弧长和扇形面积技巧题 (圆和扇形面积练习)

数学弧长和扇形面积练习,圆和扇形面积练习

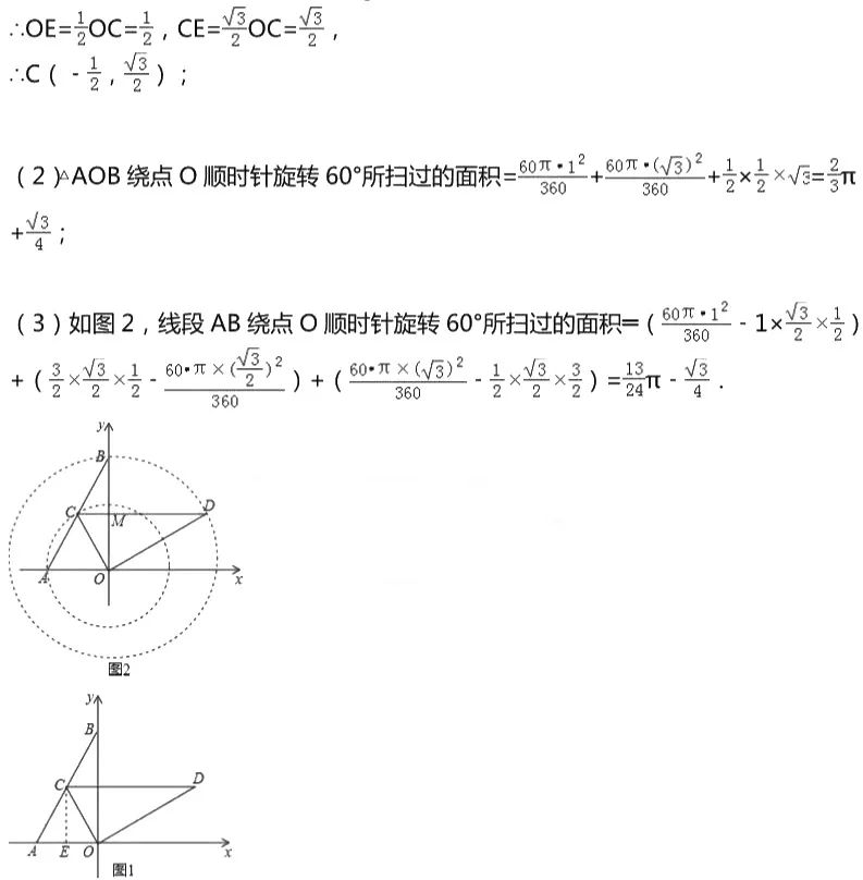
数学弧长和扇形面积练习,圆和扇形面积练习

数学弧长和扇形面积练习,圆和扇形面积练习

数学弧长和扇形面积练习,圆和扇形面积练习

数学弧长和扇形面积练习,圆和扇形面积练习

数学弧长和扇形面积练习,圆和扇形面积练习

数学弧长和扇形面积练习,圆和扇形面积练习

数学弧长和扇形面积练习,圆和扇形面积练习