
出题人给我过来
我保证不打死你
在讲正题之前,小天先跟大家分享一下在家放假休息
陪外甥女看书时看到的一个问题:

本来以为是距离最短或者其他更有深意一点的答案,然而,书本里的答案是这样的:

它想进哪个洞就进哪个洞!
它想进哪个洞就进哪个洞!
它想进哪个洞就进哪个洞!
尽管当时内心一万个草泥马飘过,
小天表示仍然要保持微笑,
并且耐心跟外甥女解释了
为什么老虎会进第二个山洞,
emmm……
要选择自己最喜欢的那一个。

今天,小天就跟大家回忆一下,“那些年,让我们气到吐血的题目。”
数学篇
前段时间,一道小学数学题刷爆了朋友圈,家长们纷纷一试身手,却算出了4种截然不同的答案,最后才知道这其实是一道考眼力的题……

这道题的答案是16

说到让人吐血的小学数学题,怎么能少得了这几大恶(dou)魔(bi)呢。
总是喜欢将小鸡和兔子装进同一个笼子的变态老农;
有若干只鸡兔同在一个笼子里,从上面数,有35个头;从下面数,有94只脚。求笼中各有几只鸡和兔?
一边注水、一边放水的疯狂泳池管理员;
游泳池里装有一根进水管和出水管,进水管3小时进水120吨,出水管2小时放水60吨,如果两根同时开放,多少小时能灌满?
分工明确、合作默契的良心甲乙包工头;
一家商店进行装修,若请甲、乙两个包工头同时施工,2天可以完成,需付给两组费用共3520元;若先请甲单独做6天,再请乙单独做62天可以完成,需付给两人费用共3480元,甲、乙两人单独工作一天,商店应各付多少元?
匀速行驶、从不晚点的劳模火车司机;
甲乙两人沿铁路相对而行,速度都是每秒14米,一列火车经过甲身边用了8秒,经过乙身边用了7秒,求火车车身长度以及火车速度。
愿意爬立方体还必须沿着最短距离的路线,从一个点到另一个点的强迫症蜘蛛;
如图所示,有一只正方体盒子,一只虫子在顶点A处,一只蜘蛛在顶点B处,蜘蛛沿着盒子准备偷袭虫子,那么蜘蛛想要最快地捉住虫子,应怎样走?

白天爬上去3米,晚上滑下来2米的偏执狂蜗牛;
有口7米深的井,有个蜗牛从井底往上爬,白天爬3米,晚上往下坠2米,问蜗牛几天能从井里爬出来?
早早出门、却故意放慢脚步,只等哥哥追上的傲娇小明;
小明家离图书馆4.8千米,他从家出发以每分钟60米的速度步行去图书馆,15分钟后,哥哥骑自行车从家出发去追小明,自行车的速度是每分钟240米。哥哥多长时间能追上小明?
故意等骑自行车匀速前进的甲出门,过了一小时才骑摩托车出去追的2B乙;
甲、乙两人从a.b两地同时出发,甲骑自行车,乙骑摩托车,沿同一条路线相向匀速行驶。出发后经3时两人相遇,已知在相遇时,乙比甲车多行驶了90千米,相遇后经1时乙到达a地,问甲乙行驶速度分别是多少?

小天去翻了一下网友们的回忆,简直心疼到不能自已。
01
来自幼儿园大班的求助:0,0,0,0 求24点。
一看到这个题,估计模友都会毫不犹豫就写出了好几个版本的答案,
(0!+0!+0!+0!)!=24
(cos0+cos0+cos0+cos0)!=24
(sec0+sec0+sec0+sec0)!=24
(0+0+0+0)'=(24)'
0+0+0+0=2-√4
等等等等。
然而,对于幼儿园的孩子来说,他们的正确答案只会是00:00=24点

02
小学的时候,有一道数学题,是计算蹬自行车多少圈可以通过大桥,(要求四舍五入保留整数),然后我算出的答案是202.333333……
然后我就想:哦?不是整数,那总得把剩下的蹬完才能通过大桥吧,于是我写了需要203圈。
正当我还在为机智的自己鼓掌时,老师把我叫去办公室骂了一顿,说我连四舍五入都不会!!!!
答案是202圈啊啊啊啊!
简直是坑爹啊!
202圈你骑得过去吗??
剩下的0.333333就当是不存在了嘛!!!
桥同意了嘛!!!!

03
记得小学六年级的时候,有一道概率题,问全世界一共195个国家,美国参加2010年上海世博会的概率是多少。
1/195?想想我也觉得不可能,小小年纪的我当时想着:按照美帝的尿性怎么说也是100%吧,于是,我就填了约为100%。
然而答案是50%
因为美国可能参加,可能不参加。

04
小明去上学去的时候花了一小时,回来的时候同样的路程和速度
为什么花了两个半小时?
因为两个 半小时=一小时。
05
问:假设铁路是每1米铺1根枕木,那么100米长的铁轨上应该铺多少枕木?
学渣:1米铺1根,100米不就是100根呗。。
学霸:还得考虑首尾问题,应该加1,铺101根枕木。。
学神:昂。。不一定刚好第一根枕木就铺在第0米的位置啊。。这个问题涉及到概率。。容我建个数学模型先。。
正确答案:0。因为枕木是铺在铁轨下面的。铁轨上一根也没有。

06
中学的时候,有个同学拿着一道小学题来问我,“如何画一条线,把下面这个五边形分成两个三角形?”

我绞尽脑汁都想不出,结果同学说:这有什么难的,把这条线画粗一点不就可以了么?

中学数学说“线”是没有宽度的,然而小学题并不鸟这个……

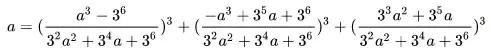
07
求证:任何一个有理数a都可以写成三个有理数的立方和。
证明:


08


语文篇
小学五年级学草船借箭的时候,我们语文老师问:诸葛亮为什么偏偏问周瑜借船?
这种表达中心思想的问题还用问么?
足智多谋这类的词都想好了!
结果答案是:为了找曹操借箭!

考反义词的时候,“阴” 的反义词,我毫不犹豫地写了“阳”,结果答案是“晴”。
“寒冷”反义词,我写了“炎热”,答案是“温暖”。
“公”的反义词,我写了“母”,而答案却是“私”。

英语篇
记得一次英语听力考试,有这样一段对话:
A:Can you speak English?
B:No,I can't.

还有一个就是,内容大概就是讲一男生问一女生会哪几种语言,然后女生回答了德西法俄4种,然后提问是
“How many languages can she speak?”
我当时就想啊,哼,出题人的这么点伎俩怎么难得倒如此机智的我,她刚才就是用英语说的话啊,所以肯定是选会5种语言!
结果,答案是4种!!!
于是我气冲冲地跑去跟老师理论,结果老师淡定地回了我一句:孩子,不要钻牛角尖!
我:。。。。???
更气人的是,后来又有一次碰到了这题,虽然是不服,但为了分数,我这次选了4种语言,结果答案是5种!!!

这让小天想起了之前看过的一个搞笑视频,嘉宾好不容易挑战到倒数第二道题。

正当嘉宾非常紧张地调整呼吸的时候,屏幕上弹出的竟然是如此简单的一道题!

刚开始,嘉宾毫不犹豫地选了C选项,结果在主持人地不断忽悠下,最终说了个A,被判答题错误!!

历史
问题:布雷顿森林体系和中国有什么关系?
标准答案(一字不差):没有什么关系。
问题:众所周知,黄兴打响了革命的第一枪,领导了黄花岗起义,那么,请问第二枪是谁开的?还有第三抢呢?
答案:都是黄兴,因为课本上有这样一句话,"黄兴朝向空中鸣了三枪揭开了黄花岗起义的序幕!"
生物
问题:为研究物质A对植物的影响,配置____A的溶液。
答:含与不含
线粒体所携带DNA上基因的遗传,不符合_____分离比。
答:孟德尔
化学
问题:试管口不能对着____和____?
答案:不能对着自己和别人
问题:A和B可以相互转化,B在沸水中生成C,C在空气中可以氧化成D,D有臭鸡蛋气味,请问ABCD各是什么?
答案:鸡,鸡蛋,熟鸡蛋,臭鸡蛋

医学
问题(护理):在病房,病人突然坠床,你应该如何从护士站过去?(A慢走 B慢跑 C快走 D快跑)
作为一名救死扶伤的白衣天使,我选了D快跑,然而答案是C快走,因为快跑在医院会引起恐慌。
问题(儿科):1、缺铁性贫血的病因是什么?答案:缺铁
2、新生儿败血症的特点是什么?答案:无明显特点
拓展训练
最后,咱们再来一道拓展题吧。
