基础知识
组合数一般记为 或 ,表示从n个球中取出k个球的取法。例如:
(1) ,表示从4个球中取出2个球,一共有6种不同的取法。
(2) ,表示从5个球中取出3个球,一共有10种不同的取法。
显然,从n个球中取出k个球,那n和k必须都是自然数,且k≤n。
组合数很容易计算。我们可以按照如下思路进行:
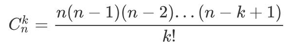
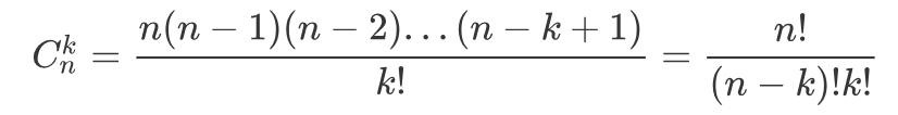
对于任意的n:
(1)当k = 0,也就是从中取出0个球,那自然只有一种取法,也就是一个球也不取,故 ;
(2)当k = 1,也就是从中取出1个球,那可以取到每一个球,自然就有n种取法,故 ;
(3)当k = 2,也就是从中取出2个球,可以先取第一个球,有n种取法,再从剩下(n-1)个球种取第二个球,有(n-1)种取法。由于先取甲再取乙和先取乙再取甲是同一种取法,但被计算了两次,因此最后还需除以2,故 ;
...
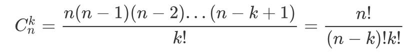
从中可以归纳出组合数的一般计算公式:

正文
数学的发展有一个很常见的套路:如何将一个已有的理论或公式进行推广,使之适用于更一般的情形?
例如,我们的祖先在计数、捕猎、物品交换等日常活动中抽象出了自然数、加法、减法等概念,从加法中发展出乘法的概念,乘法进一步产生幂次的概念,而幂次从正整数一步步推广到负整数、分数、实数和任意复数,这无不体现着人类数学的发展和认识的进步。
考虑到幂次的推广过程,我们不禁要问,当n和k不是自然数,而是分数、无理数甚至超越数时,组合数如何计算呢?
这并非一时心血来潮的臆想,在数学分析中会很自然地遇到上述问题。
前面的文章《杨辉三角、伯努利数和矩阵》提到过,组合数又叫二项式系数,对于(1+x)^n,我们有如下展开式:

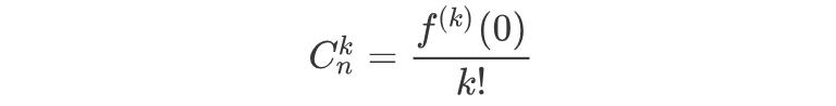
上面的公式当n为自然数时成立。x^k前的系数是组合数,又与函数(1+x)^n在x=0处的导数有关。
当n不是自然数时,我们仍想将一个幂函数写成多项式函数的形式,那就可以借助于Maclaurin级数或Taylor级数了。
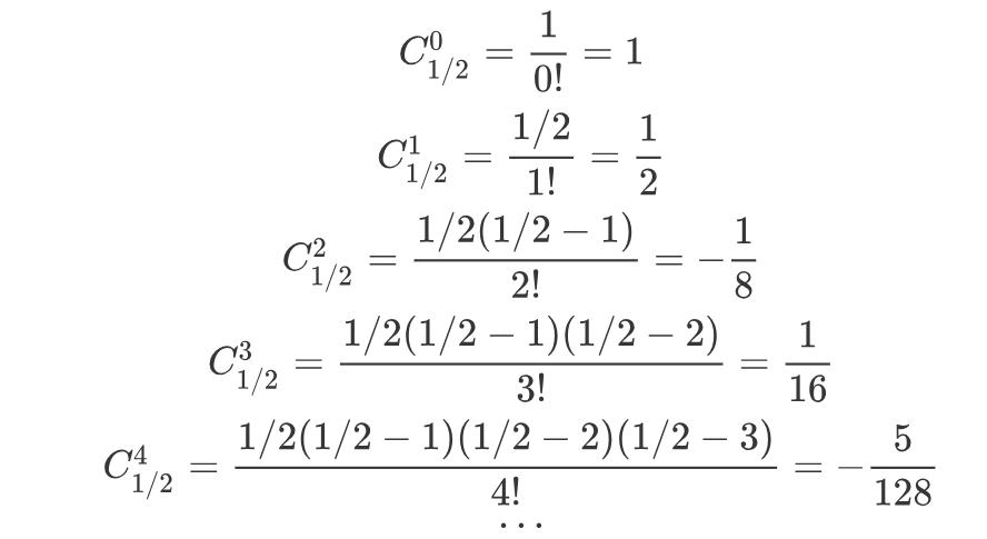
例如n = 1/2, 对于f(x) = (1+x)^(1/2),那么

将这个展开式与n为自然数时(1+x)^n的展开式做对比,我们立得

也就是说,当n不是自然数时,我们可以通过计算函数(1+x)^n在x=0处的k次导数,来计算组合数 。
事实上,新的通过导数计算组合数的方法,与最开始的计算方法是相容的:
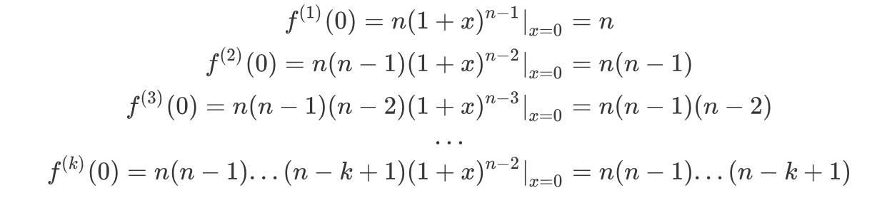
对于函数(1+x)^n,根据幂函数的求导法则,很容易计算其在x=0处的k次导数

所以无论n是不是自然数时,都有

根据以上公式,我们可以计算:

这样,我们就把组合数 中的n,从自然数推广到了任意数。包括复数。
这其实没什么稀奇。很多人学到Taylor级数时都会自然而然地得到以上结论。
接下来,我们继续将组合数 中的k,也从自然数推广到任意复数。
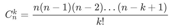
前面我们得到,当k是自然数时,无论n是不是自然数,我们都有如下组合数公式

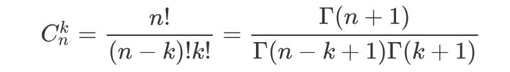
现在希望将k从自然数推广到任意数。根据上面的公式,一个最自然的想法就是通过Gamma函数:

上述公式是欧拉对阶乘函数的推广,当s>0时积分收敛。通过解析延拓的方法,Gamma函数的定义域可扩展至除0,-1,-2,-3,...等非正整数以外的整个复平面上。也就是说,Gamma函数是一个具有s=0,-1,-2,-3,...等极点的亚纯函数。
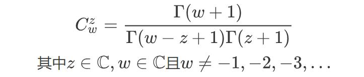
回到组合数,一个自然的推广就是将分母中的k阶乘用Gamma函数代替,即

但问题又来了:
分母用Gamma函数代替没问题,但分子上面是n(n-1)(n-2)...(n-k+1),一共是k项,当k不再是自然数时,这个积怎么定义呢?比如k=2.5, 那么n(n-1)(n-2)...最后一项就应该是(n-2.5+1),可是我们按照n(n-1)(n-2)的顺序,接下来是(n-3)(n-4)...怎么都不会有(n-2.5+1)!
还需要用到Gamma函数。
回到最初的计算式,

右侧的表达式全部是阶乘形式,那么自然,都可以用Gamma函数代替,于是

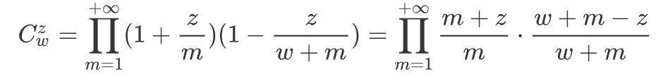
为了表明n和k已经不再局限于自然数,我们分别用w和z替代n和k,有如下组合数公式:

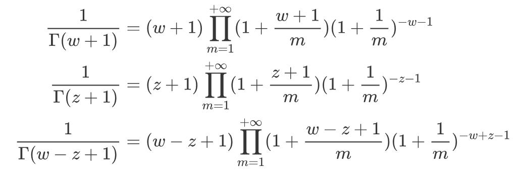
上述公式还可以进一步美化:
Gamma函数是复平面上的亚纯函数,在0,-1,-2,-3,...等极点处Gamma函数发散。而Gamma函数的倒数在整个复平面解析。我们有其倒数的无穷乘积展式

于是

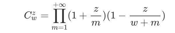
代入原组合数公式,经过一点并不复杂的化简,我们得到

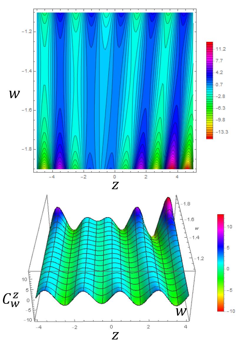
根据以上公式,可作出组合数的图像。为了便于可视化,仅在实数范围内绘图。
考虑到在w = -1,-2,-3,...处组合数发散,这里分区间绘制,以z为横坐标,w为纵坐标。
对于-0.9 <w<5,图像如下

-0.9 <w<5,等高线(上)和三维图(下)
对于-1.9 <w<-1.1,图像如下

-1.9 <w<-1.1,等高线(上)和三维图(下)
下面是一些w取定后,组合数关于z的函数图像:

可以看到,组合数的图像具有明显的波动性。
而波动性,正是三角函数的特性。
两者必有联系。
组合数与三角函数
我们先来看一个很有名的公式:Wallis乘积

写成无穷乘积,也就是

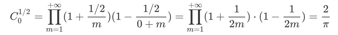
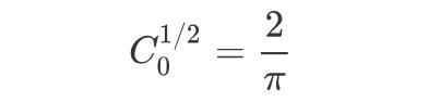
结合组合数公式,我们只要令w = 0, z = 1/2, 立得

即

组合数竟然可以得到圆周率!这并非偶然。
组合数与三角函数之间确实有很深的联系。
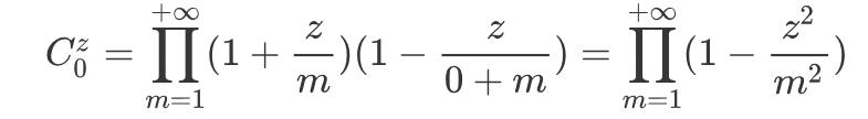
根据组合数公式,如果令w = 0,有

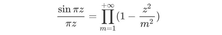
另一方面,

于是

这样就将三角函数与组合数联系起来了!

如果令z = 1/2,我们立得Wallis乘积。
可以说,三角函数,不过是组合数的一种特殊情形罢了。
其他有趣的公式
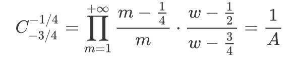
之前的文章《一道网友原创的无穷乘积等式》中,有过这样一个等式

有了组合数公式,我们也可以很容易证明以上等式。
将左侧写成无穷乘积形式,也就是

为了套用组合数公式,将组合数公式改写为

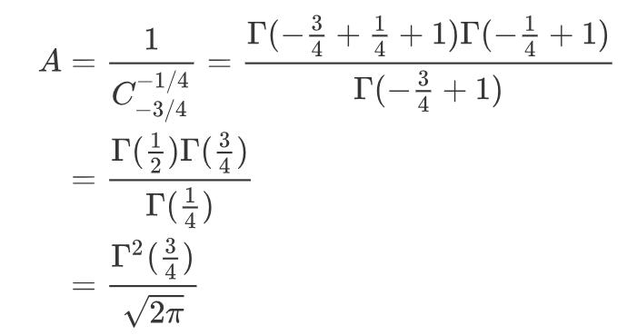
比较一下,很显然,只要令w = -3/4, z = -1/4,立得

从而

轻松秒杀。