或解调器
- 10、二极管逻辑电路
- 11、二极管电压尖峰抑制电路
- 12、二极管电压参考电路
- 13、二极管无线电解调电路
- 14、二极管温度测量电路
- 15、二极管倍频电路
- 16、二极管频率控制电路
- 17、二极管光耦隔离
- 18、二极管混频电路
- 19、二极管光源电路
一、二极管保护电路
1、二极管反极性保护电路
肖特基二极管常用于保护电路,如反极性电路,因为它的正向压降低 ,下图为常见的反极性电路。
当 Vcc 和地以正确的极性连接时,二极管正向传导,负载接收功率 。与整流二极管的 0.7V 相比,肖基特二极管上的正向压降在 0.04V 左右非常少,这样二极管上的功率损耗不会太大,而且肖特基二极管可以允许更多的电流通过它,还具有更快的开关速度,因此可以用于高频电路。

二极管反极性保护电路
之前有文章详细讲过肖特基二极管,大家可以直接点击进入:
什么是肖特基二极管?肖特基二极管有什么特别的地方?一文带你读懂肖特基二极管
2、二极管反向电流保护电路
与电源正极串联放置的二极管称为反向保护二极管,可以确保电流只能沿正向流动,并且电源仅向你的电路施加正电压。
当电源连接器没有极化时,这种二极管应用很有用。反向保护二极管的缺点是,由于正向压降,它会引起一些电压损失。

二极管反向电流保护电路
二、二极管整流电路
1、半波整流电路
仅将 交流信号的半波转换为直流信号的过程称为半波整流电路,这种类型的整流是通过只使用一个二极管来实现的,只留下一半信号。

半波整流电路
之前有文章详细讲过半波整流电路,大家可以直接点击进入:
什么是半波整流?半波整流电路原理详解,图文结合,通俗易懂
2、桥式全波整流电路
全波整流电路将 交流信号的全波转换成直流信号 。它由 四个特定配置的二极管组成,称为桥式整流器。

桥式全波整流电路
之前有文章详细讲过桥式全波整流电路,大家可以直接点击进入:
什么是桥式整流电路?一文教你弄懂桥式整流电路
三、二极管稳压电路
稳压器用于 将输入电压降低到所需的水平 ,并在电源波动的情况下保持不变,也可以用来调节输出电压。
齐纳二极管通常用作 电压调节器 ,因为它设计为在反向偏置条件下工作。当处于正向偏置时,它的行为就像一个正常的信号二极管。另一方面,当施加反向电压时,电压在很宽的电流范围内保持恒定。
在下面的电路中,输入电压可以在 0V 到 12V 之间变化,但输出电压永远不会超过 5.1V,因为 齐纳二极管的反向击穿电压(齐纳电压)为 5.1V,当输入电压低于 5.1V 时,输出电压将等于输入电压,但当超过 5.1V 时,输出电压将被调节为 5.1V。

二极管稳压电路
该电路的这一特性可用于保护 5V 的 ADC 引脚(过压保护电路 ),因为该引脚可以读取 0-5V 的电压,但如果超过 5V,齐纳二极管将不允许过压。同样,当输入电压很高时,可以使用相同的电路为负载调节 5.1V。但是这种电路的电流限制非常小。
在使用齐纳二极管设计电路时,要考虑的一件重要事情是齐纳电阻, 齐纳电阻用于限制通过齐纳二极管的电流,从而保护其免受加热和损坏,齐纳电阻的值取决于齐纳二极管的齐纳电压和额定功率。
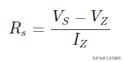
齐纳串联电阻 Rs 的计算公式如下所示

齐纳串联电阻 Rs 的计算公式
对于 1N4734A 齐纳二极管,Vz 值为 5.9 V,Pz 为 500mW,现在电源电压 (Vs) 为 12V,Rs 值为
Rs = (12-5.9)/Iz
Iz = Pz/Vz = 500mW / 5.9V = ~85mA
因此,Rs = (12-5.9)/85 = 71 Ω
Rs = 71ohms(大约)
之前有文章详细讲过齐纳二极管,大家可以直接点击进入:
什么是齐纳二极管?几分钟教你弄懂齐纳二级管工作原理
四、二极管续流电路
续流二极管基本上是一个连接在感性负载端子上的二极管,以 防止在开关两端产生高压。
当电感电路关闭时,续流二极管为电感衰减电流的流动提供短路路径,从而消耗电感中存储的能量。
续流或反激二极管的主要目的是通过提供短路路径来释放电感中存储的能量,否则电路电流的突然衰减将在开关触点和二极管上产生高电压。
当开关 S 闭合时,通过电路的稳态电流 I 为 (V/R),因此电感中存储的能量为 (LI 2 )/2。当此开关 S 打开时,电流会突然从稳定值 I = (V/R) 衰减到零。
由于电流的这种突然衰减,等于 L(di/dt)的高反向电压(根据楞次定律)将出现在电感端子上,因此会出现在二极管和开关上,这将导致开关触点产生火花。
如果这个反向电压超过二极管的峰值反向电压,那么它可能会损坏。为了避免这种情况发生,一个称为续流或反激二极管的二极管连接在电感负载 RL 上,如下图所示。

二极管续流电路
五、二极管检波电路
峰值检测器电路用于 确定 输入 信号 的 峰值(最大值) ,将输入电压的峰值存储无限长的时间,直到达到复位条件。
峰值检测器电路利用其跟踪输入信号的最大值并将其存储的特性 。
下图显示了基本正峰值检测器的电路 :
峰值检测器由一个二极管和电容以及一个运算放大器组成,如上图所示。峰值检测电路不需要任何复杂的元件来确定输入波形的峰值。
工作原理: 跟随输入波形的峰值并以电压的形式存储在电容中,到进一步移动的时间,如果电路检测到更高的峰值,新的峰值将存储在电容器中,直到它被放电。
电路中使用的电容由施加的输入信号通过二极管充电,二极管上的小电压降被忽略,电容被充电到施加的输入信号的最高峰。

二极管检波电路
六、二极管限幅电路
限幅电路是由二极管制成的电路, 用于通过对信号的正半部分或负半部分或两半部分进行削波或切割来整形信号波形,它用于限制预定点的电压。

二极管限幅电路
之前有文章详细讲过二极管限幅电路,大家可以直接点击进入:
什么是二极管限幅电路?一文带你读懂二极管限幅电路
七、二极管钳位电路
钳位器是一种电路, 可在不扭曲信号形状的情况下向信号添加正或负 DC 值偏移 。
信号的峰峰值保持不变,钳位器由一个带电容的二极管组成。

二极管钳位电路
之前有文章详细讲过二极管钳位电路,大家可以直接点击进入:
什么是二极管钳位电路?二极管钳位是什么意思?一文帮你搞定
八、二极管倍压电路
半波倍压器的电路图如下所示。
正半周期 :二极管 D1 正向偏置 ,所以它允许 电流 通过它,该电流将流向电容 C1 并将其 充电至输入电压 IeVm 的峰值。然而,电流不会流向电容 C2 ,因为二极管 D2 是 反向偏置 的,因此二极管 D2 阻止了流向电容 C2 的电流。 因此,在正半周期间,电容 C1 被充电而电容 C2 未被充电。
负半周期:二极管 D1 被反向偏置。因此二极管 D1 将不允许电流通过它。因此, 在负半周期间,电容 C1不会被充电 。然而,存储在电容 C1中的 电荷 (V m ) 被放电(释放) 。
另一方面,二极管 D2 在负半周期间正向偏置,所以二极管 D2 允许电流通过它。该电流将流向电容 C2 并对其充电。因为输入电压 Vm 和电容 C1 电压 Vm 被添加到电容 C2 ,所以电容 C2 充电到值 2Vm。
因此,在负半周期间,电容 C2 由输入电源电压 Vm 和电容 C1 电压 Vm 充电。因此,电容 C2 被充电至 2m。

二极管倍压电路
九、二极管AM 包络检波器或解调器
带电容的二极管是用于解调 AM 信号的最简单和最便宜的电路。
音频信息信号存储在由二极管检测的 AM 调制信号的包络中,因为它只允许信号的正半周期。

二极管AM 包络检波器或解调器
十、二极管逻辑电路
简单的数字逻辑门,如 AND 或 OR,可以用二极管构建。
例如,一个二极管双输入或门可以由两个具有共享阴极节点的二极管构成。逻辑电路的输出也位于该节点。每当任一输入(或两者)为逻辑 1(高/5V)时,输出也变为逻辑 1。 当两个输入均为逻辑 0(低/0V)时,输出通过电阻拉低。

二极管逻辑电路
与门的构造方式类似,两个二极管的阳极连在一起,就是电路的输出所在的位置,两个输入都必须为逻辑 1,迫使电流流向输出引脚并将其拉高。如果任一输入为低电平,来自 5V 电源的电流将流过二极管。
对于两个逻辑门,只需添加一个二极管即可添加更多输入 。

二极管逻辑电路
十一、二极管电压尖峰抑制电路
瞬态电压抑制 (TVS) 二极管通常 用于限制意外的大电压尖峰造成的潜在损害 。瞬态电压抑制 (TVS) 二极管有点像齐纳二极管,低击穿电压(通常约为 20V),但具有非常大的额定功率(通常在千瓦范围内)。
瞬态电压抑制 (TVS) 二极管设计目的是 在电压超过其击穿电压时分流电流并吸收能量。
反激二极管在抑制电压尖峰方面也有类似的作用,特别是那些由电感元件(如电机)引起的尖峰。
当通过电感的电流突然变化时,会产生一个电压尖峰,可能是一个非常大的负尖峰,放置在感性负载上的反激二极管将为负电压信号提供安全的放电路径 ,实际上循环通过电感和二极管,直到它最终消失。

二极管电压尖峰抑制电路
十二、二极管电压参考电路
齐纳二极管在 各种电子电路中用作电压参考,为偏置提供稳定的电压 。齐纳二极管在反向偏置下作为电压调节器运行,并在宽电流范围内提供稳定的电压。

二极管电压参考电路
十三、二极管无线电解调电路
调幅无线电广播的解调是 二极管的一个重要应用 。幅度调制信号由交替的正负电压峰值组成,其幅度或“包络”与原始音频信号成比例,但平均值为零。
晶体二极管对幅度调制信号进行整流,从而产生具有所需平均幅度的信号,一个简单的过滤器用于检索平均值,然后将其放入产生声音的音频转换器中。

二极管无线电解调电路
十四、二极管温度测量电路
二极管可用作温度监测设备 ,因为 二极管上的正向压降与温度有关 。电压看起来具有正温度系数,因此根据肖克利理想二极管方程,它取决于掺杂浓度和工作温度。
温度系数可能像普通热敏电阻一样为负,也可能像在低于 20 开氏度的温度下工作的温度感应二极管一样为正。

二极管作为温度传感器
十五、二极管倍频电路
当电流通过二极管时,一半的周期被切断。无论频率如何,只要二极管电容不太大,从 60 Hz 电流通过 RF 都会发生这种情况。
二极管的输出波看起来与输入波有很大不同,这种情况称为非线性。每当电路中存在任何类型的非线性时。
每当输出波形的形状与输入波形不同时,输出中就会出现谐波频率,这些是输入频率整数倍的波。
通常,非线性是不可取的,然后工程师努力使电路线性化, 使输出波形与输入波形具有完全相同的形状,但有时需要一个会产生谐波的电路.,然后故意引入非线性。
二极管非常适合这一点,一个简单的倍频电路如图所示,输出 LC 电路被调谐到所需的第 n 次谐波频率 nfo,而不是输入或基频 fo。
为了使二极管用作倍频器,必须是在相同频率下也能很好地用作检测器的类型。这意味着该组件应充当整流器,而不是电容。

二极管倍频电路
十六、二极管频率控制电路
当二极管反向偏置时,在 PN 结处有一个具有介电特性的区域,这被称为耗尽区,因为它缺少多数电荷载流子,该区域的宽度取决于几个因素,包括反向电压。
只要反向偏压小于雪崩电压,改变偏压就可以改变耗尽区的宽度,这导致结的电容发生变化。电容总是很小(皮法量级),与反向偏压的平方根成反比。
一些二极管是专门为用作可变电容而制造的,这些是变容二极管 。有时你会听到它们被称为可变电容,它们由硅或砷化镓制成。
变容二极管的常见用途是在 称为压控振荡器 (VCO) 的电路中。使用线圈和变容二极管的电压调谐电路如下图所示。
下图为一个并联调谐电路,与变容二极管相比, 其值较大的固定电容器用于防止线圈使变容二极管两端的控制电压短路。

二极管频率控制电路
十七、二极管光耦隔离电路
光电隔离器是一种设备,它 有两个二极管 : 一个是光源或发射器 ,通常是发光二极管(LED),另一个是用作光电传感器的 光电二极管 。
LED 将电输入信号转换为光,光电二极管检测入射光并根据入射光产生相应的电能。
一个基本的光耦合器如下所示:

二极管光耦隔离电路
之前有文章详细讲过光电二极管电路,大家可以直接点击进入:
你想知道的光电二极管知识,一文给你讲明白
十八、二极管混频电路
混频器是一种提供新信号的电路,其频率是两个输入信号的和或差。
二极管用于 混频器中以改变信号的频率 ,例如 调制用于在超外差接收器中传输或解调的信号。
双工器通过叠加输入 RF 和 LO 信号来驱动二极管。
二极管偏置在直流电压 ,通过隔直电容 与 RF 和 LO 信号路径去耦。 RF 扼流圈阻止 RF/LO 信号进入偏置源。由于二极管非线性而产生的高频分量被中频滤波器滤除,只允许中频分量出现在输出端。

二极管混频电路
十九、二极管光源电路
LED 是电流驱动的,当置于正向偏置模式时会出现一定的电压降,正向压降 (V F ) 范围为 1.2V 至 4.0V,取决于 LED 使用的复合材料类型。
当施加大于正向压降的电压并且电流流过 LED 时,LED 就会发光。
过大的电流会损坏 LED 的敏感 PN 结,因此需要在 LED 和电压源之间插入适当的串联电阻,串联电阻值不应超过 LED 额定电流的 80%,并应允许足够量的电流使 LED 显着变亮。

二极管光源电路
之前有文章详细讲过发光二极管电路,大家可以直接点击进入:
发光二极管为什么发出不同颜色的光?一文讲解光电二极管
以上就是关于 19 个典型二极管应用电路 的知识,希望大家 多多支持 我,得 点赞 , 关注 ,有问题欢迎在 评论区留言 ,大家 一起讨论 。

图片来源于网络