植物功效成分-鞣质
一、概述
鞣质又称单宁(tannins)或鞣酸(tannicacid),原是指具有鞣制皮革作用的物质。鞣质是一类结构复杂的多元酚类化合物。目前认为鞣质是由没食子酸(或其聚合物)的葡萄糖(及其他多元醇)的酯、黄烷醇及其衍生物的聚合物以及两者混合共同组成的植物多元酚。
鞣质类化合物广泛分布于植物界,特别是在种子植物中,如蔷薇科、大戟科、萝科、茜草科植物中最为多见。我国含有鞣质的植物资源十分丰富,如五倍子、地榆、大黄、虎杖、仙鹤草、老鹤草、四季青、麻黄等。随着现代色谱、波谱技术的发展,鞣质成为十分活跃的研究领域,目前已分离鉴定的鞣质类化合物达上千种之多。
鞣质具有广泛的生物活性,除传统的收敛、止血、止泻及抗菌作用外,在抗氧化、抗病毒、抗过敏、抗突变、抗肿瘤、抗艾滋病等方面均显示出较强的生物活性。近年来,我国在鞣质的化学及其应用研究上也取得了不少的成果,如以鞣质类为有效成分研制成功的抗肿瘤二类新药威麦宁胶囊;以四季青鞣质为原料制成的制剂用于治疗烫伤、烧伤;以茶叶中的鞣质为主研制的茶多酚制剂,用于延缓衰老、治疗帕金森病等。鞣质类化合物还具有很强的抗龋齿作用,且无毒副作用,长期使用不产生耐药性。 此外,从富含鞣质的植物水提取液经浓缩制成的" 拷胶",在皮革工业用作鞣皮剂,酿造工业用作澄清剂,以及木材粘胶剂、墨水原料、染色剂、防垢除垢剂等。
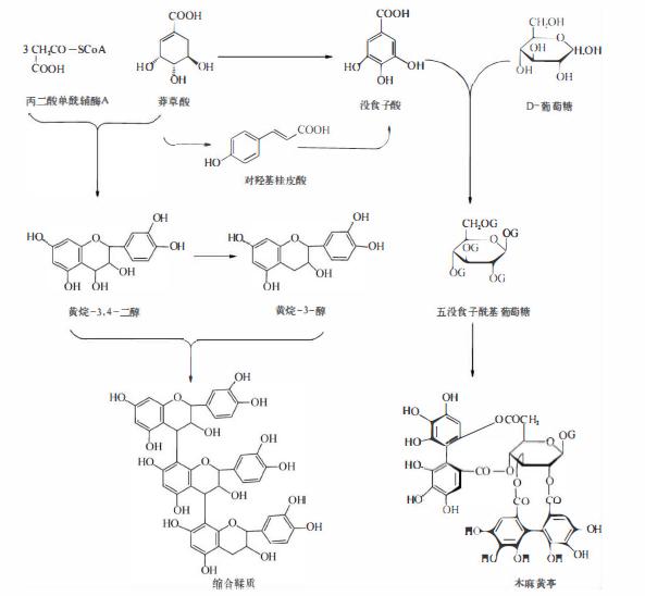
可水解鞣质的生物合成来自莽草酸途径下的桂皮酸途径。桂皮酸侧链经氧化酶催化发生双键断裂,生成苯甲酸,再经羟基转移酶的作用生成没食子酸,进一步与葡萄糖等缩合生成没食子鞣质、逆没食子鞣质等可水解鞣质,其中五没食子酰基葡萄糖(pentagalloyl glucose)为其关键中间产物。
缩合鞣质生物合成的直接前体是二氢黄酮醇,在二氢黄酮醇还原酶(dihydroflavonol reductase, DFR)的作用下生成黄烷-3,4-二醇、黄烷-3-醇,再生成儿茶素和表儿茶素,经多酚氧化酶(polyphenoloxidase, PPO)的作用,形成低聚或多聚的缩合鞣质。鞣质生物合成途径如下。

二、鞣质的结构与分类
根据鞣质的化学结构特征,可将其分为可水解鞣质(hydrolysabletannins)、缩合鞣质 (condensed tannins)和复合鞣质(complextannins)三大类。
1、可水解鞣质
可水解鞣质为没食子酸等酚酸与糖或多元醇通过酯键、酯甘键形成的酯,在酸、碱、酶(特别是鞣质酶或苦杏仁酶)的作用下,可水解成小分子酚酸类化合物和糖或多元醇。根据水解产物(酚酸及其多元醇)的不同,进一步分为没食子鞣质、逆没食了鞣质(鞣花鞣质)、可水解鞣质低聚体(hydrolysable tannin oligomers)、C-苷鞣质和咖啡鞣质等。
(1)没食子鞣质(gallotannins)水解后能生成没食子酸和糖或多元醇。此类鞣质的糖或多元醇部分的羟基全部或部分地被酚酸或缩酚酸(depside)所酯化。
没食子鞣质的糖基(或多元醇)中最常见的是葡萄糖,如五倍子鞣质,是可水解鞣质类的代表,水解后产物为没食子酸和葡萄糖。五倍子鞣质实际上是一种混合物,以1,2,3,4,6-五没食子酰基葡萄糖为“核心",在2,3,4位上有更多的没食子酰基以缩酚酸的形式相连接形成,共含有8个组分,由五至十二-O-没食子酰基葡萄糖组成(G5~G12),其中最多的是七至九-O-没食子酰基葡萄糖。


构成没食子鞣质的其他糖还有D-金缕梅糖(D-hamamelose)、D-阿洛糖,多元醇有原栋醇(protoquercitol)、栋醇(scyllo-quercitol)、奎宁酸(quinic acid)、莽草酸等。

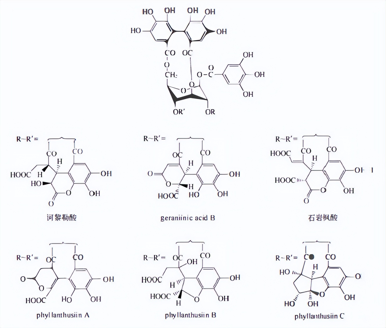
(2)逆没食子鞣质:逆没食子鞣质又称鞣花鞣质(ellagitannins),是六羟基联苯二酸及其衍生物与多元醇(多数是葡萄糖)形成的酯,水解后可产生逆没食子酸(鞣花酸,ellagicacid)和糖。六羟基联苯二甲酰基(HHDP)有许多酰基态衍生物,这些酰基态的酚酸在植物体内均来源于没食子酰基,是相邻的2个、3个或4个没食了酰基之间发生脱氢、偶合、重排、环裂等变化形成,其衍生关系如下。

逆没食子鞣质是种类最多的可水解鞣质,但仅存在于双子叶植物类群中。因六羟基联苯二甲酰基及没食子酰基的数目、脱氢、氧化程度、结合位置等不同,可组合成各种各样的结构。如诃子中的诃子酸(chebulinicacid)、诃黎勒酸(chebulagicacid),老鹤草中的geraniinicacid B,龙眼花中的石岩枫酸(repandusinicacid),叶下珠中的phyllanthusiinA~C等。

老鹤草属植物中的老鹤草素(geraniin)是结晶性的逆没食子酸鞣质,其结构中含有HHDP和DHHDP基团,由于DHHDP基团易互变,因此老鹤草素是以两个互变异构体的形式存在。

(3)可水解鞣质低聚体(hydrolysabletannin oligomers) 是山2分子以上的逆没食子鞣质缩合所产生。根据葡萄糖核的数目可分为二聚体、三聚体、四聚体及五聚体,因没食子酰基( G)、HHDP、GOG、DOG等位置、缩合度的不同衍生出多种类型。其中以二聚体种类最多,如从仙鹤草Agrimonia pilosa中得到的仙鹤草素agrimoniin。

(4)C-苷鞣质(C-glycosidic tannins) 主要特征是糖开环后端基碳与没食子酸苯环上的碳通过C-C键直接相连。C-苷鞣质较其他可水解鞣质化学性质稳定,不易水解。到目前已有80多天然的C-苷鞣质被发现,如木麻黄科植物中的木麻黄宁(casuarinin)、木*黄素麻**(casuariin),旌节花科植物中的旌节花素(stachyurin)等。 此外,在桃金娘科、桦木科、山毛榉科、金缕梅科、千屈菜科、石榴科、野牡丹科、蔷薇科、胡颓子科、山茶科、胡桃科等植物中也有C-苷鞣质的存在。

2、缩合鞣质
缩合鞣质通常指缩合原花色素类,是由黄烷醇类通过碳-碳键缩合而成,用酸、碱、酶处理或久置均不能水解,但可缩合为高分子、不溶于水的产物”鞣红”(tanninreds),亦称鞣酐(phlobaphenes),故又称为鞣红鞣质类(phlobatannins)。原花色素在热酸-醇处理下能生成花色素(anthocyanidins)。构成缩合鞣质的结构单元以(+)-儿茶素(catechin)和(-)-表儿茶素(epicatechin)为最多,其他的尚有棓儿茶素(gallocatechin)、阿福豆素(afzelechin)、菲瑟亭醇(fisetinidol)、牧豆素(prosopin)等多种黄烷-3-醇(flavan-3-ol)类,因此又称为黄烷类鞣质(flavonoid tannin)。原花色素本身不具鞣性,二聚原花色素能使蛋白质沉淀,因此被列为缩合鞣质,但二聚体只有不完全的鞣性,自三聚体起才有明显的鞣性,随分子量的增加而鞣性增加。天然鞣质大多属于缩合鞣质,主要存在于植物的果实、种子及树皮等中。此类鞣质分布广泛,如槟榔、钩藤、山茶、麻黄、翻白草、大黄、肉桂、茶叶、柿子等都含有缩合鞣质。
缩合鞣质的分类缩合鞣质组成单元、连接方式多样,目前主要有五种分类方法。
(1)按聚合程度分类:可分为单体原花色素(monomeric proanthocyanidins)和聚合原花色素(condensed proanthocyanidins)。单体原花色素包括黄烷-3-醇类,黄烷-3,4-二醇类,黄烷-4-醇类等聚合原花色素包括以 2 ~ 10个儿茶素单元缩合成的低聚原花色素 (oligomeric proanthocyanidins)和10个以上儿茶素单元缩合成的多聚原花色素(polymeric proanthocyanidins)。
(2)按酚羟基类型分类:根据原花色素组成单元(以黄烷-3-醇为主)的酚羟基数和类型以及它们相应生成的花色素的不同,可分为11类,其中分布最广、数量最多的是组成单元为儿茶素的原花青定类(procyanidins),其次为组成单元中有棓儿茶素(gallocatechi泣单元的原雀翠定类(prodelphinidins)。
(3)按照儿茶素单元间连接键数目分类:可分为单连键型和双连键型。单连键型是各单元间以C-4---C-8或C- 4---C-6位碳-碳键直接相连,是最为常见的一类,又称为原花色素B型(proanthocyanidin B-type)。 双连键型由一个随键和一个碳—碳键双链连接而成,能够被酸处理而形成含有黄铎盐类(flavylium salts),称为原花色素A型(proanthocyanidinA - type)。 目前已在樟科(Lauraceae)、七叶树科(Hippocastanaceae)、杜鹃花科(Ericaceae)、蔷薇科(Rosaceae)及豆科(Leguminose)等植物中发现。
(4)按照组成单元的排列形式分类:可分为直链型、角链型和支链型三种。
(5)按普通原花色素与复杂原花色素分类:由黄烷型单元组成的原花色素称普通型,由黄烷基与其他类型的单元组成的原花色素,在酸的处理下可生成复杂的花色素,称复杂型。
很多中草药中都含有缩合鞣质,主要以二聚体至六聚体形式存在,大多数为单链键型。例如,从山楂叶分离得的10个原花色素类,分别为(-)-表儿茶素,二聚体的原花青定B2,B4,B5(procyanidin B2, B4,B5),三聚体的原花青定Cl(procyanidin Cl),四聚体的原花青定Dl(procyanidin Dl),五聚体的原花青定El(procyanidin El),以及一个六聚体的原青花素成分,均为单链键型的缩合鞣质。

双链键型(原花色素A型)的缩合鞣质在植物中分布比单链键型的狭窄,第 个双链键型的缩合鞣质原花青定A2(procyanidin A2)是从欧洲七叶树中分离出来的,此后在麻黄、肉桂、花生衣、乌药、葡萄籽、荔枝、山杏等中草药中均发现了多种双链键型的缩合鞣质。 例如,中药肉桂除含有多种 2~6聚体单链键型的缩合鞣质外,同时还含有多种3~5聚体双链键型的缩合鞣质。

3、复合鞣质
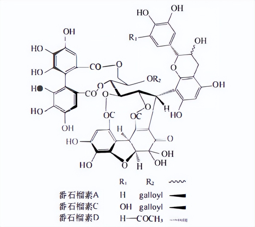
复合鞣质(complex tannins)是由逆没食子鞣质部分与缩合鞣质部分结合而成的,同时具有可水解鞣质与缩合鞣质的特征,因此将其称为复合鞣质。从生源上讲复合鞣质属于C-苷鞣质中的一类,因此在实际研究中也是将其归类于C-苷鞣质,其结构比其他类型的C-苷鞣质多一个与开环糖C-C键直接连接的黄烷醇类(大多为儿茶素类)。山茶Camellia japonica中的山茶素A、B、C、E(came liatannin A, B, C, E),番石榴Pisdium guajava中番石榴素A、C、D(guavinA, C, D)均属于复合鞣质。

二、鞣质的理化性质
1、物理性质
鞣质类大多为灰白色无定形粉末,少数为结晶状,如老鹤草素,多具吸湿性。鞣质极性较强,溶于水、甲醇、乙醇、*酮丙**,可溶于乙酸乙酯、*酮丙**和乙醇的混合液,难溶或不溶于*醚乙**、苯、氯仿、石油醚及二硫化碳等。少量水存在能够增加鞣质在有机溶剂中的溶解度。
2、化学性质
(1)还原性 鞣质含有很多酚羟基,为强还原剂,易被氧化,能还原斐林试剂。
(2)与蛋白质沉淀 鞣质能与蛋白质结合产生不溶于水的沉淀,使生皮鞣制成革,能使明胶从水溶液中沉淀出来,此可作为提纯、鉴别鞣质的一种方法。
(3)与重金属盐沉淀 鞣质的水溶液能与重金属盐,如乙酸铅、乙酸铜、氯化亚锡或碱土金属的氢氧化物溶液等作用,生成沉淀。在提取分离及除去鞣质时均可利用这一性质。
(4)与生物碱沉淀 鞣质的水溶液可与生物碱生成难溶或不溶的沉淀,故可用作生物碱沉淀试剂。在提取分离及除去鞣质时亦常利用这一性质。
(5)与三氯化铁的作用 鞣质的水溶液与FeCl3作用,产生蓝黑色或绿黑色反应或产生沉淀。蓝黑墨水的制造就以鞣质为原籵。
(6)与铁氰化钾氨溶液的作用 鞣质与铁氰化钾氨溶液反应呈深红色,并很快变成棕色。
三、鞣质的提取与分离
1、鞣质的提取
鞣质性质不稳定,极易发生氧化、聚合,故在选择合适溶媒的基础上,须注意控制提取的温度和时间,力求快速,以防止鞣质变性。最好用新鲜原料,且宜立即浸提,也可以用冷冻或浸泡在*酮丙**中的方法储存。原料的干燥宜在尽可能短的时间内完成,以避免鞣质在水分、日光、氧和酶的作用下变性。
经过粉碎的干燥原料或新鲜原料(茎叶类)可在高速搅碎机内加溶剂进行组织破碎提取,然后过滤得到浸提液。组织破碎提取法是目前提取鞣质类化合物最常用的提取方法。
提取鞣质时多使用50%~70%*酮丙**,含水*酮丙**对鞣质的溶解能力最强,能够断开植物组织内鞣质-蛋白质的连接链,使鞣质的提取率提高。经减压浓缩可很容易地将*酮丙**从提取液中回收,得到鞣质的水溶液。现在鞣质提取液的浓缩多采用冷冻干燥法,以避免因温度过高引起鞣质缩合。
2、鞣质的分离
提取得到的总鞣质,仍然是混合物,需要进步分离、纯化。由于鞣质是复杂的多元酚,有较大的分子量和强的极性;且又是由许多化学结构和理化性质十分接近的化合物组成的复杂混合物,难以分开;同时鞣质的化学性质比较活泼,在分离时可能发生氧化、缩合等反应。近年来,随着各种色谱的发展及应用,使鞣质的研究有了迅速的发展。将鞣质制成甲酯化或乙酸酯衍生物有助于鞣质的分离。 目前缩合鞣质中绝大部分高聚物的纯化合物都是以甲基醚或乙酸酯的形式分离出来的。
对于鞣质的分离及纯化,经典方法主要有溶剂法、沉淀法、透析法及结晶法,现在常用色谱法。
(1)溶剂法 通常将含鞣质的水溶液先用*醚乙**等极性小的溶剂萃取,除去极性小的杂质,然后用乙酸乙酯提取,可得到较纯的鞣质。亦可将鞣质粗品溶于少量乙醇和乙酸乙酯中,逐渐加入*醚乙**,鞣质可沉淀析出。
(2)沉淀法 利用鞣质与蛋白质结合的性质,可从水溶液中分离鞣质。向含鞣质的水溶液中分批加入明胶溶液,滤取沉淀,用*酮丙**回流,鞣质溶于*酮丙**而与蛋白质分开,这也是将鞣质与非鞣质成分相互分离的常用方法。
(3)柱色谱法 柱色谱法是目前分离、纯化鞣质的最主要方法。普遍采用的固定相是DiaionHP-20, Toyopearl HW-40, Sephadex LH-20及MCI Gel CHP-20 等吸附性填料。以水-甲醇、水-乙醇、水-*酮丙**为流动性。
在分离鞣质时,常采用多种柱色谱相结合的方法。其组合使用的顺序一般为DiaionHP -20---Toyopearl HW-40---MCIGel CHP-20,因它们在水中吸附力最强,故开始先用水冲洗,洗脱出多糖、多肽及蛋白质等水溶性杂质,然后依次用10%、20%、30%、40%甲醇洗脱,最后用70%*酮丙**洗脱。实验室一般操作流程如下。

经MCIGHP-20P柱色谱分离后的各洗脱流分可用HPLC检测,单一组分者合并后回收溶剂,即可得到单体鞣质化合物。
(4)高效液相色谱法 HPLC法对鞣质不仅具有良好的分离效果,而且还可用于判断鞣质分子的大小、各组分的纯度及α、β异构体等,具有简便、快速、准确、实用性强等优点。
(5)高速逆流色谱法CHSCCC 随着HSCCC这一分离技术应用范围不断扩大,也成功应用于鞣质类成分的分离纯化,如采用二相、三相等不同的溶剂系统从绿茶中分离茶多酚类,从黑茶中分离茶黄素,从苹果中分离2~5聚体花青定类成分等。
四、含鞣质的植物实例
1、五倍子
五倍子为漆树科植物盐麸木Rhuschinensis Mill.、青麸杨Rhuspotaninii Maxim或红麦麸杨Rhus punjabensis Stew. var. sinica (Diels) Rehd. et Wils. 叶上的虫瘿,主要由五倍子蚜MeLaphzs chinensis (Bell) Baker寄生而形成。秋季采摘,置沸水中略煮或蒸至表面呈灰色,杀死蚜虫,取出,干燥。 按外形不同,分为"肚倍”和"角倍"。味酸、涩,寒。 归肺、大肠、肾经。 功能具有敛肺降火,涩肠止泻,敛汗,止血,收湿敛疮的功效。用于肺虚久咳,肺热痰嗽,久泻久痢,自汗盗汗,消渴,便血痔血,外伤出血,疽肿疗毒,皮肤湿烂。
我国是五倍子主产国,产量约占世界总产量的95%,国际上又将五倍子称为中国五倍子。五倍子中主要含有7~9 分子没食子酸和1分子葡萄糖缩合而成的五倍子鞣质,含最为60%~80%,尚含有没食子酸2%~4%、脂肪、树脂及蜡质等,还有若干缩合没食子鞣质。五倍子鞣质与皮肤黏膜、溃疡接触后,组织蛋白即凝固,形成一层被膜而具有收敛和止血的作用,还可以减轻肠道炎症而具有止泻作用。此外,以五倍子为主要原料生产的五倍子鞣质、没食子酸、焦性没食子酸和抗生素增效剂(TMP)等产品在医药、化工领域均具有重要的用途。
《中国药典》以总鞣质和没食子酸为指标成分,对五倍子进行鉴别和含量测定。要求含总鞣质以没食子酸(C7H605)计,不得少于50.0%。
2、花生衣
花生衣是豆科植物治花生Arachis hyjJogaea L.的种皮。具有止血、散淤、消肿的功效。可用于血友病、类血友病,原发性及继发性血小板减少性紫瘢,肝病出血症,术后出血,癌肿出血,胃、肠、 肺、子宫等出血,也可用于支气管炎。
花生衣富含原花色素类鞣质,采用沸水提取,提取物通过的*酮丙**-水洗脱,收集70%的*酮丙**-水洗脱部分,再经过Toyopearl HW-40, Sephadex LH-20,低压、高压色谱柱分离,纯化,可得到纯度较高的原花色素类成分。
3、茶叶
茶叶为山茶科植物茶树Camellia sinensis (L.) 0. Ktze.的干燥嫩叶或嫩叶,是一种传统的药食同源的天然保健饮品。 茶叶中含有咖啡因、茶多酚、维生素类、矿物质、氨基酸和脂多糖等成分,其中茶多酚(Tea Polyphenols, TP)是茶叶的主要生理活性成分。
茶多酚又名茶单宁、茶鞣质,是茶叶中含有的一类多酚类化合物的总称,占天然茶叶干物质总量的20%~30%,其中以黄烷醇类(主要是儿茶素类化合物)最为重要,占茶多酚总量的60%~80%,主要包括儿茶素(catechin)、表儿茶素(epicatechin, EC)、没食子儿茶素(gallocatechin, GC)、表没食子儿茶素(EGC)、表没食子儿茶素没食子酸酯(EGCG)、表儿茶素没食子酸酕(ECG)等,其中以EGCG含最最高,约占儿茶素的80%。

对茶多酚的大量研究表明,茶多酚具有增强机体抵抗力、抗氧化、防癌、抗肿瘤、抗辐射、抑闲、抗病毒、降血糖、降血脂、预防心血管疾病、延缓衰老等多种生物活性。2006年10月茶多酚被美国食品和药物管理局(FDA)批准作为新的处方药,用于局部(外部)治疗由人类乳头瘤病毒引起的生殖器庞,成为FDA首个批准上市的植物(草本)药。