用大白话来说的话,就是为了“ 美, 为了 “好看” ”。

那到底“ 美 ”什么?“ 美 ”在哪?我们先从角度说起。
小学,初中时,我们只在三角形中出现了角,顶多加上平角、周角,显然此时的角只是一个很小的范围,但在实际使用中又用到很多不在这一范围中的角,因此我们有必要把角的概念加以扩充。这个扩充需要改变角的定义.
角的定义
初中(扩充前):从一点出发的两条射线所构成的图形.其中:两条射线叫做角的两个边,端点叫做角的顶点.
高中(扩充后):一条射线从一个位置绕着端点旋转到另一个位置所构成的图形。其中:起始位置称为角的始边,终止位置称为角的终边.端点仍然叫做角的顶点

角的正、负
我们规定:逆时针方向旋转而成的角为正角,顺时针方向旋转而成的角为负角,一条射线没有旋转而成的角为零角.
角的分类
为了讨论角的方便,我们把角放在直角坐标系内,即把角的顶点放在坐标原点,角的始边放在轴正方向上,由角的终边位置对角进行分类:象限角、轴上角.
角的表示
由于把角放入了直角坐标系内,所有角的始边都相同,不同的角只有通过角的终边加以判定。两个角相等则它们角的终边必然相同;反之不一定。

弧度制
(1)弧度制引入的原因
应该说,角的概念的扩充,完全可以研究函数了,但在研究函数的过程中,角度制有其不方便的地方:角度中,度、分、秒之间是60进制,计算不方便,更重要的是,三角函数的值是十进制,在实际应用中会有很多不便,尤其给数形结合带来麻烦,例如三角函数画图时,由于横轴(角度)与纵轴(三角函数的值)的单位不一致,图形会发生扭曲。而采用弧度制图形就会变得“ 优美 ”。
(2)弧度制的引入:
弧度制是一种新的度量角的制度,它必然与弧有关,而弧是在圆中出现的,初中在讲解圆时,规定弧的度数与其所对圆心角的度数相同,可见角是与弧有关系的.要规定一种新的度量制度,首先要规定单位量,对弧度制来说,首先要规定 1弧度 .

1弧度的角: 圆中弧长等于半径的弧所对的圆心角叫做1弧度的角 .
得到1弧度的角后,其余的角都可以用其来进行测量。一个平角的弧度数等于π,一个周角的弧度数等于2π。
弧度制的基本思想的雏形起源于印度,但严格的说弧度概念是由瑞士数学家欧拉( Leonhard Euler,1707年4月15日-1783年9月18日 )于1748年引入的。

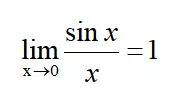
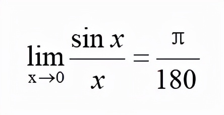
关于弧度一次“radian”的来源,有一种说法是这样的:由于弧度π等于半个周长与半径之比,所以数学家将半径“radius”的前四个字母与角“angle”的前两个字母合在一起,构成了“弧度”一词。弧度制在微积分的研究中显示了明显的优越性。例如这两个重要“优美”的结论


如果x取的是角度制的话,将变为这两个“丑陋”的公式。


总之呢,弧度制可以让我们感受到数学的“简洁美”。