一片雪花的周长和地球的直径哪个更长?这看似是一个显而易见的问题。但是,它其实蕴含了一个深刻的数学原理——分形几何。

一.英国的海岸线有多长?
1967年,美国数学家曼德布罗在美国权威期刊《科学》上发表了一篇论文,题目是《英国的海岸线有多长》。很多年以前,人们就发现了一个奇怪的现象:不同国家的测量机构对英国的海岸线测量数值相差很大,有人提出:这是因为在测量过程中“尺子”的大小不同造成的。曼德布罗重新研究了这个问题,得出了一个惊人的结论:英国海岸线的长度可以是无限的。
为什么这么说呢?我们知道,英国的海岸线非常崎岖,如果我们用卫星进行测量,相当于用一个很巨大的尺子,这样就会忽略海岸线上很多崎岖的细节,测量出的结果就比较小。但是如果我们让一个人沿着海岸线走一圈,他就会走过海边的礁石和沙滩,穿越海边的丛林,会发现很多卫星上看不到的细节,测量的结果就会变大。假如我们让一只蚂蚁爬过英国的海岸线,因为蚂蚁的身体更小,它就会发现更多人观察不到的细节,例如海边的一块小石头,一个易拉罐,甚至一粒沙子,造成测量的结果更大。

不同的尺子,测量结果不同
于是,假如我们让尺子无限缩小,英国的海岸线长度就会变成无穷大。1975年,曼德布罗提出了分形“分形”这个词,来描述这种神奇的问题。
二.科赫雪花
其实,曼德布罗并不是最早研究分形几何的数学家。比他早100年的数学家康托尔就已经研究过类似的“康托尔集合”。在这一百年中,数学家们提出过各种各样的分形几何图形,其中最为著名的是数学家科赫提出的“科赫雪花。”
1904年,瑞典数学家科赫提出了一种图形:将一个正三角形的每条边平分为三份,再以每条边中间的一份为边,向外做正三角形,这个过程称为一次迭代。

一次迭代
经过一次迭代,正三角形变为了12条边。我们再将每条边平分成三份,向外做更小的正三角形,称为二次迭代。然后不停地重复这个过程,直到无限次迭代,就形成了科赫雪花。

2次、3次迭代
科赫雪花的周长有多大呢?设最开始的三角形边长为1,经过一次迭代,每条边的边长都变为了原来的4/3,所以周长会变为原来的4/3。经过N次迭代,周长就变为

当迭代次数无穷多,N无限大时,科赫雪花的周长就会变为无穷大——这是因为它的边非常的崎岖。相比来讲,地球虽然看起来比雪花大很多,但是它的直径却是一个有限值——大约12800km。雪花的周长比地球直径还要大。

地球直径
科赫雪花的周长是无限长,但是面积是有限的——这是显而易见的,因为可以用一个圆形把雪花罩住,所以雪花的面积小于圆形的面积。

科赫雪花面积是有限的
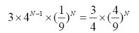
具体来讲:最初的正三角形有三条边,迭代时每一条边都会变为4条边,所以经过N-1次迭代之后总边数为

进行第N次迭代时,雪花的每条边都会向外凸起,形成新的小三角形。设最初的三角形面积为1,每次迭代构造的小三角形边长为原来三角形的1/3,面积是原来三角形的1/9,所以进行第N次迭代时,生成的每个小三角形面积为:

所以,第N次迭代增加的所有小三角总面积为:

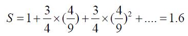
于是经过无限次迭代,可以利用等比数列求和得到雪花的总面积为

总面积比原来增加了60%。
三.谢尔宾斯基地毯
除了科赫雪花,还有一种比较有名的分形结构——谢尔宾斯基地毯。它是由波兰数学家谢尔宾斯基在1916年提出的。
谢尔宾斯基地毯的构造方法是:将一个正方形均分为9个小正方形,再将中间的正方形去掉,称为一次迭代。然后对余下的8个小正方形做同样操作,直到无限次。

构造谢尔宾斯基地毯
这个图形看起来无限镂空,我们很容易计算它的面积:每次迭代时,去掉的黑色部分都占白色部分面积的1/9,所以余下白色面积的 8/9。设最初白色正方形面积为1,经过N次迭代之后剩余的白色面积为

我们发现,只要迭代次数无穷多,这张地毯的面积是趋近于0的,这和科赫雪花周长趋向于无穷大有异曲同工之妙。
四.自相似性
分形结构最大的特点是自相似性:当我们拿出图形的一部分时,它与整体的形状完全一样,只是大小不同。例如,我们把谢尔宾斯基地毯右上角的小方块拿出来,它和整体是相似的。再从其中拿出更小的方块,依然和整体是相似的。

谢尔宾斯基地毯自相似性
同样,我们可以把科赫雪花不停地放大、再放大,无论多小的一小段,雪花都依然保持了和原来一模一样的崎岖结构。

科赫雪花自相似性
五.分形图案的维度
我们知道:直线是1维的,平面是2维的,空间是3维的,这称为拓扑维度。不过要表示分形图案的维度,我们需要用到另一个概念——豪斯多夫维度,它是德国数学家豪斯多夫在1918年提出的,所描述的刚好是自相似图形的特点。
豪斯多夫维度的定义是:如果能把一个图形按照1:m的比例分割,最后分出n份,那么豪斯多夫维度就是

比如,将一条线段分成按照1:2的比例分割,就能分割成2份。于是线段的豪斯多夫维度是log2_2=1;把一个正方形按照1:2的比例分割,就能分割成4份,所以正方形的豪斯多夫维度是log2_4=2;把一个立方体按照1:2的比例分割,就能分割成8份,立方体的豪斯多夫维度是log2_8=3。

分割图形
按照这样的规律,我们可以计算出科赫雪花和谢尔宾斯基地毯的维度。科赫雪花每次迭代时相似比为1:3,而且分出了4份,所以豪斯多夫维度为log3_4=1.26;谢尔宾斯基地毯中的每一小块与全体的相似比为1:3,每张地毯可以分出8个小块,因此豪斯多夫维度是log3_8=1.89。
分形曲线的维度居然不是整数,真是匪夷所思!
科学家们还发现:现实生活中小到一片叶子,大到一个星球,它的表面都是崎岖不平的。曾经,我们研究的几何学都是以光滑的曲线和平面为基础,研究分形结构有助于我们更好的认识真实的世界。

菜花的分形结构
艺术家们还构造出了许许多多的分形结构,给我们一种深邃之美。

分形艺术

美提课堂
美提课堂致力于打造中学理科(数学、物理、化学、生物)精品课程,拥有顶尖的师资力量,所有老师均毕业于北大、清华、北师大等著名学府,并拥有国内一流中学十年以上教学经验。目前,网校已经累计开设直播课、专题课、公开课、讲座等数千小时。只需一次点击,让你和名师0距离。
课程介绍请点击:美提课堂课程介绍
听课方法:
- 电脑端:访问www.mtketang.com
- APP端:「阔知学堂」查找「美提课堂」
- 添加客服小姐姐微信mtketang001
- 客服电话4001552135

客服小姐姐微信
点击拓展链接,进入美提课堂