1.平面图形面积



2.多面体的体积和表面积



3.物料堆体积计算

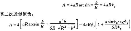
4.圆球形薄壳




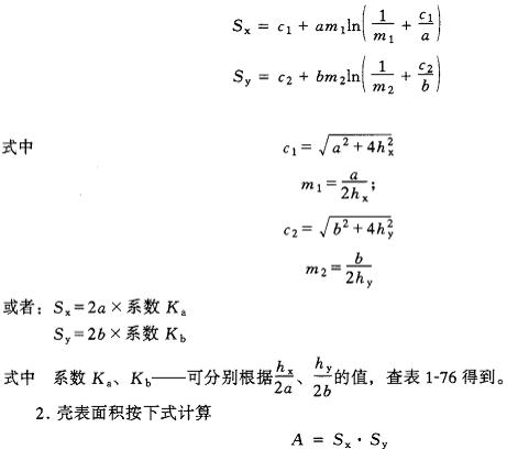
5.椭圆抛物面扁壳




6.椭圆抛物面扁壳系数计算
壳表面积(A)计算公式:
A=Sx·Sy=2a×系数Ka×2b×系数Kb
式中 Ka、Kb——椭圆抛物面扁壳系数,可按表查得。

椭圆抛物面扁壳系数表
查表说明
[例]已知2a=24.0m,2b=16.0m,hx=3.0m,hy=2.8m,试求椭圆抛物面扁壳表面积A。
先求出hx/2a=3.0/24.0=0.125
hy/2b=2.8/16.0=0.175
分别查表得系数Ka为1.0402和系数Kb为1.0765,则扁壳表面积A=24.0×1.0402×16.0×1.0765=429.99m2
7.圆抛物面扁壳



8.单、双曲拱展开面积
1.单曲拱展开面积=单曲拱系数×水平投影面积。
2.双曲拱展开面积=双曲拱系数(大曲拱系数×小曲拱系数)×水平投影面积。
单、双曲拱展开面积系数见表。单双曲拱展开面积计算图见图。

L-拱跨;F-拱高

单、双曲拱展开面积系数表