作为一套中考试卷,命题难易系数比例基本都是7:2:1,难题比例只占10%,基本就是选择题的最后一道题,填空题最后一道,和最后的两道解答题,要想在中考中取得较好的成绩,能上重点高中,关键就在这几道压轴题上要拿到分。
先来看选择题第10题:

选择题第10题
本题考查了动点问题的函数图象,根据菱形的性质和函数图象,能根据图形得出正确信息是解此题的关键.根据图1和图2判定三角形 ABD 为等边三角形,它的面积为3倍根号3解答即可.

第10题解析
填空题第18题:

第18题
本题考查了相似三角形的判定与性质,勾股定理,矩形的性质,直角三角形斜边上的中线,熟练掌握直角三角形斜边上的中线,以及相似三角形的判定与性质是解题的关键.

第18题思路分析及解析
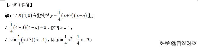
解答题第28题:

解答题第28题
本题主要考查了二次函数的综合应用,待定系数法求抛物线的关系式,全等三角形的判定和性质,解直角三角形,三角函数的定义,作出辅助线,证明EQ=BD,得出当E,C,Q三点共线时, 所求距离的和 最小,是解题的关键.(1)把点 B 代入抛物线关系式,求出 a 的值,即可得出抛物线的关系式;(2)根据抛物线可求出点 A 的坐标,点 C 的坐标,根据AE=1,利用三角函数,求出 DE 的长,再求出点 E 的坐标,根据点 P 与点 E 的横坐标相同,得出点 P 的横坐标,代入抛物线的关系式,求出点 P 的纵坐标,即可得出 EP 的值,最后求出 DP 的值即可;

第28题第1小问

第28题第2小问1

第28题第3小问1

第28题第3小问2
如果你喜欢,就请收藏点赞并转发吧,需要电子版的友友可以留言