同学们好,今天老师为大家分享一篇七年级(上)数学:有理数混合运算常考题型的笔记。
由于有理数的运算含有加、减、乘、除及乘方五种,其运算题型灵活多样,有单一运算、小混合运算、混合运算等,因此计算前先要明确运算种类,确定运算顺序,再按法则逐一进行计算。通常有理数混合运算的顺序是:(1)先乘方,再乘除,最后加减;(2)同级运算,从左至右进行;(3)如有括号,先做括号内的运算,按小括号、中括号、大括号依次进行。
接下来我们就一起来看看这一块都有哪些常考题型吧:
题型一:与有理数概念有关的计算

试题1

对于试题1,在解题时,只需要结合概念:互为倒数的两个数乘积为1;互为相反数的两个数和为0即可。
题型二:与非负性有关的计算

试题2
在解决该类试题时,根据绝对值以及平方具有非负性,可以得出|m-2|和(n+1)都大于等于0,再进行求解。

题型三:与程序图有关的运算

试题3

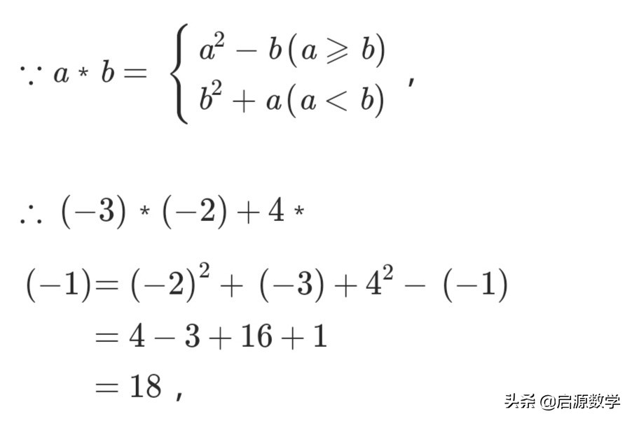
题型四:与定义新运算有关的计算

试题4


试题5


试题6

题型五:与周期规律有关的计算

试题7

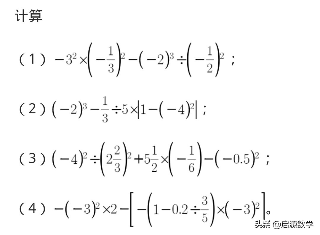
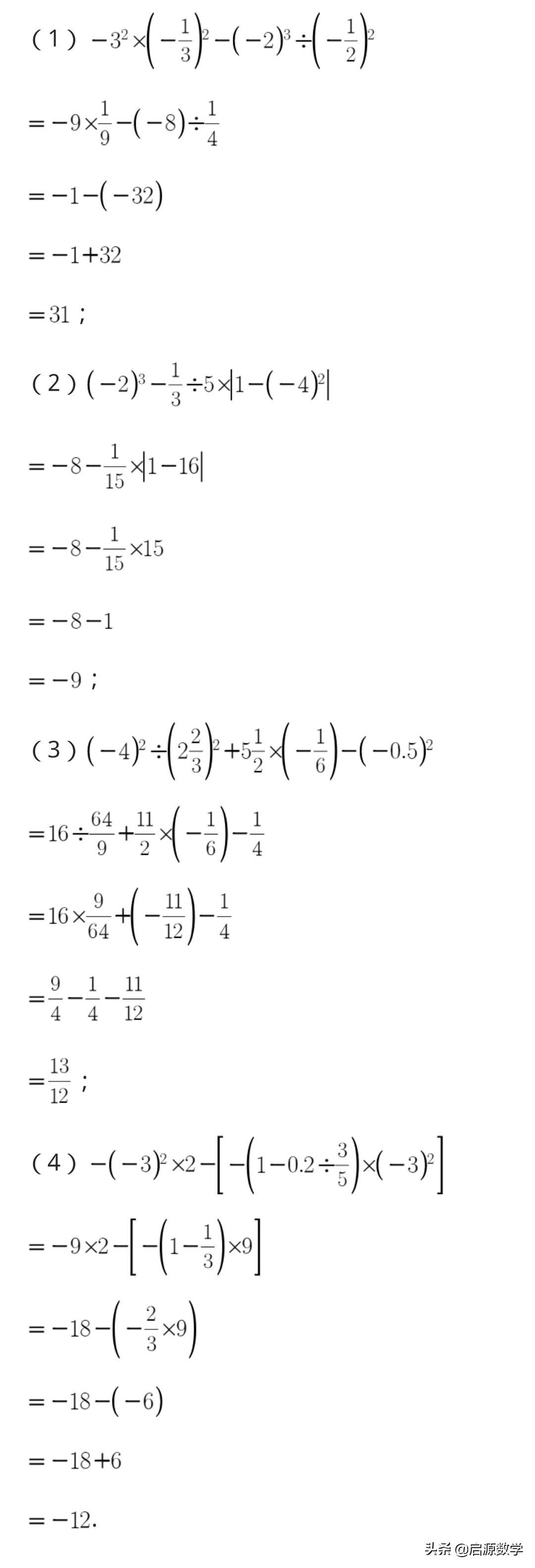
题型六:与法则有关的混合运算

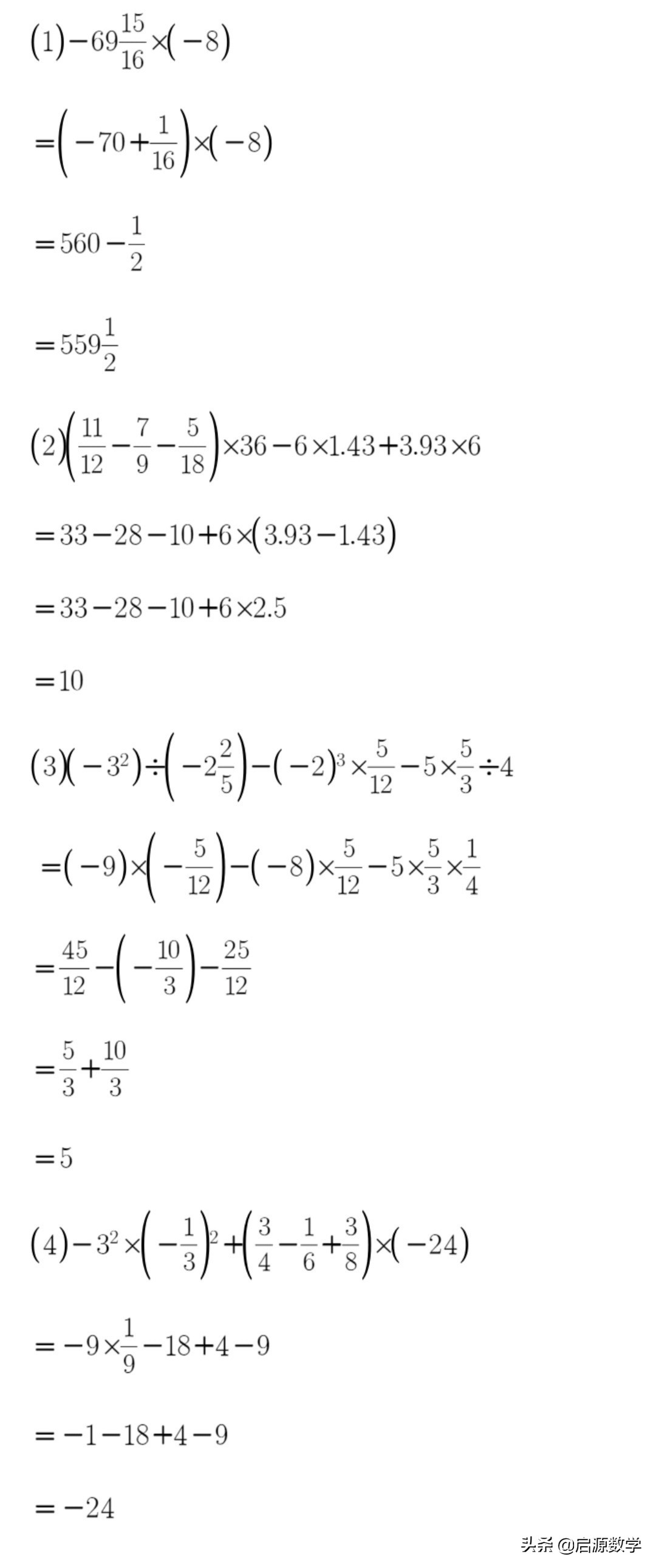
试题8

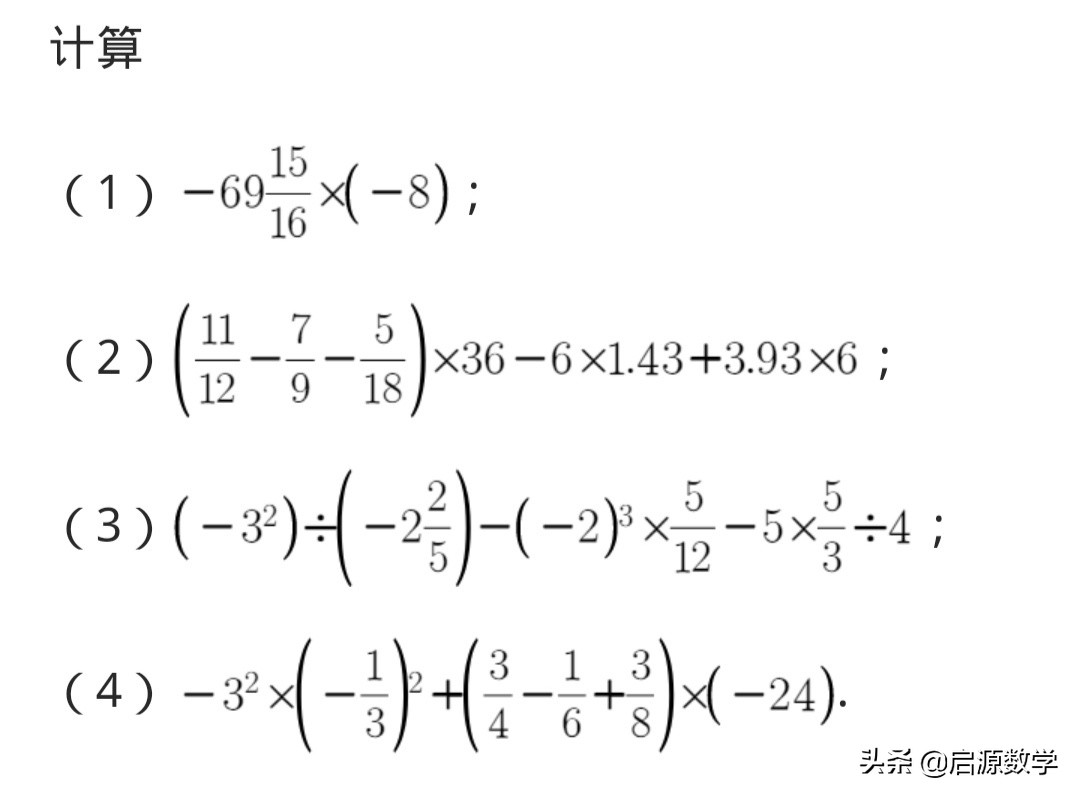
题型七:与运算规律有关的混合运算

试题9

最后,大家要明白的是,之前我们在小学所学的四则运算规则以及运算律对于有理数的运算同样适用。因此大家在计算的时候,一定要先观察试题,看是否能够利用一些运算律来起到简便计算的效果。
今天的内容就分享到这里,希望能够对同学们有所帮助。也欢迎大家下方留言或评论,来一起说说你们的想法或建议吧!