
文|不似少溓游
编辑|不似少溓游
前言
半导体和薄膜材料的态密度是研究电子能带结构和相关物理性质非常重要的参数之一。而如何通过实验手段准确测定其态密度值一直是半导体物理和材料科学领域关注的问题之一。
从吸收系数确定薄膜半导体材料的态密度参数,特别是估计亚带隙区的缺陷密度,是很有意义的。使用标准缺陷模型或Powell和Deane在1993年提出的改进缺陷池模型来计算状态密度参数的确定。我们使用这些模型来重建通过FTPS测量获得的吸收系数谱。

由于状态密度参数的困难和大量,我们建议使用Patel等人提出的基于教学学习的优化(TLBO)算法提取这些参数, 用于从单一电流-电压特性中提取太阳能电池参数。 TLBO通过使用MATLAB作为编程工具开发数值模拟来实现。

通过将该算法应用于理论计算的吸收系数谱,该吸收系数谱可以通过氢化非晶硅(a-Si:H)薄膜上的FTPS测量获得,从而验证了该算法的有效性。观察到TLBO算法已经反复收敛,以最小的算法控制变量给出材料的DOS参数的一致值。
由于DOS重建的参数数量很大,我们分析了吸收系数谱对DOS参数的敏感性。这些参数的灵敏度分析将有助于了解吸收系数谱对哪些DOS参数最敏感,以及它们的值的小偏差如何会给吸收系数的拟合带来显著误差。

从吸收系数确定DOS参数
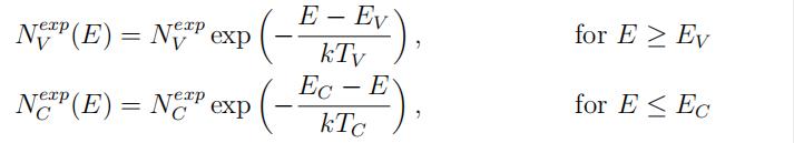
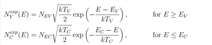
以光吸收光谱或光电流的形式表示的半导体材料的光谱依赖性实际上可以投射该材料的电子结构的能带结构。缺陷和无序度用材料中的电子态表示,并以其密度为特征。半导体材料中吸收系数谱与态密度的关系如式(方程1)所示:

方程1
假设有m个不同类型的状态。coptⅠ是光学矩阵元件。fⅠ(E)是状态Ⅰ在能量E处的占据函数。索引Ⅰ与初始状态的函数相关联,而j与最终状态相关联。
图1B给出了薄膜半导体态密度中的电子跃迁的一个例子。通过FTPs技术测量的光电流的电子跃迁是达到导带扩展态的电子跃迁和在价带扩展态留下空穴的跃迁。
这些可能的过渡被表示为A、B1、B3、c1和c2,而其余的过渡(例如B2)不能使用FTPs方法来测量。

另一种可能的测量方法,包括这些跃迁的光谱学,是光热偏转光谱学(PDs)。注意,FTPs测量由于大多数运营商的电流。
在a-sI:H的情况下,大多数载流子将是电子。然而,在下面,我们将给出所有可能的跃迁,包括那些产生孔的跃迁,以给出吸收系数α的一般表达式。

从图1a中可以看出,带到带的电子跃迁A表示高能区域的吸收光谱。当光子能量低于薄膜半导体和光电流测量,这意味着有可能的电子过渡或向局部缺陷状态创建电子导带的扩展状态,或留下洞的价带的扩展状态。
电子从价带尾态向扩展的导电态B1的跃迁,在导电带侧产生电子。电子跃迁离开价带的扩展态,在导带尾部B3产生电子,在价带侧产生空穴。这两种跃*都迁**投射了带尾部状态的乌尔巴赫斜率。

图片1
图1:(A)光学吸收系数(例如。氢化非晶硅(a-Si:H)样品),其指示区域属于不同的电子跃迁。a-Si的电子态密度的(B)能带结构:H。
低能量光子能够使电子从价带的扩展态向局域深缺陷态发生跃迁,留下空穴在价带的扩展态中,从而产生光电流。而低能量光子引起的电子从局域态向导带的扩展态跃迁,由于在导带中产生电子而产生光电流,这种跃迁被表示为C2。这些特定的跃迁C1和C2导致了低能量区的吸收光谱。

在我们的数值模拟中,我们使用了两种类型的状态密度模型。第一个模型对应于标准状态密度,第二个模型使用改进的缺陷池。基于这两种模型,利用等式计算了吸收系数。
利用DeosT 对薄膜材料的态密度模型中计算出的吸收系数进行了数值模拟。DeosT计算了样品在300 K下对所有可能的全态和空态之间的光跃迁的吸收系数。

光子能量在0.6 eV之间变化,值略高于带隙能量。在这个模拟中,样品应该在暗条件下,因此占据函数是暗平衡下。在DeosT中,状态的密度可以用标准模型或缺陷池模型来表示。
标准态密度模型和吸收系数的计算
利用扩展态带的抛物线分布函数和带尾的指数分布函数模拟了标准态密度。深度缺陷状态以高斯分布函数的形式表示。在这个模型中,我们使用一个高斯分布函数作为供体,而一个高斯分布作为受体。该标准模型的表示形式如图2所示:

图2:标准的状态密度模型
价带尾和导带尾用指数分布表示,这些带的扩展继续以抛物线函数进行。深度缺陷分布以高斯函数的形式表示,其中供体分布和受体分布分别朝向价带和导带。EV和EC表示由DaVIs和MoTT定义的移动性阈值。
这两个值之间的能量差被称为迁移率带隙,EG=EC−EV。EV0和EC0分别是价态和导带分布的扩展态抛物函数的极值。EC0和EV0之间的差值对应于Tauc定义的光带隙。
扩展波段状态-标准DOS
在EV以下和EC以上的价态和导带态的扩展态以抛物线分布函数的形式表示。这些分布用等式表示(方程2).

方程2(a、b)
我们取了:

方程3
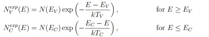
带尾状态-标准DOS
Valence和ConducTIon带尾态分布使用指数函数在公式(方程4)中表示。请参考图3,了解带尾态分布的示意图。

图3:价带侧的扩展态和尾态的定义。
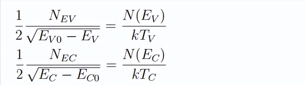
两个指数函数用来描述价带尾部,而态的抛物分布来描述扩展态。指数带尾部加入抛物线扩展状态的点被称为N(EV)。Ecutoff是两个指数分布结合起来的能量。对于导通带侧,也可以定义相同类型的状态分布。

方程4(a、b)
在能量(EV和EC)中,抛物线扩展态分布加入了尾部态的指数分布,我们假设:

方程5(a、b)
和

方程6(a、b)
由于连续性的原因,就在这些能量的上面或下面,我们可以写出等式(方程4)如:

方程7(a、b)
从等式网站开始(方程5)我们将有:

方程8(a、b)
从等式开始(方程6)我们得到:

方程9(a、b)

方程10(a、b)
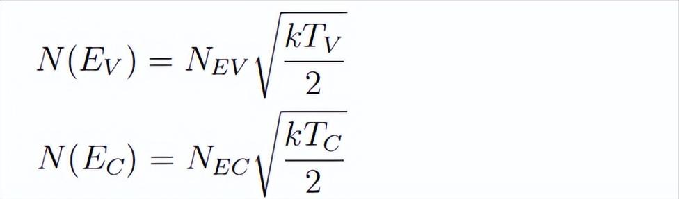
对于指数频带的尾部,从等式(方程9)和(方程10)中我们得到:

方程11(a、b)
使用方程式。(方程8)和(方程11),我们最终得到:

方程12(a、b)
和

方程13(a、b)
接近EV和EC的指数带尾可以写成:

方程14(a、b)
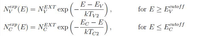
在DeosT软件中,带尾可以定义为两个指数分布,一个指数分布是上面定义的,另一个分布位于间隙较深的位置。对于一个带尾,这两个分布在一个定义为Ecutoff的能量处连接,最深的分布被定义为:

方程15(a、b)
图3显示了在价带尾部考虑两个状态指数态分布的情况下,EV附近的状态分布。
缺陷状态-标准DOS
子带隙区域的局域态用供体和受体的高斯分布来表示,见图4。这些分布的表达式用等式给出(方程16).

方程16

图4:由高斯分布函数表示的子带隙中的深度缺陷状态
该函数的特征是标准差,表示为o,高斯分布的最大值存在的能量Emax,以及缺陷的最大密度Nmax。在价带尾部附近放置高斯供体分布,在导带尾部附近放置高斯受体分布。
从标准DOS模型中计算吸收系数
既然我们已经模拟了一种薄膜半导体材料的Dos,我们就可以使用相应的Dos来计算吸收系数。在这个计算中,我们将使用等式(方程1)作为吸收系数计算的基础。
如前所述,用光电流测量值测量的吸收系数反映了电子跃迁A、B1、B3、c1和c2,如图1所示。下面的吸收系数的计算将基于每种类型的转变。特别需要定义初始状态和最终状态。

跃迁A定义了带到带的跃迁,当撞击半导体材料的粒子吨能量高于材料的带隙能量时,这是可能的。跃迁A由于导带扩展态的电子和价带扩展态的空穴的产生,跃迁A将有助于光电流的产生。
在这个跃迁中,初始态是价带的扩展态,其态的分布用等式表示(方程2)a。最终状态为导带的扩展状态,其分布用等式表示(方程2)b。因此,我们可以计算出cm eV中3 -1 loG n (E)的吸收系数,这种转变如等式(方程17)。

方程17
我们将假设价带侧的扩展态总是满的(f(E)≃1),而导带侧的扩展态总是空的((1−f(E+hv))≃1)。
在下面的方程中,我们将使用等式中的方法(方程17),缩写为价带的VB,cB为导带,VBT为价带尾,cBT为导带尾,don为供体,acc为受体。

跃迁B1表示电子从价带尾部向导带扩展态的跃迁。因此,一个电子在导带的扩展状态下产生,有助于光电流。初始态为等式中表示的价带尾态(方程14)当使用一个唯一的指数带尾时。
在有两个指数分布的情况下,我们将使用等式(方程15)为E≥EVcutoff.。最终态是导带的扩展态,如等式中所述(方程2)b.考虑唯一指数价带尾的跃迁B1引起的吸收系数的计算可以表示为:

方程18
在价带尾有两个指数分布的情况下,等式(方程18)适用于光子能量从初始能量低于EVcutoff时的跃迁。因此,EC在积分边界上被EVcutoff所取代。另一方面,当初始光子能量高于EVcutoff时,我们将应用以下表达式:

方程19
跃迁B3不同于跃迁A和B1,因为它不是在导带的扩展态中产生电子,而是在价带的扩展态中产生空穴,这对光电流有贡献。初始态是如在等式中所述的价带的扩展态(方程2)a,而最终态是导带尾部态。
使用唯一的或两个指数分布函数计算吸收系数可以使用与跃迁B1相同的原理进行。对于唯一的指数导带尾态,吸收系数为:

方程20
在两个指数导带尾态的情况下,等式(方程20)对E≥ECcutoff有效。因此,在尾部态的两个指数分布函数的情况下,等式的下积分边界(方程20)应该是ECcutoff−hv。对于E≤ECcutoff,我们将使用:

方程21
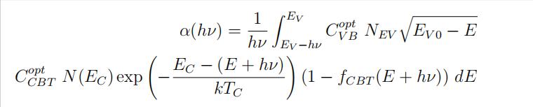
跃迁c对于使用FTPs测量吸收系数特别有意义。由于这种转变而产生的光电流反映了半导体材料中深层缺陷的存在。在这种跃迁中,光子能量通常很低,低于1-1.2 eV。
跃迁c1表示一个电子离开价带的扩展态到子带隙区域的局域态或缺陷态。因此,这种类型的转换的初始状态可以在等式中表示(方程2)a,而最终状态可以使用等式来定义(方程16)。由于这种类型的跃迁而产生的吸收系数可以用等式来表示(方程22)。

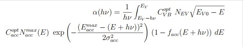
方程22
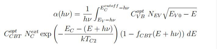
跃迁c2表示在深缺陷态中存在的电子向导带的扩展态的跃迁。初始状态可以定义为等式中缺陷分布的状态(方程16),最终态为导带的扩展态,用等式表示(方程2)b.吸收系数因此可以写成:

方程23
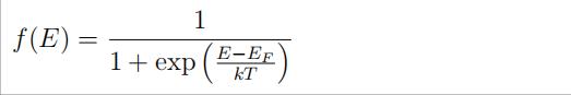
吸收系数calcu中出现的占据概率f(E)用费米函数计算,表示为:

方程24
其中EF是暗条件下的费米能级能量,可以用材料中电荷的电中性来计算。
通过在等式中应用职业概率函数(方程24),我们可以用方程式计算吸收系数。(方程17)至(方程23)。在使用DeosT的数值模拟中,选择要操纵来构造Dos的参数集如表1所示。

表1:选择使用DeosT进行操作的标准模型Dos参数列表
结语
基于吸收系数提取态密度参数的方法在实验数据处理中表现出了较高的可靠性和准确性,我们对半导体物理和材料科学领域的相关研究具有一定的借鉴意义。
通过灵敏度分析,我们可以更深入了解不同因素对态密度参数的影响程度,并从中寻找优化和改进的空间。未来,我们将进一步探索该方法的适用范围,完善相关算法和模型,并结合其他手段如计算模拟等,为材料研究与应用开发提供更为准确的数据支持。