南湖区2022年幼儿园招生工作实施意见
根据《幼儿园管理条例》《幼儿园工作规程》和嘉兴市教育局《关于做好2022年市本级幼儿园招生工作的通知》等有关规定,现就南湖区2022年幼儿园招生工作提出如下实施意见。
一、招生原则
(一)坚持普惠普及
统筹区域内各类学前教育资源,切实办好每一所幼儿园,确保符合条件的适龄幼儿都能按时入园。幼儿园要创造条件接收并为具有接受普通教育能力的学龄前残障适龄儿童提供融合教育,尽最大努力满足符合报名条件的新居民子女入园需求。
(二)全面公开公平
各幼儿园要认真实施“阳光招生”,根据生源及幼儿园资源情况,科学制定本园招生方案,及时向社会发布招生公告,公布招生计划、招生条件、服务范围等相关信息。
(三)切实规范招生
各幼儿园要认真执行市、区教育行政部门有关招生工作要求,实行线上预报名、现场验证确认、分批录取的方法,严格执行招生程序,实行免试入园,除进行体检外,严禁任何形式的考试或测试,坚决防止“小学化”倾向。
二、招生要求
(一)报名对象
小班幼儿年龄原则上满3周岁(2018年9月1日至2019年8月31日期间出生)。
(二)班额要求
各幼儿园要严格按照办园规模开设班级数,原则上核定平均班额为30人,小班可适当减少。由于教育资源紧张或有富余等特殊原因,需要突破核定班额或举办托班的,由所在街道(镇)签署意见后,报区教体局批准后方可实施。
(三)招生条件
第一批:
1.小区配套幼儿园优先招收本小区户籍的幼儿(监护人房户一致);部门(单位)举办的幼儿园优先招生本系统(单位)职工子女;
2.符合烈士子女、现役军人子女、公安英模和因公牺牲伤残警察子女、国家综合性消防救援队伍人员子女、台胞子女、华侨子女、援疆援藏援青干部子女、高层次引进人才子女等政策类适龄幼儿,按照国家及省、市、区有关政策安排入学(上述政策性对象的入园申请工作于5月31日前完成,相关材料按附表完成手续后上交到南湖区教育体育局903室)。逾期作自动放弃处理;
3.本街道(镇)户籍的幼儿(各幼儿园服务范围内)。
第二批:
1.第一批未录取的幼儿;
2.本街道(镇)外南湖区户籍的幼儿;
3.非南湖区户籍但监护人有南湖区(不含长水街道、城南街道)产权房的幼儿。
第三批:
有招生余额的幼儿园招收符合条件的新居民幼儿(外籍幼儿参照执行),必须同时具备以下条件:
1.法定监护人在南湖区取得有效《浙江省居住证》;
2.法定监护人在南湖区工作并缴纳社保一年及以上;
3.适龄幼儿具有正式户籍。
三、招生程序
(一)发布招生公告
各幼儿园于5月23日前通过多种形式向社会公布招生信息(包括:幼儿园名称、地址、性质、类别、等级、招生计划、招生条件、服务范围、预报名时间、保教费标准、咨询电话等)。各幼儿园招生工作方案于5月20日前报区教体局教育科备案。
(二)分批预报名
适龄幼儿家长在相应批次时间段内通过浙江政务服务网或“浙里办”手机APP,注册账号后,定位“嘉兴市南湖区”,搜索“幼儿园儿童入园一件事联办”选择在线办理进入平台进行预报名。(所有证件取得的截止时间为5月31日,购房合同、预购登记证等不作为预报名依据)
第一批
1.网上预报名:6月5日、6月6日。同一幼儿只能选择一所符合申请条件的幼儿园进行网上预报名,逾期系统关闭。
2.现场验证确认:6月11日(周六)。网上预报名未成功的幼儿家长携带相关证件到预报名的幼儿园进行资格审核和现场确认,并完成网上报名。对预报名成功的幼儿原则上不再进行现场确认。现场及网上预报名所提供的材料必须真实有效,对提供虚假材料的取消入园资格,并移送有关部门处理。逾期未到现场确认的,视作自动放弃。
第二批
6月14日12:00至6月15日12:00。符合第二批条件的幼儿家长可根据网上或各幼儿园公示的“南湖区幼儿园空余学位信息”选择一所幼儿园进行预报名,录取情况视空余学位而定。若未能在网上成功预报名的幼儿,由其家长携带相关证件到所报幼儿园进行预报名并审核相关材料。
第三批
6月17日12:00至6月18日12:00。符合条件的新居民幼儿家长选择一所有空余学位的幼儿园进行预报名。若未能在网上成功预报名的幼儿,由其家长携带相关证件到所报幼儿园进行预报名并审核相关材料。
(三)分批次录取
各幼儿园新生分批次进行录取。
第一批(6月14日上午完成)。 报名登记人数未超出幼儿园计划招生数的,全部录取;报名登记人数超出幼儿园计划招生数的,则按各幼儿园公告中的“录取顺序”录取。(房户一致优先安排,同等条件下按照适龄幼儿户籍迁入时间先后顺序录取。)
第二批(6月17日上午完成)。 录取顺序:1.房户均在本街道(镇)的幼儿;2.户籍在本街道(镇),房子在南湖区的幼儿;3.房户均在南湖区的幼儿;4.户籍在南湖区的幼儿;5.非南湖区户籍但其法定监护人在本区有产权房的幼儿。第1类至第4类房户一致优先安排,同等条件下按照适龄幼儿户籍迁入时间先后顺序录取。第5类同等条件下按照房屋产权证取得先后顺序录取。
第三批(6月19日完成)。 按幼儿的法定监护人居住证及社保年限长短确定录取顺序。
(四)办理入园手续
各幼儿园公布录取名单,幼儿入园前须到市或区妇幼保健院体检,体检合格者方能入园。
四、工作要求
(一)加强组织管理
各镇(街道)应统筹协调区域内幼儿园招生工作,积极配合做好招生宣传工作;各幼儿园园长为招生工作第一责任人,建立招生工作制度、工作小组和监督小组,科学拟定招生方案,严格执行文件、规范招生。
(二)加强工作落实
各部门、各单位按职责落实工作,科学配置资源,积极主动公开信息,热情接待来信来访,耐心解释相关招生政策,妥善处理好招生工作中出现的问题,维护招生秩序和社会稳定,确保幼儿园招生工作顺利进行。
(三)加强疫情防控措施
建立健全疫情防控预案,落实最多跑一次改革要求,畅通报名渠道方便家长咨询及报名。现场验证确认环节,要采用错时错峰等方式避免出现聚集性排队、长时间等候等现象,明确不得将报名先后次序作为录取依据。
(四)加强监督力度
区教体局将成立幼儿园招生工作督查组,将规范招生作为幼儿园年审、等级评估、财政专项经费补助和区目标责任考核的重要依据之一。对严重违反招生政策,造成不良影响的,将追究责任人的责任。
附件:
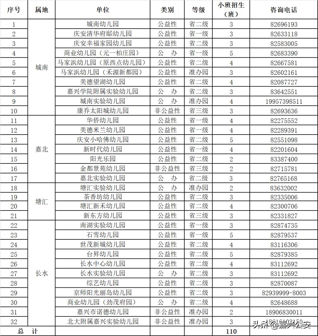
1. 2022年秋季南湖区幼儿园招生计划
2. 嘉兴市军人子女享受教育优待审批表(幼儿园)
3. 嘉兴市人才子女入园申请表
4. 嘉兴市其他政策性照顾人员子女享受教育优待审批表(幼儿园)
5. 南湖区幼儿园儿童入园线上报名入口
获取附件请扫描下方二维码:


秀洲区2022年幼儿园招生工作实施意见
根据《幼儿园管理条例》《幼儿园工作规程》《关于做好2022年市本级幼儿园招生工作的指导意见》《嘉兴市教育局关于实施学前教育招生服务区制度的指导意见(试行)》(嘉教基〔2022〕41号)等有关规定,为确保今年幼儿园招生工作公开、公平、有序,现就秀洲区2022年幼儿园招生工作提出如下实施意见。
(一)坚持普惠普及。
(二)全面公开公平。
(三)切实规范招生。
(一)报名对象
小班幼儿年龄满3周岁( 2018年9月1日至2019年8月31日期间出生 )。
(二)班额要求
各幼儿园要严格按照办园规模设定的招生计划班级数招生(见附件1)。严格控制幼儿园班额,确保幼儿园平均班额不超过30人,小班可适当减少。
(三)托班要求
在优先满足区域内适龄幼儿入园需求的基础上,根据办园核定规模仍有富余学位的幼儿园需要举办托班的,由所在镇(街道)签署意见后,于 5月31日前 报区教体局,经批准后方可实施。
(四)时间要求
各镇(街道)学前办招生方案、各幼儿园招生公告于5月20日前上交区教体局审核备案。5月23日前各镇(街道)学前办、各幼儿园完成招生方案和招生公告的公开发布。
(五)其他要求
(1)相关证件截止日期。户籍、不动产证等相关证件取得的截止日期为 5月31日 ,其中购房合同、预购登记证等不作为预报名依据。
(2)政策类适龄儿童优先录取。符合烈士子女、现役军人子女、公安英模和因公牺牲伤残警察子女、国家综合性消防救援队伍人员子女、台胞子女、华侨子女、援疆援藏援青干部子女、高层次引进人才子女等政策类适龄幼儿,按照国家及省、市有关政策安排入园。
各类政策类适龄幼儿的入园申请截至 5月31日 (见附件4-6),材料受理地点:秀洲区教育体育局教育科311室,逾期作自动放弃。
(一)发布招生办法
各镇(街道)学前办、各幼儿园要通过媒体网站等多种形式向社会公开本区域幼儿园招生工作方案和招生公告等基本情况。幼儿园基本情况应包括名称、地址、性质、等级、招生计划、招生范围、预报名时间、保教费标准、报名咨询电话等信息。
(二)分批次预报名及录取
适龄幼儿家长在相应批次时间段内通过 浙江政务服务网或“浙里办”手机APP ,注册账号后,定位 “嘉兴市秀洲区” ,搜索 “幼儿园儿童入园一件事联办” (见附件3)选择在线办理进入平台进行预报名。
第一批预报名、现场确认及录取
6月5日至6月6日 ,幼儿园招生服务区范围内的户籍生家长选择一所符合申请条件的幼儿园进行网上预报名。
6月11日 ,网上预报名未成功的或有疑问的预报名幼儿,由家长携带户口簿、房产证等相关佐证材料到所报名幼儿园进行资格审核,并完成网上报名(具体时间详见各幼儿园公告)。所有材料须真实有效,如有伪造证件,责任自负。各幼儿园应帮助符合条件但因各种原因未能正常网上预报名的幼儿监护人完成网上预报名并审核相关材料。
第一批录取对象及顺序为:
(1)政策类适龄幼儿;
(2)小区配套幼儿园房户一致的适龄幼儿;
(3)各幼儿园招生服务区范围内(附件2)房户一致的适龄幼儿。
6月14日上午 完成第一批网上录取。报名登记人数未超出幼儿园计划招生数的,全部录取;报名登记人数超出幼儿园计划招生数的,各幼儿园根据实际情况,科学、合理拟定按照落户先后顺序、电脑随机派位等方式录取。如采用电脑派位方式,时间统一为 6月13日下午 进行。
第二批预报名及录取
6月14日12:00至6月15日12:00 ,符合第二批条件的幼儿家长可根据报名系统公示的“秀洲区幼儿园空余学位信息”选择一所幼儿园重新进行报名。若未能在网上成功预报名的幼儿,由其家长携带相关证件到所报幼儿园进行预报名并审核相关材料。 6月17日上午 完成网上录取。
第二批录取对象及顺序为:
(1)本镇(街道)第一批未录取的房户一致的适龄幼儿;
(2)秀洲区(不含塘汇、嘉北,下同)户籍的但有本镇(街道)产权房且实际居住的适龄幼儿;
(3)秀洲区户籍的适龄幼儿;
(4)非秀洲区户籍但监护人有秀洲区产权房且实际居住的适龄幼儿。
同等条件下按照适龄幼儿户籍迁入时间先后顺序或房屋产权证取得先后顺序录取。
第三批预报名及录取
6月17日12:00至6月18日12:00 ,符合条件的适龄幼儿家长登陆报名系统查看各幼儿园空余学位信息,选择一所有空余学位的幼儿园进行预报名。若未能在网上成功预报名的适龄幼儿,由其家长携带相关证件到所报幼儿园进行预报名并审核相关材料。 6月19日 完成网上录取。
第三批录取对象必须同时具备以下条件:
(1)法定监护人在秀洲区取得有效《浙江省居住证》或者在秀洲区取得6个月以上流动人口登记证;
(2)法定监护人在秀洲区缴纳社保的幼儿。
同等条件下按照适龄幼儿法定监护人居住证取得的先后顺序及社保缴纳年限长短确定录取顺序。
(三)办理报名手续
各幼儿园在规定时间内公布录取名单,家长在规定时间内办理报名手续,幼儿园建立幼儿学籍档案。
报名具体时间、方式及详细要求见各镇(街道)学前办招生方案和各幼儿园招生办法。
附件:
1.2022年秀洲区幼儿园招生计划表
2.2022年秀洲区幼儿园“招生服务区”范围
3.秀洲区幼儿园儿童入园线上报名入口
4.嘉兴市军人子女享受教育优待审批表(幼儿园)
5.嘉兴市人才子女入园申请表(幼儿园)
6.嘉兴市其它政策性照顾人员子女享受教育优待审批表(幼儿园)

扫描上方二维码
获取附件
嘉兴市秀洲区教育体育局
2022年5月18日
根据《幼儿园管理条例》《幼儿园工作规程》《关于做好2022年市本级幼儿园招生工作的指导意见》《嘉兴市教育局关于实施学前教育招生服务区制度的指导意见(试行)》(嘉教基〔2022〕41号)等有关规定,为确保今年幼儿园招生工作公开、公平、有序,现就秀洲区2022年幼儿园招生工作提出如下实施意见。
一、基本原则
(一)坚持普惠普及。
(二)全面公开公平。
(三)切实规范招生。
二、招生要求
(一)报名对象
小班幼儿年龄满3周岁( 2018年9月1日至2019年8月31日期间出生 )。
(二)班额要求
各幼儿园要严格按照办园规模设定的招生计划班级数招生(见附件1)。严格控制幼儿园班额,确保幼儿园平均班额不超过30人,小班可适当减少。
(三)托班要求
在优先满足区域内适龄幼儿入园需求的基础上,根据办园核定规模仍有富余学位的幼儿园需要举办托班的,由所在镇(街道)签署意见后,于 5月31日前 报区教体局,经批准后方可实施。
(四)时间要求
各镇(街道)学前办招生方案、各幼儿园招生公告于5月20日前上交区教体局审核备案。5月23日前各镇(街道)学前办、各幼儿园完成招生方案和招生公告的公开发布。
(五)其他要求
(1)相关证件截止日期。户籍、不动产证等相关证件取得的截止日期为 5月31日 ,其中购房合同、预购登记证等不作为预报名依据。
(2)政策类适龄儿童优先录取。符合烈士子女、现役军人子女、公安英模和因公牺牲伤残警察子女、国家综合性消防救援队伍人员子女、台胞子女、华侨子女、援疆援藏援青干部子女、高层次引进人才子女等政策类适龄幼儿,按照国家及省、市有关政策安排入园。
各类政策类适龄幼儿的入园申请截至 5月31日 (见附件4-6),材料受理地点:秀洲区教育体育局教育科311室,逾期作自动放弃。
三、招生程序
(一)发布招生办法
各镇(街道)学前办、各幼儿园要通过媒体网站等多种形式向社会公开本区域幼儿园招生工作方案和招生公告等基本情况。幼儿园基本情况应包括名称、地址、性质、等级、招生计划、招生范围、预报名时间、保教费标准、报名咨询电话等信息。
(二)分批次预报名及录取
适龄幼儿家长在相应批次时间段内通过 浙江政务服务网或“浙里办”手机APP ,注册账号后,定位 “嘉兴市秀洲区” ,搜索 “幼儿园儿童入园一件事联办” (见附件3)选择在线办理进入平台进行预报名。
第一批预报名、现场确认及录取
6月5日至6月6日 ,幼儿园招生服务区范围内的户籍生家长选择一所符合申请条件的幼儿园进行网上预报名。
6月11日 ,网上预报名未成功的或有疑问的预报名幼儿,由家长携带户口簿、房产证等相关佐证材料到所报名幼儿园进行资格审核,并完成网上报名(具体时间详见各幼儿园公告)。所有材料须真实有效,如有伪造证件,责任自负。各幼儿园应帮助符合条件但因各种原因未能正常网上预报名的幼儿监护人完成网上预报名并审核相关材料。
第一批录取对象及顺序为:
(1)政策类适龄幼儿;
(2)小区配套幼儿园房户一致的适龄幼儿;
(3)各幼儿园招生服务区范围内(附件2)房户一致的适龄幼儿。
6月14日上午 完成第一批网上录取。报名登记人数未超出幼儿园计划招生数的,全部录取;报名登记人数超出幼儿园计划招生数的,各幼儿园根据实际情况,科学、合理拟定按照落户先后顺序、电脑随机派位等方式录取。如采用电脑派位方式,时间统一为 6月13日下午 进行。
第二批预报名及录取
6月14日12:00至6月15日12:00 ,符合第二批条件的幼儿家长可根据报名系统公示的“秀洲区幼儿园空余学位信息”选择一所幼儿园重新进行报名。若未能在网上成功预报名的幼儿,由其家长携带相关证件到所报幼儿园进行预报名并审核相关材料。 6月17日上午 完成网上录取。
第二批录取对象及顺序为:
(1)本镇(街道)第一批未录取的房户一致的适龄幼儿;
(2)秀洲区(不含塘汇、嘉北,下同)户籍的但有本镇(街道)产权房且实际居住的适龄幼儿;
(3)秀洲区户籍的适龄幼儿;
(4)非秀洲区户籍但监护人有秀洲区产权房且实际居住的适龄幼儿。
同等条件下按照适龄幼儿户籍迁入时间先后顺序或房屋产权证取得先后顺序录取。
第三批预报名及录取
6月17日12:00至6月18日12:00 ,符合条件的适龄幼儿家长登陆报名系统查看各幼儿园空余学位信息,选择一所有空余学位的幼儿园进行预报名。若未能在网上成功预报名的适龄幼儿,由其家长携带相关证件到所报幼儿园进行预报名并审核相关材料。 6月19日 完成网上录取。
第三批录取对象必须同时具备以下条件:
(1)法定监护人在秀洲区取得有效《浙江省居住证》或者在秀洲区取得6个月以上流动人口登记证;
(2)法定监护人在秀洲区缴纳社保的幼儿。
同等条件下按照适龄幼儿法定监护人居住证取得的先后顺序及社保缴纳年限长短确定录取顺序。
(三)办理报名手续
各幼儿园在规定时间内公布录取名单,家长在规定时间内办理报名手续,幼儿园建立幼儿学籍档案。
报名具体时间、方式及详细要求见各镇(街道)学前办招生方案和各幼儿园招生办法。
附件:
1.2022年秀洲区幼儿园招生计划表
2.2022年秀洲区幼儿园“招生服务区”范围
3.秀洲区幼儿园儿童入园线上报名入口
4.嘉兴市军人子女享受教育优待审批表(幼儿园)
5.嘉兴市人才子女入园申请表(幼儿园)
6.嘉兴市其它政策性照顾人员子女享受教育优待审批表(幼儿园)

扫描上方二维码
获取附件
嘉兴市秀洲区教育体育局
2022年5月18日
经开区2022年幼儿园招生工作实施意见
根据《幼儿园管理条例》、《幼儿园工作规程》和《关于做好2022年市本级幼儿园招生工作的通知》等有关规定,按照学前教育公益普惠性的要求,积极完善学前教育招生和公共服务体系,努力提高学前教育普惠优质水平,确保今年幼儿园招生工作公开、公平、有序,现就经开区2022年幼儿园招生工作提出如下实施意见。
一、基本原则
(一)坚持普惠普及。 统筹区域内各类学前教育资源,切实办好每一所幼儿园,确保符合条件的适龄幼儿都能按时入园。有条件的幼儿园要接收并为具有接受普通教育能力的学龄前残障适龄儿童提供融合教育。同时,尽最大努力满足符合报名条件的外来人口子女入园需求。
(二)全面公开公平。 各幼儿园要认真实施“阳光招生”,根据生源及幼儿园资源情况,科学制定本区域招生方案及计划,及时向社会公布有关信息。
(三)切实规范招生。 各幼儿园要认真执行市、区教育行政部门有关招生工作要求,实行线上预报名、现场验证确认、分批录取的方法,严格招生程序,实行免试入园,除进行体检外,严禁任何形式的考试或测试,坚决防止“小学化”倾向。
二、招生要求
(一)报名对象: 小班入园幼儿年龄原则上满3周岁,2018年9月1日至2019年8月31日期间出生。
(二)班额要求: 各幼儿园要严格按照办园规模开设班级数,原则上核定平均班额为30人,小班可适当减少。由于教育资源紧张或有富余等特殊原因,需要突破核定班额或举办托班的,由所在街道签署意见后,报区教文体局批准后方可实施。
三、招生条件
第一批:
1. 小区配套幼儿园优先招收本小区户籍的幼儿(监护人房户一致);部门(单位)举办的幼儿园优先招生本系统(单位)职工子女;
2. 符合烈士子女、现役军人子女、公安英模和因公牺牲伤残警察子女、国家综合性消防救援队伍人员子女、台胞子女、华侨子女、援疆援藏援青干部子女、高层次引进人才子女等政策类适龄幼儿,按照国家及省、市有关政策安排入学。(各类政策类适龄幼儿的入园申请截止到5月31日,材料受理地点:嘉兴市展望路1号经投大厦A幢708室,受理时间:周一至周五上午8:30-11:30、下午2:00-5:30,逾期作自动放弃。);
3. 本街道内户籍的幼儿。
第二批:
1. 第一批未录取的幼儿;
2. 本街道外经开区户籍的幼儿;
3. 非经开区户籍但监护人有经开区产权房的幼儿;
第三批:
有招生余额的幼儿园招收符合条件的新居民幼儿(外籍幼儿参照执行),必须同时具备以下条件:
(1)法定监护人在经开区取得有效《浙江省居住证》;
(2)法定监护人在经开区工作并缴纳社保一年及以上;
(3)适龄幼儿具有正式户籍。
四、招生程序
(一)发布招生公告。 各幼儿园5月23日前通过多种形式向社会公布招生信息(包括:幼儿园名称、地址、性质、类别、等级、招生计划、预报名时间、保教费标准、报名咨询电话等)。各幼儿园招生工作方案5月20日前报区教文体局备案。
(二)分批预报名。 适龄幼儿家长在相应批次时间段内通过浙江政务服务网或“浙里办”手机APP,注册账号后,定位“嘉兴经济技术开发区(国际商务区)”,搜索“幼儿园儿童入园一件事联办”选择在线办理进入平台进行预报名。所有证件取得的截止时间为5月31日,购房合同、预购登记证等不作为预报名依据。
第一批:
1. 网上预报名:6月5日至6月6日。 同一幼儿只能选择一所符合申请条件的幼儿园进行网上预报名,逾期系统关闭。
2. 现场验证确认:6月11日(周六)。 网上预报名未成功的幼儿家长携带户口簿、房产证等相关佐证材料到所报名幼儿园进行现场查验(具体时间详见各幼儿园公告)。所有材料须真实有效,对提供虚假材料的取消入园资格,并移送有关部门处理。各幼儿园应帮助因各种原因未能网上预报名的幼儿监护人完成网上预报名并审核相关材料。逾期未到现场确认的,视作自动放弃入园。
第二批:
6月14日12:00至6月15日12:00。 符合第二批条件的幼儿家长可根据网上或各幼儿园公示的“经开区幼儿园空余学位信息”选择一所幼儿园进行预报名,录取情况视空余学位而定。若未能在网上成功预报名的幼儿,由其家长携带相关证件到所报幼儿园进行预报名并审核相关材料。
第三批
6月17日12:00至6月18日12:00。 符合条件的新居民幼儿家长选择一所有空余学位的幼儿园进行预报名。若未能在网上成功预报名的幼儿,由其家长携带相关证件到所报幼儿园进行预报名并审核相关材料。
(三)分批次录取。 各幼儿园新生分批次进行录取。
第一批(6月14日上午完成)。 报名登记人数未超出幼儿园计划招生数的,全部录取;报名登记人数超出幼儿园计划招生数的,则按各幼儿园公告中的“录取顺序”录取。
第二批(6月17日上午完成)。 录取顺序:1.房户均在本街道的幼儿;2.户籍在本街道,且法定监护人在经开区有产权房的幼儿;3.房户均在经开区的幼儿;4.户籍在经开区的幼儿;5.非经开区户籍但其法定监护人在本区有产权房的幼儿。第1类至第4类同等条件下按照适龄幼儿户籍迁入时间先后顺序录取。第5类同等条件下按照房屋产权证取得先后顺序录取。
第三批(6月19日完成)。 按幼儿法定监护人的《浙江省居住证》取得时间先后顺序及社保年限长短确定录取顺序。
(四)办理入园手续。 各幼儿园公布录取名单,幼儿入园前须到市妇幼保健院体检,体检合格者方能入园。
五、工作要求
(一)加强组织管理。 各街道应统筹协调区域内幼儿园招生工作,积极配合做好招生宣传工作;各幼儿园园长为招生工作第一责任人,建立招生工作制度和工作小组,科学拟定招生方案,严格执行文件、规范招生。
(二)加强工作落实。 各部门、各单位按职责落实工作,科学配置资源,积极主动公开信息,热情接待来信来访,耐心解释相关招生政策,妥善处理好招生工作中出现的问题,维护招生秩序和社会稳定,确保幼儿园招生工作的顺利进行。
(三)切实保障特殊适龄幼儿入园。 积极实施融合教育,各普通幼儿园应依法招收适龄轻度残疾幼儿入园随班就读,不得歧视或拒收,努力提高适龄特殊幼儿入园比例。不适合到普通幼儿园就读的幼儿根据需求统筹安排到特殊教育机构接受学前教育。按规定认真落实家庭经济困难儿童费用减免工作。
(四)加强疫情防控措施。 建立健全疫情防控预案,落实最多跑一次改革要求,畅通报名渠道方便家长咨询及报名。如有现场确认环节,要采用错时错峰等方式避免出现聚集性排队、长时间等候等现象,明确不得将报名先后次序作为录取依据。
(五)加强监督力度。 区教文体局将成立幼儿园招生工作督查组,将规范招生作为幼儿园年审、等级评估、示范幼儿园创建、财政专项经费补助的重要依据之一。如电脑派位的幼儿园应建立由社区代表、家长代表参与的招生监督小组。对严重违反招生政策,造成不良影响的,将追究责任人的责任。
六、其 他
(一)本实施意见解释权归经开区教文体局。
(二)本实施意见自发文之日起施行。
2022年经开区各街道
户籍适龄幼儿人数

注:此表中户籍适龄幼儿人数统计时间为2022年5月,具体各街道户籍幼儿数以招生报名时为准。
2022年秋季经开区幼儿园
招生计划

▲点击查看大图
经开区幼儿园儿童
入园线上报名入口
1.浙江政务服务网“经开区幼儿园儿童入园”直达网址(电脑端):
http://www.zjzwfw.gov.cn/zjservice/item/detail/index.do?localInnerCode=5efae749-32b8-40be-94ca-436176526edc
2.“浙里办”APP入口(手机端):

注:扫描上图二维码*载下**“浙里办”APP,并注册帐号后,定位“嘉兴经济技术开发区(国际商务区)”,搜索“幼儿园儿童入园一件事联办”选择在线办理进入平台进行报名。
如已有“浙里办”APP,可扫描下面二维码直达“幼儿园儿童入园一件事联办”。


附件:
嘉兴市军人子女享受教育优待审批表(幼儿园)
嘉兴市人才子女入园申请表(幼儿园)
嘉兴市其他政策性照顾人员子女享受教育优待审批表(幼儿园)
请需要*载下**各类申请表的家长
点击“链接”自行*载下**附件
(https://share.weiyun.com/rqUmlQ3k)
来源:南湖教育体育发布、看秀洲、嘉兴经开教文体