正文
先通过一张简单的图,认识工智能、机器学习和深度学习的关系。由图可以看出深度学习是机器学习的一个分支,机器学习又是人工智能的一个分支。

人工智能最早可以追溯到上个世纪五十年代,受制于当时的计算能力,人工智能技术并没有得到很好地发展;直到上世纪八十年代,计算机算力的大幅提高,人工智能才得以蓬勃发展,继而衍生出了机器学习技术,机器学习的出现,帮助人类解决了很多诸如垃圾邮件分类、房价估计等简单问题,也辅助解决图像识别等复杂问题,但准确度未能达到预期。直到深度学习(通过的神经网络进行机器学习)技术的出现以及并行计算技术的加持,使得图像识别等复杂问题的准确度得到了大幅提升,一举超越了人类识别的水平。越来越多的科学工作者、工程人员和资本投入到了深度学习领域。
人工智能主要是为了解决预测(回归)和分类两大问题。在生活中,预测的例子有很多,比如根据房屋面积等信息预测房屋的价格,或是根据前几年的销售额,预测今年的销售额等。分类的问题也有很多,比如判定股票的涨跌,图像中的物体(比如手写数字、字母)的识别等。
认识神经网络
提到神经网络时,我们总会看到如下由圆圈和线组成的网络,下面说一下这样绘制的原因。

人类的神经元通过多个树突接收数据,经过处理后,将信号通过轴突发出,与上述结构十分相似,因此我们搭建的网络图也被称为神经网络。

通过一个房价计算的例子,解释一下这里的圆圈和线段。
在一个地区,决定一个房子最直接因素就是房子的面积,面积越大,房子的价格就越高。
即房屋价格 = 房屋面积*每平方米房价。我们用两个圆圈和一条线段可将这个关系表示为:

这是房屋价格最简单的计算方法。
但是房屋价格还受到其他因素的影响,比如是是否装修、家具等。
引入装修和家具的支出,得房屋价格 = 房屋面积*每平方米房价 + 装修面积 * 每平方米装修 + 家具支出 * 1。最终的房屋价格组成的图应该如下所示:

这就组成了一个预测房屋价格的基本网络。在这个网络中房屋面积、装修面积、家具支出是这个网络的输入,房价/平米、装修/平米为这个网络的参数,线段代表的是这个参数的乘法运算,房屋价格为这个网络的输出。
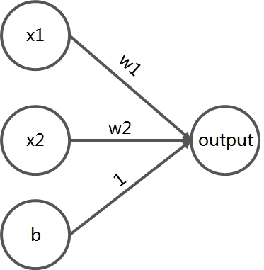
我们将上面的网络图做一个抽象表达,使其能够应用于除房价预测外的更多场景。如下所示:

对于这个简单的网络而言,x1、x2、b被称作这个网络的输入,位于这一层的数据被称为输入层(Input Layer);w1、w2被称作这个网络的参数;线段为参数的运算规则,这里既可以是四则运算,也可是复杂的函数运算;output为这个网络的输出,位于这一层数据被称为输出层(Output Layer)。
房价预测问题相对直观、简单,不需要太过复杂的网络即可实现。可一旦面对复杂的问题(如图像识别)时,无法通过简单的线性网络描述清楚,需要引入更多的参数和更为复杂的计算(比如sigmoid、relu等函数)。就出现了这种需要包含隐藏层(hidden layers)的网络。当网络越大时,整个网络所包含的参数就越多,网络也越复杂。网络越复杂,神经网络中的参数越难解释其作用,这就是深度神经网络被称为"黑盒"的原因。

神经网络的参数
房价计算的神经网络搭建好后,我们就可以通过向网络中输入房屋面积、装修面积、家具支出等信息,得到房屋的价格了。当网络的参数(房价/平米、装修/平米)越准确时,使用该模型预测得到的输出(房屋价格)也将越准确。因此合理的参数设置,决定着一个神经网络的好坏。
在深度学习技术普及前,神经网络的参数,是根据开发者的经验设置的。再通过真实的数据,带入验证,不断微调,使网络预测出的值尽可能接近真实值,进而得到越来越准确的参数。这种人为设置参数的行为在浅层的神经网络中尚可行得通,一旦网络参数达到千甚至上万级别时,这种方法变得不再可行。
为解决深层神经网络的参数调试方法,深度学习领域的专家提出了反向传播(Back propagation)理论。
数据由输入层传入,再经过隐藏层的一系列计算得到结果,并由输出层传出的这个过程被称为前向传播(Forward propagation)。反向传播的思路与前面提到的人为设置参数的方法类似,也是通过对比网络预测值与真实值之间的差异,进而微调网络。
不过反向传播的做法与人为设置参数有所不同,它需要计算预测值和真实的损失函数L,损失函数可以理解为预测值和真实值之间的差值,差值越大,损失函数越大。
完成预测值与真值的损失函数计算后,通过求取前向传播参数的偏导的方法,将损失函数对参数的偏导传递到前一层网络,利用这个偏导与一个系数(学习率)的乘积更新网络中的参数。随后继续传播到更上一层的网络,直到网络中所有的参数都被更新。

每有一组数据,就可以利用反向传播的方法进行一次参数的更新,这就是深度学习网络会随着训练数据量的增大,变得越来越准确的原因。
反向传播的理论在优达学城(Udacity)无人驾驶工程师学位的深度学习基础课程中做了详细的介绍,也可以参考CSDN的文章《一文弄懂神经网络中的反向传播法》,该文使用了一个简单的网络一步步阐述了反向传播的过程,浅显易懂。
训练集、验证集、测试集
在前面的介绍中,我一直使用数据一词来表达神经网络的输入。实际上这些数据在神经网络的不同阶段有不同的称呼。他们分别是训练集(Training Set)、验证集(alidation Set)和测试集(Test Set)。
训练集和验证集是在神经网络模型的训练阶段使用的数据,而测试集是在神经网络模型完成训练后,用于评估模型时所使用的数据。做一个简单的比喻,训练集就是的学生的课本,学生需要根据课本来学习知识(训练模型);验证集就是课后习题,学生通过课后习题来判断自己是否掌握了课本上的知识;测试集就是期末考试(评估模型),期末考试的题一般是课本和课后习题中没有,但是十分类似的题。
一个学生的成绩好不好,看下他期末考的好不好就知道了。一个神经网络模型好不好,看看它在测试集中的表现就知道了。
深度学习领域比较出名的数据集当属MNIST手写体数字数据集了,它包含了60000个训练样本和10000个测试样本。部分样本如下所示:

使用Google推出的深度学习框架TensorFlow,能够直接获取MNIST手写体数字数据集,代码如下:

代码中的train_features和test_features分别为训练集和测试集,即为手写字体数字的图片集合;train_labels和test_labels分别是训练集和测试集的图像所对应的标签,即0-9的数字集合。
MNIST数据集未提供验证集,工程上一般会从训练集中取出15%~20%的数据作为验证集,余下的80%~85%的数据作为训练集,用于完成训练过程。
使用LeNet-5做交通标志牌分类
了解以上内容后,就能大致理解神经网络的工作原理了。再补充一下TensorFlow的语法知识、看几个TensorFlow的例子,就可以自己动手搭建神经网络了。
如果面对复杂的图像处理问题,需要使用卷积神经网络(CNN)。卷积神经网络是由卷积神经网络之父Yann Lecun在贝尔实验室工作期间,为解决手写数字识别而提出的。卷积是一个特殊的函数,其在神经网络中的定位与四则远算或某些特殊函数的地位没有区别。
下面我们通过导入交通标志牌的训练集,使用卷积神经网络之父Yann Lecun提出的LeNet模型,训练一个能识别交通标志的神经网络。
首先导入交通标志牌的数据。优达学城(Udacity)无人驾驶工程师学位为我们提供了34799张图组成的数据集、4410张图组成的验证集和12630张图组成的测试。这些数据集一共包含了43种不同的标志牌,比如限速、转向、停车标志牌。部分训练集的样本如下图所示:

由于LeNet-5默认需要输入尺寸为(32 x 32 x 1)的单通道的图像,因此我将训练集、验证集和测试集都进行灰度、缩放和归一化处理。处理后的部分样本如下:

LeNet-5是一个不太复杂的卷积神经网络,下图显示了其结构。网络输入的是单通道的二维图像,先经过两次卷积层到池化层,再经过全连接层,最后使用softmax分类作为输出层。

在训练时会出现一个问题:训练集的准确率很高,但是验证集的准确率上不去。这表明模型训练时过拟合了,导致验证集只能达到89%左右的识别率,而课程的要求是达到93%以上。
为了解决模型过拟合导致的模型准确率低的问题,我做了两件事:
使用imgaug库做数据增广
使用imgaug库能够通过很简单的代码完成图像的翻转、平移、旋转、缩放、仿射变换、加噪声、修改颜色通道等功能。以实现数据库的增广,达到丰富训练集的目的。下图是imgaug库对同一张图片实现的数据增广的效果。

对交通标志牌训练集添加随机噪声、修改对比度和横向翻转操作,完成了数据集增广。
在LeNet-5模型的全连接层后加入了Dropout函数
在LeNet-5网络中加入Dropout函数,能够让网络不会太依赖某些参数,因为这些参数随时可能被丢弃掉。在训练时,网络会被迫地学习一切的冗余表示,以确保至少将某些重要信息保存下来。当网络中的某个参数被丢弃时,还有其他参数能够完成相同的工作,这就是Dropout的功能。
在网络中加入Dropout函数的方式可以使得网络更加稳固,并能防止过拟合。
应用数据增广和Dropout函数后,重新训练即可使模型在测试集中的准确率超过93%,达到要求。