为什么不研究一种药物让苍蝇灭绝 (苍蝇如果灭绝会造成什么后果)

夏天即将来临,苍蝇也即将到来,人类对于苍蝇总是深恶痛绝,苍蝇取食时要吐出嗉囊液来溶解食物,其习惯是边吃、边吐、边拉。有人作过观察,在食物较丰富的情况下,苍蝇每分钟要排便4~5 次。所以如果一个苍蝇在你的水果上停留了一段时间,你最好洗洗,说不定上面就有苍蝇的粑粑。

为什么不研究一种药物让苍蝇灭绝,苍蝇消失会对地球有什么后果

苍蝇经常出没在肮脏的地方,它表面的毛发与消化系统极容易附着大量的病原体,苍蝇能够传播 50 种疾病,其中对畜禽养殖有影响的重要疾病如禽流感、新城疫、口蹄疫、猪瘟、禽多杀性巴氏杆菌病、禽大肠杆菌病,球虫病等,在疾病暴发时苍蝇可加速流行性疫病的传播。

因此苍蝇认为这是一种百害而无一利的生物,苍蝇生存在地球上究竟有什么样的作用呢?如果被消灭了会有什么样的后果呢?

为什么不研究一种药物让苍蝇灭绝,苍蝇消失会对地球有什么后果

苍蝇在生态中的作用

首先我们需要知道,蝇类,或称苍蝇,在昆虫分类学中隶属于双翅目环裂亚目。全世界已被双翅目学者命名的蝇类约有40000种,中国分布有近5000种。

物种多样性如此之高的蝇类中,仅蝇科的家蝇、丽蝇科的丝光绿蝇、厕蝇科的夏厕蝇和麻蝇科的棕尾别麻蝇等少数种类与我们的生活环境有"密切联系":它们均是以城镇乡村等环境中的腐败物质或动物排泄物为食的腐生性物种。

为什么不研究一种药物让苍蝇灭绝,苍蝇消失会对地球有什么后果

而实际上,蝇类食性复杂多样,除了重口的腐生性之外,还包括诸如植食性(如潜叶蝇等)、蜜食性(如食蚜蝇等)、捕食性(如溜蝇等)和寄生性(如寄蝇等)等其他习性,它们在自然界发挥着不同的作用。可以说苍蝇是生态系统的能量和物质循环不可缺少的一方,

但即使是腐生性蝇类,对自然界也有很重要的作用。自然界每天都会产生许多的垃圾、动物尸体,如果不将这些东西分解,那么将对环境产生非常恶劣的影响。而对于大自然来说,苍蝇等食腐动物就是重要的清洁工。

为什么不研究一种药物让苍蝇灭绝,苍蝇消失会对地球有什么后果

另外,我们要明白,没有一种生物是能够独自生存的,都处在食物链中相互依赖着,一旦苍蝇灭绝,很有可能导致生物链产生负面的连锁反应,从而对人类社会造成更严重的影响,比如澳大利亚引入兔子,打破了生态平衡,挤压了本土有袋类生物的生存空间,许多有袋类濒临灭绝。

苍蝇可作为食品

苍蝇可以作为食品食用,在国外, 用蝇类制作食品早已不足为奇。北美印第安人把苍蝇烤成松软可口的糕饼, 取名为“ 古查比”饼、。在法国巴黎的“ 昆虫餐厅”里, 可以吃到“ 油炸苍蝇” 、“蒸蛆”等苍蝇食品。在食用昆虫之乡的墨西哥, 可用蝇卵烹制成“ 鱼子酱”以及其它美味的蝇类食品。之所以人会将蝇类作为食品,是因为蝇体所含的营养成分。在蝇类幼虫中含有丰富的蛋白质 、维生素和人体所必须的多种微量元素。

为什么不研究一种药物让苍蝇灭绝,苍蝇消失会对地球有什么后果

可以作为饲料及饲料添加剂,实验证明, 用蝇蛆饲喂的许多动物, 其增重效果超过著名的秘鲁鱼粉。在同等条件下, 使草鱼重量提高20.08% ;猪的瘦肉率提高9% , 重量增加 7.48% 。若每只鸡加 10g 鲜蛆, 鸡增重率提高 7.93 % , 提前产蛋 1 个月, 产蛋率提高 10.1 %。科学家还证实,用蝇蛆饲对虾、蟹、鱼和甲鱼有明显的抗病能力。用蝇蛆作饲料添加剂, 可明显降低饲料成本和饲料用量。并能提高饲料质量。

为什么不研究一种药物让苍蝇灭绝,苍蝇消失会对地球有什么后果

苍蝇具有科研价值

20 世纪初, 人们用消过毒的活蝇蛆来治疗化脓性感染,因蝇蛆可减少细菌群落,除去坏死组织,,从而刺激创伤愈合 。近年来, 由于滥用抗菌素而使细菌在较快的时间产生了耐药性, 且逐渐增强, 人们又开始用蝇蛆疗法治疗各种难治性感染, 并收到了相当满意的疗效。

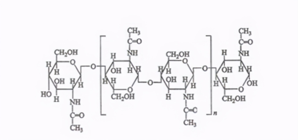
另外,几丁质是构成蝇体的主要成分, 地球上平均每年的昆虫几丁质生产量有10吨 ~ 1 吨 可以与纤维素匹敌, 植物纤维素已广泛的应用于我们的正常生活中, 但昆虫几丁质这一极大的资源却尚未被利用。

为什么不研究一种药物让苍蝇灭绝,苍蝇消失会对地球有什么后果

目前科学家正在致力于几丁质利用的研究, 如在洗发膏中加入经过处理后的几丁质化合物后, 能使头发滑润而富有光泽。几丁质还可用于吸附剂, 用来处理污水, 其能力不亚于人工合成的高分子吸附材料, 是未来环保产业的重要材料。几丁质也是一种有希望的医用材料, 可用于制作手术用的缝合线, 人工皮肤等。

仿生学是近四、五十年发展起来的 、属于生命科学与技术科学之间的边缘学科 。近年来, 以蝇类的结构与功能进行了如下仿生学研究,比如蝇类触角与平衡棒的功用;根据家蝇复眼精确的导航机理, 研制出运动机器人的视觉导航装置;利用苍蝇大小的虫形机器人用最小入侵手术技术在人的体腔内实施手术等。

为什么不研究一种药物让苍蝇灭绝,苍蝇消失会对地球有什么后果

总结

所以,虽然说苍蝇的确有许多讨人厌的地方,它们也有自己存在的价值,无论是对自然界还是对人类社会,苍蝇都具有无可替代的作用。

为什么不研究一种药物让苍蝇灭绝,苍蝇消失会对地球有什么后果