特征阻抗是对于交流信号(或者说高频信号)来说的.特征阻抗属于长线传输中的一个概念,信号在传输线中传输的过程中,在信号到达的一个点,传输线和参考平面之间会形成电场,由于电场的存在,会产生一个瞬间的小电流,这个小电流在传输线中的每一点都存在。同时信号也存在一定的电压,这样在信号传输过程中,传输线的每一点就会等效成一个电阻,这个电阻就是我们提到的传输线的特征阻抗。
什么是特性阻抗

特性阻抗(ρ)的连续性基本上就取决于分布参数 L0、C0 比值的稳定性,我们都知道欧姆定律:U=RI,其中的 R 就是电阻或者叫电阻负载,单位为欧姆(Ω)。电阻与金属材料的电阻率 (又称导电系数)有关,但在高频信号的传输过程中,我们还需要了解传输高频信号的物理介质(比如双绞线、同轴线、波导)的传输特性,它不同于低频信号,这种传输特性与传输介质的导电材料(例如铜或银) 、导电系数(电阻率)、几何形状(最常见为圆柱形)、分布电感(L0)、分布电容(C0)、绝缘材料(的介电常数)等都有关系,而低频信号传输时则往往不考虑这些分布参数和绝缘材料介电常数的影响。

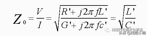
所有的电子线路图中都用 L 代表电感,C 代表电容器(通常是方形、原片形或圆柱形的元件)。但从微观上看,双绞线其实就是两根彼此靠近的圆柱形铜导体,截取一段双绞线来深入观察和研究,你会发现它就是彼此靠近的一对圆柱形铜导体而已。问:圆柱形 铜导体 是不是自身就存在电感和电容呢?答案是:存在。一米双绞线的每根圆柱形铜芯虽然外形上不是电感器,但本身也存在微量的“体电感”;两根相互靠近的一米铜导体虽然外形上不是电容器,但两者之间确实存在着微量的电荷感应(感应系数即为“体电容”)。这些“外形特征”不像,但“身体”中包含着的微量电感、电容我们就叫做分布参数(分布电感 L0、分布电容 C0),特性阻抗(ρ)的连续性或者说稳定性其实基本上取决于分布参数 L0、C0 比值的稳定性

以上图中的一对“绿色”线对为例,为了分析方便,我们可以把它们等效为图中左下角的电路。电路中的 L0 就是体电感(分布电感),C0 就是分布电容,R0 就是这段铜导体的电阻。用来衡量这些分布参数对信号传输有何影响时,我们会得出一个算式比较复杂的相关性的等效参数,由于这个参数等效计算的结果正好是以欧姆(Ω)为单位,所以中文把这个参数译做“特性阻抗”,有时简称阻抗(即上图中右上角的计算公式 ρ=……)。这个特性阻抗参数和欧姆定律中常引用的纯电阻完全是两个概念,虽然它们计量单位都是欧姆,但此“欧姆”非彼“欧姆”—特性阻抗是薇电阻 R0 暨“分布参数”彼此“感应作用”的一个等效值,它被用来简要地衡量和描述导体介质的传输特性,且不随“均匀”传输线的长度改变而发生变化(虽然有时根据计算的会需要假设信号传输线的长度为无限),而电阻是与传输线的长度密切相关的一个参数,传输线越长,电阻值通常也越大。特性阻抗表达式虽然复杂,但随着工作频率的提高(一般大于 1~2MHz 以后),其值会趋于稳定不变。近似地,此稳定值只与(L0/C0)比值平方根值和绝缘材料的介电常数有关(参见上图右上角关于双绞线特性阻抗的计算公式 ρ=……,其中,d 为铜缆芯线的直径,D 为两根芯线的中心间距,Ɛ为绝缘塑料的介电常数)。所以,材料不变的情况下,只要传输线保持结构均匀(即 d 和 D 保持均匀不变),其分布参数 L0、C0 就会保持不变,其比值 L0/C0 也会保持不变。那么链路每“一点”的特性阻抗也会保持不便(即保持阻抗的连续性)。所以总结下来就是,特性阻抗是由d, D,Σr 所决定b. 特性阻抗和长度无关,如果测试的频率大于1MHz,特性阻抗与频率几乎无关.c. 仅减小d, 特性阻抗增加d. 仅减小D, 特性阻抗减小e. 仅减小Σr ,特性阻抗增加.d=中心导体的直径(m) D=外部导体或覆被的内径(m)Σr =绝缘材质的介电系数。

特性阻抗对线缆小白来说可能不好理解,为了方便大家理解,我们举一个类比的例子来加以说明。一条道路,如果非常平整,则我们就说它的平整度(特性阻抗)很高(亦即阻抗连续性好)。如果出现坑洼不平,我们就说他的平整度差(阻抗不连续)。如果前面路断了(断头路),则车辆行人只能掉头回来(断头相当于电缆开路,阻抗突变为无穷大)。如果路面坑洼颠簸得很厉害,则底盘低的轿车就会放弃前行掉头返回(阻抗突变导致信号产生回波)。由此可以帮助理解:阻抗越连续(平顺),则信号回波越少。反之,回波越大,则阻抗越不连续(路面不平整顺)。所以,通过测量回波,我们就可以了解路面的质量(电缆的阻抗连续性)。
目前我们双绞线常见的特性阻抗规格是 100Ω ,一般要求安装好的链路阻抗的波动值(即路面的不平整度)不要超过±10%,相对于特性阻抗 100Ω 规格数据电缆而言,也就是 90Ω~110Ω 是可以接受的。不过,由于链路的每一点其阻抗值在不同频率和位置都可能是不同的,这为阻抗的精确和方便地测试造成了一定困难,但由于阻抗不连续与“回波”是正相关的,而回波对信号的破坏作用是显而易见的,所以从 90 年代后期开始,主流标准都不再要求测试阻抗,而是专们测试与阻抗连续性密切正相关的回波损耗(RL, Return Loss)。
双绞线是一种传输线。理论上,“均匀传输线”上沿长度方向上每一点的分布参数的感应等效值(即特性阻抗 ρ)是不变的,这就前面提到的“阻抗连续性”。例如,一段 100 米的“均匀双绞线”,其 30 米处的特性阻抗值和 50 米处的特性阻抗值理论上应该是一样的(都是标准的 100Ω,即分布电感和分布电容、微电阻、绝缘材料等是保持均匀、一致且对称的)。而真实条件下的双绞线都不是真正的均匀双绞线,传输线上每点的特性阻抗值会因为制造误差、安装变形等原因可能都是不一样的,存在着一定的波动(例如存在 10%的波动)。这种阻抗不连续的现象是由于传输线的加工过程无法做到完全保持线对的连续、均匀一致且与周围金属导体保持结构均匀对称而造成的。如果生产过程中铜线的直径和铜线外绝缘层的厚度随机地发生微小的变化,那么电磁感应的分布参数值 L0(体电感)和 C0(体电容)就会发生微小变化,L0/C0 也会变化,最终经等效公式计算出来的特性阻抗值就会发生变化。例如,30 米处特性阻抗为 103Ω,而 32 米处有可能为 98Ω。类似地,同轴线也存在同样的情况,同轴线中的内导线直径会沿着长度方向发生微小变化,外导体(圈)的直径和内外导体之间的绝缘层的厚度也会发生微小变化,这样其特性阻抗值也会发生微小变化,所以电磁感应值的分布沿长度方向是不连续的,也就是说沿长度方向的特性阻抗值是不连续的。更常见的是在连接器的地方,例如插座:这里的导体形状、尺寸、介质材料等都会发生显著变化,而且是人为设计的显著变化,也是阻抗不连续需要关注的重点产品和部位。

分布参数只有在传输高频信号时才产生明显影响(长线理论),而在低频信号传输时分布参数的微小变化对信号传输的影响是很微弱的(可完全忽略)。例如,用特性阻抗为 75Ω 的同轴线传输 4 千赫兹频率的低频语音信号(电话),那么即便是阻抗发生大幅度突变,同轴线对这种信号的传输基本上没有影响(相当于短线),但如果这根同轴线中传输的是 200MHz 的有线电视信号,则很可能因阻抗不连续(例如跳线使用了特性阻抗为 50Ω 的同轴电缆,在连接插座的地方就有 75Ω-50Ω = 25Ω 的特性阻抗突变),从而导致电视信号的来回多次在不同阻抗的电缆中反射,屏幕上的图像就可能出现严重的重影。
阻抗突变是阻抗不连续的一种典型表现,一般发生在传输链路上发生几何尺寸明显变化的地方(典型的就是在连接器插头段、插座等部位),也发生在导体材料突变和绝缘介质突变的地方(当然,也可能出现在电缆受外力损伤的地方)。用网线举例说明,例如,双绞线和水晶头之间的连接点就是一个阻抗突变点 — 因为双绞线的材质、结构和几何尺寸与水晶头内金属片的材质、结构和几何尺寸、绝缘材料等均不同,两者(可经计算得到)的等效阻抗也可能不一样 —这就会造成阻抗不连续。再如,双绞线与模块(插座)的内部金属结构、几何尺寸都不相同,等效阻抗也不一样,两者相连接时就会在打线的接触点上出现阻抗突变的现象。同样地,水晶头与模块的接触点也是典型的阻抗不连续点。
计算机网络曾经使用的同轴电缆(特性阻抗为 50 欧姆)和有线电视使用的同轴电缆(75 欧姆)特性阻抗不同,两者前后“误接”到一起时也会发生阻抗突变,突变点就在连接点处。沿着线对向前传输的信号在阻抗突变点会发生反射,突变越大反射的能量越强,突变越大,反射越强。那么这些回波有什么危害吗?除了前面提到的同轴电缆阻抗突变会令电视出现重影外,在数据电缆中,因为千兆以太网信号端口上的每个线对被设计成既是发射端口又是接收端口(也就是说信号的发射端口上同时又“并联”了一个接收信号输入端口)。这样一来反射回来的信号会回到信号的这个接收端,此回波信号与对端传来的正常信号会在此被叠加在一起而被一同接收,致使信号变形、失真,导致识别出错,丢包率上升。回波也是导致信噪比劣化的又一个重要因素(回波在此也相当于一个干扰噪声)。
如果传输线的末端开路,此时可以认为开路点阻抗值变成无穷大,“相对”突变值也是无穷大(从 100Ωà+∞Ω,∞是无穷大的意思),由于突变的“尺度”太大,则信号传输到末端时会几乎全部反射回来。总线在末端一般都有一个“堵头”,就是用纯电阻连接在开路端,全部吸收总线上的电磁波能量,使它们不会反射回总线中去破坏正常的数据帧波形。
如果传输线的末端短路,此时可以认为此短路点的阻抗值为“零”(100Ωà0Ω),“相对”的阻抗突变值也是“尺度”极大,则信号能量传输到短路点时也会被几乎全部反射回来。由此可知,开路和短路是阻抗突变的两个极端情形,反射回来的信号能量在此时此处都是最大的。我们就是利用这点特性来测量电缆的长度和定位开路/短路位置。那么,开路和短路点谁反射能量更大呢?由于两者都是阻抗极限突变,反射能量都几乎接近与 100%。
对于特性阻抗为 75 欧姆的同轴线(家用模拟信号电视用的就是这种线),如果在传输线的开路末端(即暂时不接电视机的那个插座上)接上一个 75 欧姆的纯电阻,则模拟有线电视信号传输到此末端时会被这个纯电阻全部吸收,末端就没有信号能量会被反射回来,家里其它电视机就不会有重影出现(注:纯数字电视不存在发射信号重影的影响)。类似地,对于 100 欧姆 UTP 电缆(非屏蔽双绞线),如果在对端的每对线对上各接上一个 100 欧姆纯电阻后,信号能量在对端也会被全部吸收,不会有信号能量反射回来。这种在传输线末端接上纯电阻的方法是消除信号末端开路反射(回波)的一个重要技术,我们习惯上也把它称作“终端阻抗匹配”、终端匹配电阻或简称“匹配终端”。匹配电阻的阻值必须与传输线的特性阻抗值相等,这样才能将信号能量全部吸收而不反射回去。匹配电阻通常都设计制作在网卡端口内的电路板上。类似地,在 120Ω总线的两端也要各接上一个 120Ω的外接纯电阻,可防止信号在总线内来回反射(叠加),避免干扰、破坏正常的总线数据帧的传输

其实,阻抗匹配的概念并不止于此,如果将两段均匀的同轴电缆连接起来,在连接点处如果“加工”工艺视屏高,金属衔接平顺,没有出现微观结构意义上的阻抗突变现象,则我们也把这两段同轴线的连接也称作匹配。推而广之,凡是阻抗连续的连接点我们都说它们是“匹配”的。按照这个思路,我们就知道通常在双绞线和模块的连接点处,阻抗是很可能有“失配”现象存在的,一条布线链路中的接插件和连接件所在的位置经常也是阻抗不连续的位置(或者说是阻抗失配的位置)。不连续的原因主要是传输线的几何结构或材质(包含绝缘介质的材质)发生了突变。凡是阻抗不连续点,也“一定是”一个信号能量的反射点(回波源)。
对于产品设计和生产商来说,就是要制作出连接点阻抗尽量平顺连续的产品 —模块、跳线、各种工业连接器、各种异型非标接插件等等。