文丨溪谈朱雀
编辑丨溪谈朱雀
在阅读之前,麻烦您点一下“关注”,方便您进行讨论和分享、增加阅读体验,感谢您的支持。
●—《前言》—●

蜱虫对牛的繁殖生产中造成了重大的经济和健康损失,并且是双芽巴贝斯虫(双叉巴贝虫)的主要载体。双芽巴贝斯虫是一种称为巴贝虫病的蜱传疾病, 可导致溶血性贫血、发烧和死亡。
在这里报告的研究中,我们调查了每只动物的蜱虫数量与巴西塞拉多生物群落中未经杀螨治疗饲养的布朗格斯和内洛尔牛血液中双歧杆菌细胞色素b基因( cbisg )拷贝数之间的关系。

●—《实验》—●
每18天对19只动物(9头 布朗格斯 牛和10头 内洛尔 牛)进行蜱虫计数,每36天采集一次血,连续12个月。采用间接酶联免疫吸附试验检测血清学标本,常规PCR和定量PCR检测基因组DNA,PCR产物用Sanger法测序。
结果是 布朗格斯牛 和 内洛尔牛 品种表现出相似的体重发育,没有巴贝虫病的临床症状。 品种间蜱数和双叉双歧杆菌的基因拷贝数差异具有统计学意义。

尽管内洛尔牛的蜱虫数量比布朗格斯牛少,并且内洛尔牛的 cbisg 拷贝数高于布朗格斯牛,但蜱虫数量与 双歧杆菌细胞色素b基因 循环拷贝数之间没有相关性。

●—《背景》—●
在塞拉多生物群落中,牛蜱是牛蜱热 (CTF) 传播的主要载体,这是一种由三种血液寄生虫引起的疾病复合体:边缘无形体(目:Ricketisales),一种革兰氏阴性细菌,可在野生和家养反刍动物中引起无形体病,以及牛巴贝虫和 双叉巴贝虫 (目:毛虫科),引起巴贝虫病的原生动物。
这些血液寄生虫主要存在于热带和亚热带地区,可能引起溶血性贫血、发热、偶发血红蛋白尿和死亡等临床体征。

单个宿主可持续感染一种或多种血液寄生虫,这些血液寄生虫可引起类似的临床症状,这使得在大型畜群中很难确定CTF的病因,并导致类似但并非完全有效的疾病综合治疗方法。
巴西的Cerrado生物群落为牛的繁育提供了有利的环境,也为微小蜱虫的发展提供了有利的环境。这种蜱对牛有强烈的偏好,造成了与养牛业相关的巨大直接和间接经济损失。

已经发现婆罗门牛比其他类型的牛具有更少的充血蜱虫,并且被称为抗蜱虫侵扰的品种。它们还表现出比其他牛磺酸品种及其杂交更低的巴贝虫属寄生虫血症水平,然而,寄生程度可能因动物年龄和繁殖系统而异。
●—《实验过程》—●
实验中使用的动物
对19头(9头Brangus牛和10头Nellore牛)生长期牧草饲养的动物进行了研究,年龄8~10个月,平均体重219.5 kg。这些动物自然受到感染,并以每公顷0.6只动物的密度饲养在一起。地面由沙土和一个牧场组成的尾蚴(Brachiaria)decubens。未进行蜱传疾病的杀螨治疗和预防控制。

蜱虫计数和血液采样
数据收集时间为2016年6月至2017年6月,根据Wharton和Utech的方法,蜱虫计数间隔为18天。简单地说,计数每只动物两侧长度>4.5–8 mm的蜱,蜱的分类是按照Pereira等人的系统进行的。
此外,每隔36天,用数字秤对动物称重,并使用含有乙二胺四乙酸抗凝剂的无菌真空管从尾静脉采血。共采集血液标本228份(每只动物12份);将这些样品保存在4°C并运输至实验室进行血清和基因组DNA(gDNA)提取。

脱氧核糖核酸提取
如前所述,从全血中提取基因组DNA一式两份。简而言之,每次提取在含有2μl牛血,300μl蛋白酶K(2mg / ml)和20μl十二烷基硫酸钠(500%)的20ml微管中进行。将每个样品在1°C的水浴中孵育65小时,然后将800μl氯仿加入微管中,并将样品剧烈涡旋以实现均质化。
然后,350μl蛋白质沉淀溶液(6ml乙酸钾,1.1ml冰醋酸,2.9ml ddH2加入O),并将混合物以13,000rpm离心10分钟。将水相转移到新管中,将1ml 100%冰冷的乙醇加入到管中,并将样品保持在-20°C过夜以进行DNA沉淀。

然后将样品以13,000rpm离心5分钟,弃去上清液并向管中加入1ml 70%乙醇。将混合物以13,000rpm离心2分钟,弃去上清液。将获得的沉淀在37°C下烘干,并将DNA重悬于50μl超纯水中,并在30°C的水浴中洗脱65分钟。
使用NanoDrop™分光光度计通过分光光度法估计每个样品的数量和纯度,吸光度读数分别为260 nm和260/280 nm吸光度比。然后将对应于每只动物和收集时间点的228个样品储存在-80°C直至进一步使用。

聚合酶链分析
按照先前描述的方法,使用引物KB-18(5′-GATGTAACCTCACCAGAGTACC-3′向前)和KB-19(5′-CAACAAAATAGAACCAAGGTCCTAC-3′反向)通过PCR一式两份分析这些gDNA样品,其产生262 bp的PCR产物。
使用以下试剂根据进行PCR反应:2.5μl10×缓冲液,0.75μlMgCl2(50 mM), 0.5 μl dNTP ,0.5μl正向和反向引物(10pmol),0.3μlTaq DNA聚合酶,1μlDNA(100ng)和超纯水至最终体积为25μl。

两个阴性对照(从健康牛供体和超纯水中提取的血液样本)和一个阳性对照(从牛血涂片中获得的样本,检测呈比格米纳双歧杆菌阳性,测试了附加文件 1:图像 S1)。
使用 PureLink 快速凝胶提取试剂盒纯化了 3730 个产生双叉孢杆菌预期PCR产物大小的样品。这些DNA样品在人类基因组和干细胞研究中心的自动测序仪,具有 22 毛细管 DNA 分析系统。

实时荧光定量 PCR 分析
将基因组DNA样品稀释至100ng/μl的浓度,并进行实时定量PCR(qPCR)分析,以量化双叉孢杆菌细胞色素 b 基因的循环拷贝。使用引物和双淬灭水解探针进行绝对定量,并使用PrimerQuest工具设计,该工具产生 CBSG 基因的88 bp产物。引物-二聚体的形成用寡头分析仪工具进行了测试。
免疫
为了检测抗双叉双叉杆菌免疫球蛋白G(IgG)的抗原,按照基于的方案使用间接ELISA(iELISA)技术。
将来自双歧杆菌的总抗原在 10.0 M 碳酸盐/碳酸氢盐缓冲液 (pH 5.9) 中稀释至 6 μg/ml 的最佳浓度。在12°C孵育4小时后,用磷酸盐缓冲盐水-吐温20(PBS-吐温20)(pH 7.2,0.05%PBST)和6%脱脂奶粉(Molico®;雀巢,圣保罗,巴西)。

用PBST缓冲液洗涤三次后,加入阳性,阴性和参比血清(均在PBST中以1:400稀释+5%正常兔血清)。然后将板在37°C下在潮湿的室中孵育90分钟,用PBST洗涤三次后,加入碱性磷酸酶偶联牛抗IgG在PBST中稀释1:30,000+5%正常兔血清,再次洗涤板。
然后将碱性磷酸酶底物对硝基苯基磷酸酯在1mg / ml二乙醇胺缓冲液(pH 9.8)中稀释。将板密封在铝箔中并在室温下孵育30分钟,然后在微型ELISA阅读器。

环境数据和牛称重
采样期间,平均环境温度为24.95±2.77 °C,平均湿度为66.86±4.53%,平均降雨量为33.41 ±18.60 mm。

巴西南马托格罗索州阿瓜克拉拉市的平均降雨量(灰色阴影)和平均温度(黑条)。灰线/灰色圆圈表示内洛尔牛的平均体重(公斤),黑线/黑菱表示布朗格斯牛的平均体重(公斤)
蜱虫计数、PCR 荧光定量、快速链酶链反应和 iELISA

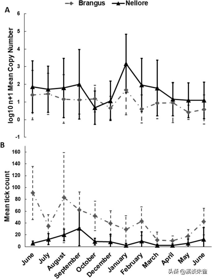
Brangus牛的平均(± SD)蜱计数高于Nellore牛(分别为45.5±20.9和10.08±2)(Mann-Whitney U检验, U (18)= 2148, Z = -8.07, P < 0.01) 。所有通过PCR和qPCR检测的样本均检测出比格米纳双歧杆菌阳性;相比之下,在PCR和qPCR测试的任何样品中都没有检测到牛双歧杆菌。
qPCR分析循环双叉孢杆菌cbisg基因CN显示内洛尔品种的平均 CN 高于Brangus品种(分别为 3.25 ± 0.18 vs 2.5 ± 0.15)。

平均双叉虫细胞色素 b 基因 拷贝数的布朗格斯(灰色虚线/灰色菱形)和内洛尔(黑线/黑色三角形)牛。 B 12个月内Brangus(灰色虚线/灰色菱形)和Nellore(黑线/黑色三角形)牛的平均头 皮微加 蜱计数的变化。
斯皮尔曼相关性
对于布朗格斯品种,斯皮尔曼的秩相关系数 ( rs ) = − 0.23 (P = 0.01) 在体重和 CN 之间,− 0.47 (P = 0.00) 在体重和蜱计数之间,0.25 ( P = 0.01) 在蜱计数和 CN 之间。

对于内洛尔品种,斯皮尔曼的秩相关系数 ( rs ) = − 0.11 (P = 0.22) 在体重和 CN 之间,− 0.42 (P = 0.00) 在体重和蜱计数之间,0.12 ( P = 0.16) 在蜱计数和 CN 之间。
讨论
巴西是牛蜱虫寄生虫(BPS)的流行地区,塞拉多生物群落中的肉牛饲养员已将其他牛磺酸品种引入其畜群的遗传系中,以增加每公顷肉牛的产量,并满足消费市场对更高质量肉类的需求。然而,这种策略增加了动物对蜱虫的敏感性,并增加了BPS爆发的风险。

在试验期间,两个品种之间的体重差异无显著差异,但蜱的数量与体重之间存在微弱的负相关关系。正如Jonsson所评论的那样,对于每个充血的雌性,蜱虫的血液掠夺对牛体重的负面影响可以估计为体重减轻>1克,随着时间的推移,这将造成经济损失。
在本研究中,在两个品种中观察到幼虫和若虫的感染比例相同,但未量化。在内洛尔牛身上发现的蜱虫很少,这导致了寄生阶段的结束。

像Nellore这样的牛品种对蜱虫的抵抗可能与皮肤肥大细胞、嗜酸性粒细胞和嗜碱性粒细胞数量的增加有关,而中性粒细胞的募集可能与蜱的易感性有关。肥大细胞、嗜酸性粒细胞和嗜碱性粒细胞数量增加导致这些细胞释放组胺,抑制蜱附着并导致瘙痒、梳理和蜱清除增加。
一些研究报告了血清学患病率,例如南马托格罗索州的双叉双歧杆菌患病率为23%,潘塔纳尔地区为87.7-98.9%,帕拉州为97%。在本研究中,我们观察到iELISA反应低(Brangus牛为13%,Nellore牛为15%),这不能反映PCR和qPCR结果。

这一结果可归因于双歧杆菌与宿主免疫系统之间的平衡状态(根据体重增加曲线,本研究中的牛被认为处于良好的营养状态),因为能够改变受感染红细胞表面表达的抗原,从而使宿主成为慢性携带者。
当蜱虫的接种率足以感染大多数犊牛时,巴贝虫病的动物病稳定性发生在6-9月龄之间,对临床疾病的先天抵抗力消失之前,确保大多数牛在达到易患临床疾病的年龄之前被感染并具有免疫力。

然而,Jonsson等人批评了地方性动物病稳定性的概念,并不建议将其应用于野牛或具有反向免疫力的疾病,因为Mahoney和Ross进行的实验没有测试这些品种和蜱虫,也没有进行血清学测定。因此,在本研究中,不能将现场宿主免疫应答的抑制程度作为侵扰的函数进行评估。
结论
在这项研究中,我们分析了在广泛的育种系统中饲养的牛的田间数据,这些牛在广泛的育种系统中饲养,没有在地方性环境塞拉多生物群落中进行杀螨剂处理。

虽然蜱的数量与双歧杆菌之间没有检测到相关性,但Nellore品种,即使平均蜱数较低,也比Brangus品种表现出更高的平均值。另一方面,在整个研究期间,这两个品种表现出相似的体重发育,没有巴贝虫病的症状。
●—<参考文献>—●
【1】Grisi L, Leite RC(2014)《重新评估巴西牛寄生虫的潜在经济影响》
【2】Tabor AE(2017)《牛蜱 头头肌微加宿主界面:耐药和易感宿主反应综述》
【3】博纳特 PJ(1999)《牛品种对牛巴贝虫和 B 感染的传播率和先天抵抗力的影响》
【4】Giglioti R(2020)《使用两种奶牛育种系统的巴贝虫属感染水平之间的相关性和可重复性》
【5】安德烈奥蒂 R(2018)《巴西中部与内洛尔一起饲养的布朗格斯牛的牛蜱虫侵扰》
【6】拉蒂纳萨米五世(2019)《巴贝虫病疫苗:经验教训,未来的挑战和未来的一瞥》