解三角形中周长取值范围问题 (解三角形范围问题的求解思路)

1.对边对角模型

解三角形范围问题解题技巧,解三角形的最值和范围方法总结

2.正弦定理边角互换

解三角形范围问题解题技巧,解三角形的最值和范围方法总结

解三角形范围问题解题技巧,解三角形的最值和范围方法总结

3.齐次型分式

解三角形范围问题解题技巧,解三角形的最值和范围方法总结

解三角形范围问题解题技巧,解三角形的最值和范围方法总结

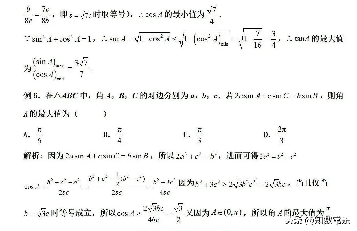
4.余弦定理求角最值

解三角形范围问题解题技巧,解三角形的最值和范围方法总结

解三角形范围问题解题技巧,解三角形的最值和范围方法总结

5.秦九韶公式

解三角形范围问题解题技巧,解三角形的最值和范围方法总结

解三角形范围问题解题技巧,解三角形的最值和范围方法总结

6.爪型三角形等面积法

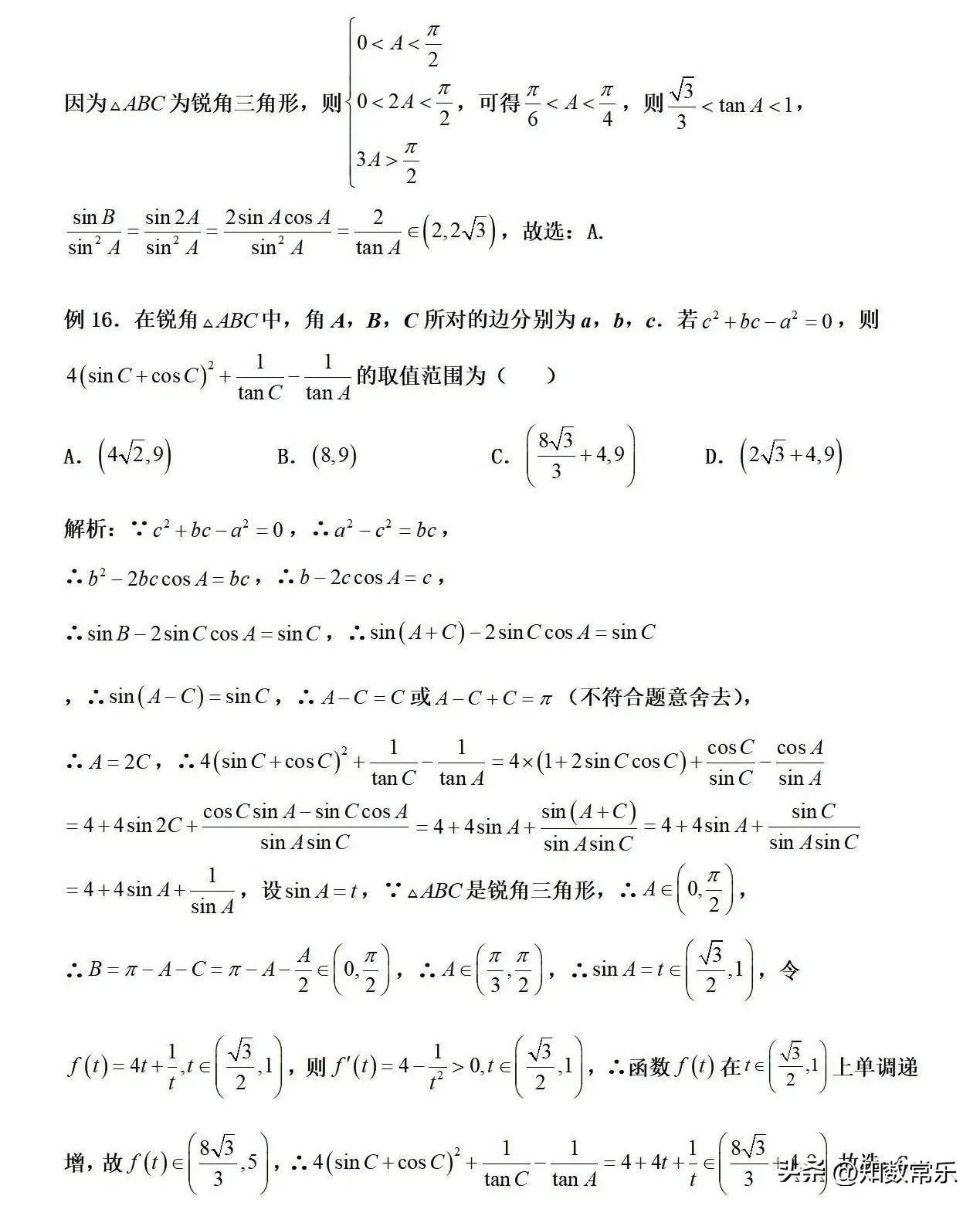
解三角形范围问题解题技巧,解三角形的最值和范围方法总结

解三角形范围问题解题技巧,解三角形的最值和范围方法总结

解三角形范围问题解题技巧,解三角形的最值和范围方法总结

解三角形范围问题解题技巧,解三角形的最值和范围方法总结

解三角形范围问题解题技巧,解三角形的最值和范围方法总结

8.轨迹问题

解三角形范围问题解题技巧,解三角形的最值和范围方法总结

解三角形范围问题解题技巧,解三角形的最值和范围方法总结

解三角形范围问题解题技巧,解三角形的最值和范围方法总结

解三角形范围问题解题技巧,解三角形的最值和范围方法总结

解三角形范围问题解题技巧,解三角形的最值和范围方法总结

10.托勒密不等式

解三角形范围问题解题技巧,解三角形的最值和范围方法总结

解三角形范围问题解题技巧,解三角形的最值和范围方法总结