一、降低输电损耗的两个途径
1.输送电能的基本要求
(1)可靠:保证供电线路可靠地工作,少有故障.
(2)保质:保证电能的质量——电压和频率稳定.
(3)经济:输电线路建造和运行的费用低,电能损耗少.
2、输电损耗
(1)功率损失
当电流通过输电线时,由于输电线长、电阻大,电流产生热效应,必然有部分电能转化成内能而损失掉.损失的功率△P=I²r=I△U=(△U)²/r.

(2)电压损失
输电线上的电压损失△U=U-U′=Ir,U表示输电线始端电压,U′表示输电线末端电压.
3.降低输电损耗的两个途径
由△P=I²r知,要减少输电线路上的功率损失,必须减小输电线的电阻r或减小输电导线中的电流I.
(1)途径一:减小输电线的电阻r,从r=ρl/S来看,在输电距离一定的情况下,为了减小电阻,可适当增加导线的横截面积或选用电阻率较小的金属材料.
(2)途径二:减小输电导线中的电流I.从P=IU来看,在保证输送功率不改变的情况下,要减小输送电流就必须提高输电电压.
途径一的作用十分有限,一般采用途径二.
☞输电电压越高越好吗?
输电电压并不是越高越好,电压越高,对输电线路绝缘性能的要求就越高,线路的修建费用就会增多,变压器的制造要求也相应提高实际输送电能时,要综合考虑各种因素,根据输送功率的大小、距离的远近、技术和经济要求等合理选择输电电压.
4.计算输电导线上功率损失的四种方法
在远距离输电的过程中,由能量守恒定律可知,发电机输出的总功率等于输电线路上损失的热功率和用户得到的功率之和.
(1)△P=I²r,I为输电导线中的电流,为输电导线的电阻.
(2)△P=P²r/U²,P为运距离输电的输送功率,U为输电电压,r为输电导线的电阻.
(3)△P=(△U)²/r,△U为输电导线上损失的电压,r为输电导线的电阻.
(4)△P=(△U)·I,△U为输电导线上损失的电压,I为输电导线中的电流.
☞【注意说明】
(1)输电电压是指加在高压输电线起始端的电压U,损失电压是指通过输电线路后降低的电压△U=Ir.
(2)输送功率是指高压输电线起始端输出的功率,损失功率是指输电线路上消耗的功率.
(3)无论是减少输电线路上的功率损失,还是减小电压损失,都要求提高输电电压以减小输电电流.

二、电网供电
1、远距离输电基本原理
在发电站用升压变压器升压,然后进行远距离输电,在用电区域通过降
压变压器分次降到所需的电压,输电过程示意简图如下.


☞要减少输电时电能的损失,既可以增加输电导线的横截面积,又可以采用高压输电以减小输电线中的电流,为什么远距离输电都要采用高压输电呢?
答案:利用升压变压器提高输送电压以减小输电线上的电流容易做到,且成本较低,比如电压升高到原来的2倍,输电电流变为原来的1/2,损失功率变为原来的1/4,而如果增加输电导线的横截面积,使功率损失变为原来的则输电导线的横截面积需变为原来的4倍,大大增加了架设成本,并且输电导线的横截面积不可能无限地增大.
☞在解决远距离输电问题时,输电过程示意图中表示的物理量不一定全用,由于物理量较多,一定要清楚每个字母表示的含义,不要混淆.
2.电网
通过网状的输电线、变电站,将许多电厂和广大用户连接起来,形成全国性或地区性的输电网络.
3.电网输电的优点
(1)降低一次能源的运输成本,获得最大的经济效益.
(2)减少断电的风险,调剂不同地区电力供需的平衡,保障供电的质量.
(3)合理调度电力,使电力的供应更加可靠,质量更高.
例题:采用220kV高压向远方的城市输电.当输送功率一定时,为使输电线上损耗的功率减小为原来的1/4,输电电压应变为()
A.55kV
B.110kV
C.440kV
D.880kV
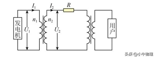
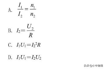
例题:远距离输电的原理图如图所示,升压变压器原、副线圈的匝数分别为n₁、n₂,电压分别为U₁、U₂,电流分别为I₁、I₂,输电线上的电阻为R.变压器为理想变压器,则下列关系式中正确的是()


例题:某电站不经变压器直接向用户输送电能,若输电功率为P,输电电压为U,输电线电阻为R,用户得到的电压为U,则下列说法中正确的是(ABD)
A.输电线上损失电压为PR/U
B.输电线上损失电功率为(U-U′)²/R
C.用户得到的功率为U′²/R
D.用户得到的功率为U′P/U
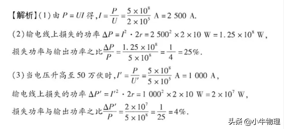
例题:三峡电站某机组输出的电功率为50万千瓦,某地区与电站间每根输电线的电阻为10欧.求:
(1)若输出的电压为20万伏,则输电线上的电流为多少?
(2)在(1)的条件下,输电线上损失的功率为多少?它占输出功率的几分之几?
(3)若将电压升高至50万伏,输电线上的电流为多少?输电线上损失的功率又为多少?它占输出功率的几分之几?
