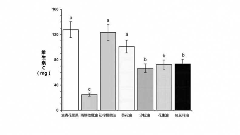
水煮花椰菜会大量流失维生素C,而用对油来炒菜,更是可以保留青菜中的维生素C。研究发现,用初榨橄榄油、葵花油炒的花椰菜,维生素C含量与生的花椰菜几乎一样。

维生素C最怕水煮
维生素C是最怕热的维生素之一,大约60度就会大幅破坏,而且维生素C有抗氧化、抗黑色素生成与帮助胶原蛋白合成的特性,所以维生素C是最被广为人知的维生素。
在青花椰菜的加工中,破坏维生素最严重的就是杀青这个步骤,就会让维生素C流失42%。这流失可能来自于热破坏,也可能因为水溶性的关系而流入菜汤内。一般来说,汆烫时间又会比杀青更久,所以水煮青菜会使维生素C大幅流失。
油炒就不会破坏维生素C吗?
‘对,但也要看用哪种油!’如果使用初榨橄榄油及葵花油,维生素C可以保存得非常好,含量和生的花椰菜没有显著差异,但如果使用沙拉油、花生油或红花籽油,就会使维生素C减少约40%。

如果是使用精炼的橄榄油,则会大幅减少维生素C的含量,仅为生花椰菜的20%!但这并非说精炼不好,因为使用葵花油、沙拉油、花生油,都是市售产品应该是精炼的。
研究无法解释为什么用精炼橄榄油炒后,维生素C的保存度这么差。为什么初榨橄榄油或者葵花油,怎么可以让维生素C保存这么好。
推测原因可能是油炒比较能保存维生素C的原因,除了炒的时间可能比较短、溶于菜汤的比例较低,还有油脂会有些抗氧化剂或多酚类化合物的关系。
烫青菜淋上肉燥 热量惊人
油炒其实带来的问题也不小,炒一小盘蔬菜,大约会使用3小匙的油,光是油的热量就有约130大卡,所以炒青菜的热量问题不可忽略。
此外,大家普遍喜欢大火快炒,使用植物油就会有油脂裂解的问题,餐厅又很喜欢使用猪油,更是带来饱和性脂肪酸的风险,不可小看炒青菜的健康问题。
而烫青菜上面会淋上一匙厚厚的肉燥、油葱酥,很可能都是用猪油拌炒,所以吃烫青菜,建议不要拌肉燥或猪油,可以撒点盐或酱油,就可以减少油脂带来的风险。

摄取维生素C 吃芭乐1/4颗就够
摄取维生素C来源,第一名是水果,占了一天摄取量的30%,而水果又是一天摄取最不够的食物种类,只有12%的人有吃够2份的建议量。
而且水果又不会经过烹煮,更能保留维生素C,像是芭乐1/4颗就达到一天的维生素C建议量,一颗橘子也达到70%建议量,所以若要在水煮或油炒的青菜上追求维生素C,那倒不如吃足够的水果还比较有用。