
电路故障分析一直是初中电学中容易出错的知识点,中考一般会出现在选择题、填空题和实验题中。主要考查 根据灯泡亮暗和电表的示数变化,判断电路故障发生的位置 ,提高学生运用电学知识解决实际电路问题的能力。
今天方法君就带你总结下如何快速解电路故障分析这类题。
根据现象判断电路故障
现象1:用电器不工作
(1)串联电路: 如果其他用电器均不能工作,说明某处发生断路;如果其他用电器仍在工作,说明该用电器被短路了。
(2)并联电路: 如果所有用电器均不工作,则干路发生断路;如果其他用电器仍工作,则该用电器所在支路发生断路。
现象2:电流表示数正常,电压表无示数
(1)分析: “电流表示数正常”表明电流表所在的电路为通路,“电压表无示数”表明无电流通过电压表。
(2)故障原因: ① 电压表损坏;② 电压表接触不良;③ 与电压表并联的用电器短路。
现象3:电流表无示数,电压表有示数
(1)分析: “电流表无示数”说明电流很小或几乎无电流通过电流表,“电压表有示数”表明电路中有电流通过。
(2)故障原因: ① 电流表短路;② 和电压表并联的用电器断路。
现象4:电流表、电压表均无示数
(1)分析: “电流表、电压表均无示数”表明无电流通过两表.
(2)故障原因: ① 两表同时短路;② 干路断路导致无电流.
测量小灯泡电阻或电功率实验中常见的故障
现 象
故 障
电流表有示数,电压表无示数,小灯泡不发光
小灯泡短路
电流表无示数,电压表示数接近电源电压,小灯泡不发光
小灯泡断路或电流表与电压表互换位置
电压表和电流表都没有示数,小灯泡不亮
滑动变阻器断路或开关断路
闭合开关,过了一段时间,灯泡突然变亮,电流表、电压表示数均增大
滑动变阻器短路
无论怎样移动滑片,电流表和电压表的示数不变,灯泡发光过亮
滑动变阻器“上上连接”
无论怎样移动滑片,电流表和电压表的示数不变,灯泡发光较暗
滑动变阻器“下下连接”
练一练
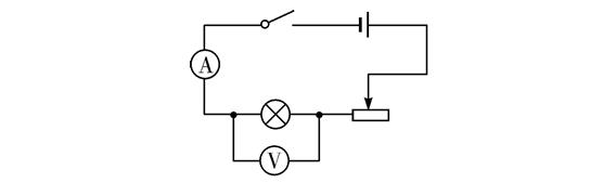
1. 在探究串联电路电流规律的实验中,错将开关接在L1两端,电路图如图所示,其中电源电压保持不变. 由于其中一个灯泡可能出现了故障,当开关S闭合前后,电流表指针所在的位置不变,下列判断中正确的是:

第1题图
A. 若灯L2都不发光,则只有L1短路
B. 若灯L2都不发光,则只有L1断路
C. 若灯L2都发光,则只有L1短路
D. 若灯L2都发光,则只有L1断路
2. 如图所示的电路,闭合开关,观察发现灯泡L1亮、L2不亮.调节变阻器滑片P,灯泡L1的亮度发生变化,但灯泡L2始终不亮. 出现这一现象的原因可能是( )

第2题图
A. 灯泡L2短路了
B. 滑动变阻器短路了
C. 灯泡L2灯丝断了
D. 滑动变阻器接触不良
3. 如图所示的电路,电源电压恒定不变,闭合开关S后,电流表、电压表均有一定的示数. 现在由于其中一个电阻突然发生了故障,导致电流表示数变小了些,电压表示数变大了些. 那么,这个故障可能是( )

第3题图
A. R 1短路 B. R 2断路
C. R 3断路 D. R 3短路
4. 小雨在做测定小灯泡额定功率的实验中,将正常的电流表、电压表接入电路,如图所示.当闭合开关后,发现电流表有读数,电压表读数为零,移动滑动变阻器的滑片时电流表读数有变化,电压表读数始终为零,其原因可能是 ( )

第4题图
A. 开关接触不良
B. 小灯泡短路
C. 小灯泡的钨丝断了
D. 滑动变阻器接触不良
5. 实验课上,同学们把两个相同规格的小灯泡连接在如图甲所示的电路中,闭合开关后,两灯发光. 此时,一同学不小心把L1的玻璃外壳打破了,结果L1熄灭,L2却更亮了. 这是为什么呢?他们提出猜想:猜想一:可能L1处发生开路;猜想二:可能L1处发生短路.

第5题图
(1)根据_____(选填“串联”或“并联”)电路的特点. 可知猜想一是不正确的。
(2)针对猜想二,同学们找了一只电压表,分别并联在L1,L2两端,如图乙所示,假如猜想二成立,则两次读数有何特点?__________.
(3)实验发现两次电压表均有明显读数,且L1两端电压比L2两端电压小.说明猜想二也不正确.你认为L1熄灭、L2更亮的原因可能是__________.
A. L1电阻变大 B. L1电阻变小
C. L2电阻变小 D. L2功率变大
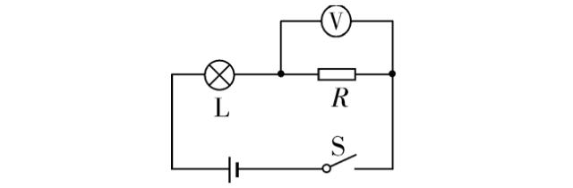
6. 在如图所示的电路中,闭合开关S,灯L不亮,电压表有示数.已知电路中各处均接触良好,除灯L和电阻R外,其余元件均完好.

第6题图
(1)请判断该电路中存在的故障可能是____或____.(请将两种可能填写完整)
(2)为进一步确定故障,小明同学将一个电流表正确串联在电路中,闭合开关S,观察电流表的示数情况. 若电流表有示数,说明故障是______ ;若电流表无示数,说明故障是______.
(3)为进一步确定故障,小华同学将图中的电压表正确并联在灯L两端,请判断他能否查找出电路的故障,并说明理由______.
答案:
1. C【解析】若灯L 2 不发光,则可能是灯L 2 短路或断路,与灯 L 1 短路或断路无关,故AB中的描述不合题意;若灯L 2 发光,说明只有灯 L 1 出现故障,且不可能是断路,因为灯 L 1 断路在闭合开关前灯是不可能发光的,故只能是灯 L 1 短路,所以C正确,与题意相符,D错误,不合题意.故选C.
2. A【解析】若灯L 2 短路了,则L 2 不亮, L 1 照常发光,故A正确;若滑动变阻器短路了, L 1 、L 2 串联,都可以发光,故B错误;若灯泡L 2 灯丝断了,则 L 1 也不能发光,故A错误;若滑动变阻器接触不良,则整个电路断路,两灯都不亮,所以D错误.故选A.
3. B【解析】如果 R 1 短路,则电压表示数将为零,并且电流表示数变大,故A错误;如果 R 2 断路,则并联电路处的电阻变大,电路的总电阻也变大,故电压表示数变大,电流表示数变小,符合题意,故B正确;如果 R 3 断路,则电路中无电流,即电流表示数为零,电压表示数也为零,故C错误;如果 R 3 短路,则电路电阻减小,电压表示数等于电源电压,即电压表、电流表示数都变大,故D错误.故选B.
4. B【解析】电流表测电路中的电流,电压表测灯泡两端的电压,闭合开关后,电流表有示数,则电路是通路;电压表无示数,说明电压表短路或小灯泡短路;移动滑动变阻器的滑片时电流表读数有变化,电压表示数始终为零,说明小灯泡短路或电压表短路,故B符合题意.故选B.
5.(1)串联
(2)L 1 两端的电压表示数为零,L 2 两端电压接近电源电压
(3)B
【解析】(1)由甲图可以知道,两灯泡串联在电路中,根据串联电路的特点可以知道,当处发生断路(开路)时,整个电路中就不再有电流,灯泡也不会发光,与题意不符,所以猜想一是不正确的.(2)由乙图可以知道,如果处发生短路,两端的电压表相当于并联在一根导线上,导线电阻很小,几乎为零,所以两端的电压几乎为零;若L 1 短路,则L 1 两端电压表示数为零, L 2 两端电压接近电源电压.(3)因为L 1 与 L 2 串联,电路中电流相等,而L 1 两端电压比 L 2 两端电压小,根据串联分压原理,应该是L 1 电阻很小,导致的实际功率变得很小,灯也变得很暗;而 L 2 两端电压变大,则灯变亮.
6.(1)灯L短路 电阻 R 断路;
(2)灯L短路 电阻 R 断路;
(3)不能.在灯L短路和电阻R断路两种情况下,电压表均无示数
【解析】(1)电压表有示数,说明与电压表连接的含有电源部分的电路是连通的,灯L不可能断路,只可能是灯L短路或电阻 R 断路.(2)电流表有示数,则说明整个电路是连通的, R 不可能断路,电路故障是L短路;电流表无示数,说明整个电路不通,应是电阻R断路.(3)在灯L短路和电阻R断路两种情况下,电压表的示数都为0,不能查找出电路的故障.
● ●● END ● ● ●