许多化学工程本科课程讲解由John G. Ziegler和Nathaniel B. Nichols在20世纪40年*开代**发的Ziegler-Nichols整定方法。该方法控制器增益大,积分时间短,有时会产生过程振荡,不适合大多数化工应用。因此,许多过程控制工程师都采用经验方法来进行调整。
在经验方法中,各个控制回路将整定的尽可能快地,而不会影响上游和下游控制回路。但是,通过只整定单个回路,降低了整个过程的性能和从干扰中恢复的能力。当一个过程被经验整定后,控制台操作员通常需要将控制器置于手动操作中,以便在发生严重的过程干扰后使过程稳定下来。
自动过程控制减弱干扰并保持过程变量的控制,以接近期望的设定值。适当的整定能提高这一能力实现。本文描述了过程控制器的基本知识,并详细介绍了控制回路整定的过程。
1. 过程控制基础
在控制回路中,控制器根据一个或多个过程变量(PVS)的信息变化来控制过程,以保持设定值(SP)(图1)。这个过程经常受到上游和下游干扰的影响。
在尝试任何调整之前,了解过程动态是很重要的。通过执行阶跃测试来确定过程动态。计算整定参数的比例积分微分(PID)方程同时包含过程动态和控制器术语。PID方程可以解释为:
l 比例(P)项根据设定值和过程变量值之间的差异(称为设定值误差)调整控制器输出。增加比例增益会增加回路响应,但增益过大会导致回路振荡。
l 积分(I)项将设定值误差累加,并缓慢调整控制器输出,直到误差为零。积分作用旨在消除任何设定值误差,但过多的积分作用会导致积分项相对于过程变量(积分饱和)快速上升,从而导致振荡回路响应。
l 当过程变量的变化率快速增加(反之亦然)时,微分(D)项会降低控制器输出。微分项增加了稳定性,但对噪声很敏感。如果在错误的情况下使用过多的微分操作(例如,有噪声的过程变量、缓慢的控制器执行速度、纯滞后过程,等),则会使回路不稳定。

图1 在该控制回路中,控制器根据过程变量(PV)的变化信息将其保持在设定点(SP)。
有三种形式的PID方程:
串联(经典)形式被广泛应用于气动和电子控制器,但现在许多现代数字控制系统要么使用标准形式或将其作为一个选项。
标准PID方程。标准形式(有时称为理想形式或ISA)通常被称为不相互影响的形式,因为积分项和微分项互不影响。标准形式比其他形式要复杂一些,但它也更灵活,因为它可以消除振荡的开环动态。
串联PID方程。在串联(经典的,相互作用的)形式中,积分项和微分项相互作用。二阶系统的整定很简单,因为较大的时间常数设置积分时间,较小的时间常数确定微分时间。如果不使用微分项,则串联和标准方程形式相同。
并行PID方程。并行形式的结构在数学上是最容易理解的,因为所有三个整定参数都是独立的。这通常是在学术控制课程中呈现的形式。然而,整定参数具有更为理论化的数学解释,这使得术语更难可视化(或解释)。
根据PID方程的形式,实现对设定值变化或干扰的期望控制器响应可能需要安装不同的整定常数。本文提出的一阶加纯滞后过程的PI调节规则是基于PID算法的标准或串联形式。
2. 第一步:了解流程和操作目标
在开始整定之前,您需要全面了解流程及其操作目标。在图2所示的简单工艺流程图中,150磅/平方英寸的闪蒸罐将蒸汽通过16英寸管线。以低于2磅/平方英寸的压力进入大型蒸馏塔。两个容器都有压力控制器。
在该装置中,每个压力控制器都单独整定,导致蒸馏塔的工艺不稳定,降低了产品质量。闪蒸罐整定的太强, 150 psig的设定值只有0.1psi的偏差,闪蒸罐蒸汽的流速严重影响了蒸馏塔的性能。在这种情况下,任何引起150磅/平方英寸设定值偏差的扰动都会迅速调整回设定值-这意味着进料罐扰动直接进入蒸馏塔。
该工艺的总体目标是对精馏塔进行有效的控制,以获得理想的产品质量和收率。其目的不是严格控制闪蒸罐压力,尤其是当闪蒸罐压力对下游蒸馏性能有不利影响时。因此,蒸馏塔的压力控制器应比闪蒸罐的压力控制器进行更积极的调整。

图2 150磅/平方英寸的闪蒸罐将蒸汽以低于2磅/平方英寸的压力送入大型蒸馏塔。两个容器都有压力控制器。
在另一个例子中,进料缓冲罐给一个反应器供料(图3)。如果回路单独调整,进料缓冲罐液位将与反应器入口流量具有相同的优先级。任何流入进料缓冲罐的流量干扰都会迅速调整缓冲罐的液位(以将其保持在设定值),从而导致流入反应器的流量突然变化。分别调整每个回路,使汽包水位和反应器入口流量具有同等的优先级。在单个控制回路中,同等优先级并不一定会产生最佳的过程性能。

图3 给料缓冲罐为反应器供料。缓冲罐的液位会影响到反应器的流量。
了解过程耦合和控制目标是实现有效回路整定的第一步,并引导下一步。
3. 第二步:确定控制回路的优先级
根据在步骤1中收集的信息,确定控制回路的优先级,以确定哪些应该执行得快,哪些应该执行得慢。如果在整定中给予同等的优先权,那么表现出强烈耦合作用的过程控制回路将相互竞争。
在图2的闪蒸罐和蒸馏塔示例中,将闪蒸罐保持在150磅/平方英寸对分离并不重要。闪蒸罐可用作波动缓冲器,以吸收反应器的干扰。降低汽包压力控制回路的优先级可将对蒸馏塔的干扰降至最低。
在图3中的进料缓冲罐和反应器示例中,应优先考虑反应器流量和允许波动的进料缓冲罐液位,以吸收上游干扰。缓冲罐液位的响应速度比反应器进料流量控制慢。尽管反应器流量仍将增加或减少,以确保缓冲罐不会溢出或抽空,但变化将是渐进的,避免了反应器流量的突然变化和收率的潜在降低。
在另一个例子中,具有过程流体温度设定值的串级控制器具有控制蒸汽流量的副回路和控制过程流体温度的主回路(图4)。建议的做法是调整内部控制回路,使其响应速度比外部控制回路快5-10倍(如果可能),以避免直接交互冲突。使用ziegler-nichols或通过经验整定发来实现这种响应速度是困难的。
这种困境的解决方案是实施一种整定方法,例如lambda优化,在这种方法中,可以选择控制回路响应速度作为优化参数。副回路的调节速度比主回路快5-10倍,以快速补偿蒸汽流量的变化。因为副回路的设定值是外环的函数,所以它们总是相互作用的。如果副回路和主回路具有相同的优先级,则整定将导致不稳定或振荡,因为副回路无法跟踪主回路的设定值。
大多数缓冲罐都可以利用其容积作为波动缓冲器来吸收上游干扰,从而将对下游过程的影响降至最低。对于那些喜欢看到与设定值吻合的过程变量的平稳显示的控制台操作员来说,这可能是一种理念变化—即,为了保持严格的控制而进行的强整定。缓冲罐、蒸馏塔底部和塔顶罐的液位可在40%至60%之间波动,围绕50%设定值-以保持下游稳定流量,并逐渐改变以重新平衡工艺流量。然而,在某些情况下,这些容器必须具有最小的可变性,在整定之前,必须在步骤1中识别这些约束。

图4 管壳式换热器具有带过程流体温度设定值的串级控制器。内回路控制蒸汽流量,外回路控制过程流体温度。
4. 第三步:进行阶跃测试
每个控制回路必须进行阶跃测试。阶跃测试有两个目标:识别硬件问题(如粘性控制阀),并了解过程动态。
要执行阶跃测试,请将控制器置于手动模式,然后将输出更改一小部分。阶跃输出的大小应足够大,以允许您观察过程变量响应(高于可能存在的任何噪声),但应足够小,以最小化过程波动(图5)。在一个好的阶跃测试中,输出是即时的,纯滞后时间和时间常数可以确定。一个坏的阶跃测试将产生一个斜坡输出,过程响应将不能代表计算整定参数所需的真实过程动态。
在执行阶跃测试之前,请确保您了解流程和预期的变化,以防止不期望的流程波动。例如,在炼油厂进行阶跃测试时,不要减少氢急冷流量,因为这会导致加氢裂化反应器温度失控;首先增加氢流量,然后将其降低至标准流量。
根据过程的敏感性,从小的阶跃开始,如0.25%、0.50%或1%。如果在过程变量中看不到效果,请继续进行阶跃变化,直到响应明显为止。过程响应,包括纯滞后时间、过程噪声和执行器非线性,将决定阶跃的大小和阶跃间隔的时间。某些控制回路在看到控制阀的响应之前,要求输出变化超过2%的情况并不少见。

图5 在执行阶跃测试时,输出阶跃的大小应该足够大,以允许您观察过程变量(PV)响应,但要足够小,以最小化
性能不佳的现场设备添加了不能通过整定消除或用高级过程控制补偿的过程约束。在阶跃测试过程中,应了解控制阀的类型及其典型操作点。在全开或全关位置或接近全开或全关位置运行的阀门将难以控制,并且无论调整参数是什么,都将表现不佳。如果是这种情况,调查导致阀门在其正常工作范围之外的原始设计的改变。
在执行阶跃测试时,请注意过程增益(流量%/输出%)。例如,球阀比蝶形阀具有更广泛的推荐过程增益范围(图6)。如果控制器输出发生1%的变化,阀门位置将改变1%,但流量可能不会改变1%。对于两种类型的阀门,在大约38%的开度下,1%的输出变化导致1%的流量变化(对于安装的过程增益为1)。然而,对于两种类型的阀门,在大约50%的开度下,1%的输出变化导致蝶形阀的流量变化为0.5%,而球阀的流量变化为1.5%。除了建议的0.5%到2.0%的输出变化外,安装的过程增益使这些回路更加难以整定。这就是为什么有必要选择一个尺寸和类型适合系统工作流量的控制阀。这也解释了为什么不同的操作条件(如临时停车条件)会导致自动控制变得不稳定。

图6 球阀比蝶阀具有更广泛的推荐过程增益范围。
5. 第四步:解决硬件问题
当您确定硬件问题(如控制阀粘滞)时,隔离控制阀并进行维修,或在下一次检修期间计划维修。如果无法进行所需的硬件改进,则继续进行整定将更具挑战性,无法保证整定成功。
智能*位器定**在过去几十年中取得了重大进展,并改善了控制阀的性能,以获得更好的响应和定位(图7)。*位器定**通常用于将控制阀移动到指定位置,以使工艺参数(如流量、压力或温度)保持在期望值。它们为小动作和变化提供了更好的分辨率。

图7 智能*位器定**改善了阀门性能,以获得更好的响应和定位。它们可以更准确地控制小的变化。
6. 第五步:对硬件修复后的回路重复阶跃测试
既然控制阀已完全正常工作,请按照步骤3中的相同阶跃测试程序验证过程动态。
如图8所示,不同的过程对阶跃测试的响应不同。流量和压力控制器经历了最常见的响应类型—一阶加上纯滞后—而液位控制器有一个积分响应。可以观察到几种类型的响应,例如一阶加纯滞后、积分、二阶和反响应等。
一阶加纯滞后响应示例。一阶加纯滞后响应过程的阶跃测试得到的过程动态信息包括纯滞后、稳态过程增益和时间常数。通常,这些参数是正常工作范围内几个阶跃测试的平均值。
在图9中,稳态增益可通过将阶跃测试前后测量过程变量的差除以输出变化来计算。通常,增益转换为%PV/%输出的单位,因为大多数控制器根据设定值误差(以范围单位的百分比(而不是工程单位)来计算整定参数,从而以无量纲单位生成控制器输出。时间常数tau(τ)是达到最终工艺变更63.2%所需的时间。纯滞后(Td)是阶跃测试之后,直到过程开始响应的时间量。

图8 流量和压力控制器体验最常见的阶跃测试响应类型:一阶加纯滞后。液位控制器具有积分响应。

图9 在一阶加纯滞后响应中,纯滞后(Td)是进行阶跃测试后直到过程开始响应的时间量。稳定过程所需的时间约
7. 第六步:计算整定参数
一旦了解了流程动态和控制回路优先级,就可以使用基于模型的整定(如lambda整定)来根据操作目标和优先级设置每个控制器的响应速度。
lambda整定。本文中的整定示例使用lambda整定。lambda整定是指所有的整定方法,其中控制回路响应速度可被选为整定参数;闭环时间常数被称为lambda(λ)。
lambda整定广泛应用于制浆造纸工业,在制浆造纸工业中,纸张均匀性与生产效率之间存在着很强的联系,控制回路与上游水力系统之间存在着相互作用。纸可以通过它的物理特性来判断;因此,所有上游的可变性都被捕获在最终产品中。1968年(2)由Dahlin提出时,lambda调节为协调造纸机回路的整定提供了一种新的方法,以获得更高的工艺稳定性和统一的产品。这种整定技术在其他行业相对较新。
lambda值的建议起始值是tau或deadtime的三倍。这样,回路达到设定值的时间大约是所选lambda值的四倍。
在停机期间,为正常运行建立的整定参数可能无法有效工作。如果停机持续很长时间,考虑重新评估新操作条件所需的整定参数。
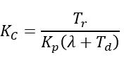
自衡过程示例。在本例中,对具有一阶加纯滞后响应和标准PI控制器的系统进行了步进测试。测试结果产生2%范围/%输出的过程增益、1.5 s的纯滞后和4 s的时间常数。标准PI控制器方程为(3,4):

其中 是控制器增益, 是积分时间(等于时间常数τ), 是纯滞后。 是过程稳态增益。λ是定义的闭环时间常数。
在本例中,最初选择λ为12 s,或时间常数的三倍。利用式1, 最初计算为0.148。如表1所示,为获得更快的响应时间,降低了λ的值。
图10中的图表显示了在设定值更改后,调整将过程变量移回设定值的速度。橙色曲线说明了通常在lambda值过低(即比纯滞后快)时发生的振荡。


图10 较小的lambda值将更快地将进程移回设定点。但是,如果lambda值太小(即比纯滞后快),则会发生振荡。
反应器比值整定示例。如图11所示,当设施在DCS上实施比值控制时,假设比值将保持一致。然而,基于阀门类型的控制阀特性存在固有差异(例如,球阀比蝶形阀具有更大的过程增益范围)。根据控制阀的工作位置,当设定值改变时,每个阀的初始响应可能会非常不同。

图11 带lambda调节的比率控制系统在过程干扰的情况下保持一致的比率。

图12 如果在两个比值控制的流量回路上执行ziegler-nichols调整,当总流量发生变化时,比值的变化可以多达10
在图12中,对两个流量回路执行ziegler-nichols整定。组分A的回路使用2英寸等百分比控制阀,组分B的回路有3英寸线性控制阀。当总过程流量变化时,比值的变化可能高达10%。这可能导致目标产物的收率较低,以及不良副反应的收率较高。
如果两个控制器都使用相同的lambda值进行调整,需求流量的任何变化都将导致两个上游试剂流同时达到新的设定点(图13)。结果是,无论过程需求流量如何变化,组分的比值都保持不变。

图13 如果流量控制器使用相同的lambda值进行调节,则过程流量中的干扰将导致两个流量控制器发生相同的变化
8. 第七步:输入新的整定参数并观察
记录整定参数的更改,包括时间和日期,以及更改者。一些现代系统将以电子方式记录更改和更改用户。即使您有一个电子整定日志,有一个物理备份并保持更新总是很好的。在日志中包括您对lambda的选择以及选择该值的原因(例如,为了最小化耦合、防止设定值超调、提高负载干扰响应等)。
如果您对整定进行更改,则需要观察控制器在有效地保持总体运行目标的同时最小化干扰的能力。测试响应速度的常见方法是安装新的整定参数,然后执行小的设定值更改。以确认响应符合预期。
9. 根据需要,跟踪整定以确保所需的性能
控制阀有运动部件,随着时间的推移会退化,这些控制元件的性能将影响调节性能。由于硬件问题或操作参数的变化,过去运行良好的控制回路今天可能无法工作。如果操作条件发生变化,并将持续一段时间,则可以对过程和操作目标以及调整参数进行重新评估。
10. 结束语
现代回路整定是解决控制回路性能问题和改进整个过程操作的简单而廉价的方法。许多供应商提供的工具可以在阶跃测试期间捕获过程响应,从而更容易评估过程动态和计算整定参数。这些工具非常方便,特别是当您频繁地进行整定或有大量需要注意的回路时。