在中国西域,龟兹最早是从汉代进入我国的视野的。班固《汉书·西域传》:“龟兹国,王治延城,去长安七千四百八十里。户六千九百七十,口八万一千三百一十七,胜兵二万一千七十六人。……南与精绝、东南与且末、西南与酐弥、北与乌孙、西与姑墨接。能铸冶、有铅。东至都护所乌垒城三百五十里。
汉武帝通西域后,龟兹夹在西汉和匈奴两大势力之间,多次反复,袭杀汉使。其后龟兹王绛宾娶乌孙汉解忧公主之女为夫人。绛宾及其后多次入汉朝,与汉亲,诚心臣服于西汉。
《隋书·龟兹》:“龟兹国,汉时旧国,都白山之南百七十里,东去焉耆九百里,南去于阗千四百里,西去疏勒千五百里,西北去突厥牙六百余里,东南去瓜州三千一百里。龟兹王姓白,字苏尼咥。都城方六里。胜兵者数千。风俗与焉耆同。龟兹王头系彩带,垂之于后,坐金师子座。龟兹国土产多稻、粟、菽、麦,饶铜、铁、铅、麖皮、铙沙、盐绿、雌黄、胡粉、安息香、良马、封牛。隋大业中(615年),龟兹国王遣使贡方物。”
11世纪末,回鹘的喀喇汗王朝改宗伊斯兰教,对西域诸佛国发起了旷日持久的“圣战”。随着黑汗王朝(操突厥语的民族在今*疆新**、中亚建立的封建王朝)的强盛,大概在11世纪末 ,龟兹脱离西州回鹘,归附喀什噶尔汗,皈依伊斯兰教。从此,龟兹不再是一个独立或半独立的政权。1758年(乾隆二十三年)龟兹归入清版图,定名库车。
龟兹是古印度、希腊——罗马、波斯、汉唐四大文明在世界上惟一的交汇之处。同时还是地处丝绸之路上的中西交通要冲。现今这里保存着包含古代印度犍陀罗、龟兹、吐番、中原汉地文明的大量文化遗存。

受印度文化影响的壁画

受希腊文化影响的壁画

受波斯文化影响的壁画
一、 龟兹的地理位置和中古时期概况。
龟兹,又有丘慈、归兹、邱慈、屈茨、苦叉、俱支、屈兹、屈支、拘夷等称谓,即今天我国*疆新**库车一带,是我国古代西域地区的大国之一,也是西域政治、经济、文化重心。龟兹国是古代塔里木盆地周边最大的绿洲城邦,东西方向均被戈壁沙漠包围,北部接天山中段南麓,终年降水量充沛,植被茂盛;南部比邻塔克拉玛干沙漠,位于沙漠北部边缘的塔里木河,所形成的冲积平原为龟兹的农业、畜牧业提供了天然场所。
龟兹古国建立时间尚未见明确记载,考古工作者在今*疆新**库车县所发现的新石器时代晚期的遗物,如石犁、石斧、磨石等器物均可证实龟兹古国的历史可以追溯到五六千年以前,由此也揭示了龟兹古国悠久的文化历史。

龟兹在秦汉时期是西域诸国中人口最多、兵力最强盛的城邦。龟兹地区出土的古代人头骨的体质形态特点和人种系统的测量分析及科学研究显示,龟兹地区古代居民有高加索人种、蒙古利亚人种、西方欧罗巴人种、汉族人种,由此可以推断,古龟兹应是一个多民族、多人种聚居的地区,不同人种、民族的人们在生活的过程中促进了文化的交融,形成了独具特色的龟兹文明。
龟兹国为汉唐时期的西域大国,其疆域几经变化。最初龟兹国疆域仅包括龟兹绿洲以及拜城盆地所在区域。至魏晋南北朝龟兹国势力强盛时, 其西部的姑墨、温宿都役属于龟兹。唐时,《新唐书·地理志》明确记载:“据史德城,龟兹境也,一曰郁头州,在赤河北岸孤石山。”据史德城即今天考古发掘的距巴楚县东北方向约50公里的托库孜萨来古城。

公元3—10世纪龟兹国的疆域相对稳定,包括今库车、沙雅、新和、拜城四个直辖县外,还包括阿克苏、乌什、柯坪、阿瓦提、温宿、巴楚、 轮台及库尔勒、尉犁西部等地区。

公元前6世纪,佛教由释迦牟尼创建于印度恒河中下游地区。公元前3世纪,阿育王因忏悔自己在征服过程中大肆屠戮的罪过,开始崇信佛教并对其大力弘扬,派遣大批传教士前往四方传播佛法,佛教得以在迦湿弥罗(今克什米尔地区,即史籍中所载“罽宾国”)和犍陀罗(今阿富汗东部和巴基斯坦西北部地区)一带流传。玄奘西游,途径龟兹到印度取经。

西汉时期龟兹国的人口数量远高于焉耆、姑墨、杅弥三国之和,其兵力也是焉耆国三倍之多,不愧为“塔里木盆地最大的绿洲国”。

随后,佛教越过葱岭,传至环塔里木地区。公元前2 世纪时佛教初传龟兹地区,至3世纪时龟兹佛教兴起,并兴盛千年。龟兹地区作为佛教文化重镇,是佛教文化传播的重要策源地,影响波及周边绿洲国家以及中原地区。随着中原佛教逐渐成熟,汉传佛教回流至龟兹地区,至10世纪被回鹘佛教所替代。11世纪时,伊斯兰教传播至环塔里木地区,佛教最终走向消亡。

唐朝对西域各绿洲国家的管理采取安定宽和的统治政策。龟兹地区曾出现有汉式风格的村名,其时有大量汉人存在,他们聚族而居形成汉人村落。唐开元时期用于安置汉商的行客营就已出现,以五十人为一队编入军营。
二、 隋唐时期龟兹古乐传入中原,成为宫廷乐舞。
隋朝统一前中国经历了四百来年的战乱。频繁的战乱打破了长久以来“礼乐”制度对人们的禁锢,为汉族文化和西域少数民族文化的交融创造了条件。中国音乐史上辉煌的隋唐燕乐中就容纳了多部西域不同地区的音乐。燕乐,又称“讌乐”、“宴乐”,有广义与狭义之分。广义的燕乐,是指宫廷飨宴宾客时所奏的音乐。狭义的燕乐,是指位居唐代“九部乐”之首的《讌乐》。隋唐多部乐是在多民族融合的基础上在宫廷中上演,其中龟兹乐成为西域诸乐之首,“逡巡大遍凉州彻,色色《龟兹》轰录续”就是唐代诗人元稹对龟兹乐不断上演的描述。龟兹乐的传入不仅受到丝绸之路、佛教东传的影响,而且还深受西汉以来的政治环境、统治者喜好的影响。汉唐间龟兹乐的传入以及对隋唐、乃至宋代的宫廷音乐都颇具影响。

隋唐时期国力强盛、经济繁荣,音乐也达到高潮。汉经南北朝、隋、唐朝,在频繁的战乱中形成一定规模的民族融合。大量的西域音乐传入中原地区,向宫廷音乐渗入,动摇了雅乐的正统地位,形成了隋唐时期宫廷音乐雅、俗、胡三足鼎立的局面。其中尤以颇具西域特色的龟兹乐为主,因为其音乐风格迥异,在宫廷音乐中对二部伎、《破阵乐》等都有影响。
《隋书》、《新唐书》、《文献通考》、《唐六典》等文献中对多部乐称之为“伎”,《旧唐书》中,对多部乐称之为“乐”,因此学界多数人将隋唐宫廷多部乐中的龟兹一部惯称为“龟兹乐”。

雅乐是我国古代音乐的重要组成部分,起源于周代礼仪制度,主要用于宫廷祭祀和朝会礼仪等活动中。历代统治者认为,雅乐是沟通天、地、人之间的纽带,是震慑人心的艺术,在郊社、宗庙、乡射、宫廷礼仪和各种庆典中都使用雅乐。隋朝雅乐最初沿用北周雅乐,太常雅乐使用了北朝魏、齐的“胡夷之声”,演奏雅乐所使用的乐器,加入了箜篌、筚篥、琵琶等西域乐器,甚至太常寺中造乐的乐工中也杂有胡人。直至开皇 589 年,隋灭梁、陈,大批乐工作为俘虏被带回长安,隋文帝听到南朝的“吴楚之声”后,大赞其为“华夏正声”,并专门设立“清商署”命人演奏。
前秦建元十九年(383年)至次年,前秦骁骑将军吕光率军攻西域(龟兹)获胜。吕光远征西域的胜利为尔后建立后凉政权奠定了基础。《隋书》记载“起自吕光灭龟兹,因得其声。吕氏亡,其乐分散,后魏平中原,复获之。其声后多变易。至隋有《西国龟兹》、《齐朝龟兹》、《土龟兹》等,凡三部。”原来,吕光灭龟兹,不仅带回了奇异珍宝,而且将其音乐带回,吕氏亡后,龟兹乐也随之分散各地,但后来的龟兹乐在流传过程中由于流传的时间不同、所经地域不同,造成了隋朝龟兹乐的三种形式——西国龟兹、齐朝龟兹、土龟兹。

《隋书·音乐志》中记载龟兹乐有歌曲《善善摩尼》、解曲《婆伽儿》、舞曲《小天》,都是佛教名称,由此分析,“西国龟兹”就是“佛国龟兹”。说明西国龟兹即是龟兹乐相对原始的形态。
齐朝龟兹是北齐留下的龟兹乐。北齐文宣帝高洋崇尚及时享乐,他非常喜欢龟兹乐并经常击鼓为乐队伴奏。《隋书·音乐志》载“杂乐有西凉鼙舞、清乐、龟兹等。然吹笛、弹琵琶、五弦及歌舞之伎,自文襄以来,皆所爱好。至河清以后,传习尤盛。后主唯赏胡戎乐,耽爱无已。”在北齐,《龟兹乐》、《西凉乐》是宫廷中出现频率最高的乐舞,贵族阶级争相学习琵琶,以便于日常交际应酬。

土龟兹,指不同时期流传至中原地区,长期以来经中原人民再度创作的龟兹乐。龟兹乐开始东传追溯到汉武帝时,汉朝与乌孙通婚,将解忧公主嫁与乌孙王翁归靡,后生下一女名为弟史,弟史成为了龟兹王绛宾的夫人,绛宾与中原便开始长期交流。另外,丝绸之路便捷的交通、关中一带经商的胡商等都给龟兹乐创造了畅通的东传途径。经过不同途径传至中原的龟兹乐,长期以来吸收不同地方的音乐,形成了一种新型的中原音乐气息浓郁的土龟兹乐。

唐代建国以后,在政治上先后出现了“开元之治”和“贞观之治”,发展空前繁盛。文化上,统治者开放的政策及亲身参与更是极大的推动了龟兹乐前进的伐。贞观十四年,以《讌乐》为诸乐之首,最终形成唐朝九部乐:《讌乐》、《清商伎》、《西凉伎》、《天竺伎》、《高丽伎》、《龟兹伎》、《安国伎》、《疏勒伎》、《康国伎》。形成唐代十部乐。
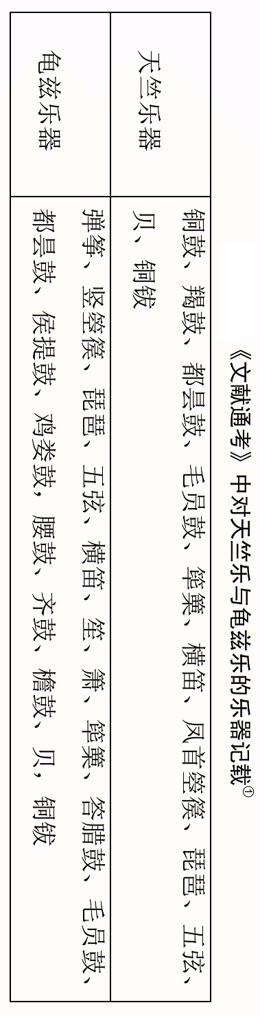
唐朝文献中记载的主要乐器有:
龟兹部:笛、筚篥、箫、羯鼓、腰鼓、揩鼓、鸡娄鼓、四色鼓、铜鼓、拍板、方响;
胡部:琵琶、五弦、筝、箜篌、筚篥、笙、笛、拍板、方响、拍板、铜钹;
鼓笛部:笛、杖鼓、拍板;
大鼓部:大鼓。

史料分析,龟兹乐并非全盘来自印度。天竺乐使用的乐器共有十一种,龟兹乐共有十八种,二者共有的乐器有九种。龟兹乐中使用的弹筝、竖箜篌、笙、箫、鸡娄鼓、候提鼓、答腊鼓、腰鼓、檐鼓、齐鼓都为天竺乐所无,而天竺乐器中只有一种铜鼓是龟兹乐所没有,所以说龟兹乐与天竺乐有相互借鉴吸收的过程,但仍保存了各自的特色,如同样都使用箜篌,但龟兹乐使用竖箜篌,天竺乐使用卧箜篌等。在交流的过程中,龟兹乐保持了自己独有的特色,气鸣乐器、弦鸣乐器、膜鸣乐器、体鸣乐器各占一定比例,其中膜鸣乐器在数量上占主要地位,也印证了玄奘对龟兹的描述——“管弦伎乐,特善诸国。”


魏晋南北朝时期长期频繁的战争直接导致大规模的人口迁移。传说西域地区在西晋时期迁入中原的有数十万人之多。到北魏时期,朝廷曾一度专门在中原地区设立“吨峨馆”接待往来客人。这种民族的迁移以及开放豁达的社会环境使得多民族文化之间逐渐融合,为乐舞艺术的传播和发展提供了宝贵而又充足的社会环境。这一时期西域乐舞中突出的代表是龟兹乐、疏勒乐、高昌乐、康国乐、安国乐、天竺乐。
隋文帝皇后独孤氏,为鲜卑贵族之女,隋炀帝杨广是些许鲜卑化的汉人。李渊母亲独孤氏,皇后窦氏为鲜卑人,李世民受其母亲胡文化影响;李世民皇后长孙氏,是北魏拓跋氏的后代,中原与西域持久联姻,也是西域音乐在中原兴盛的主要契机。

三、开放的盛唐是中华民族包容兼蓄各种文明的时期,从西域乐舞看西域文化对中原文化的影响,以及和中原文化的融合。
公元 653 年,唐朝政府将安西都护府设于龟兹,使龟兹变成了西域20 个都督府的中心。康国、石国等都在安西都护府管辖范围之内,加之交通便捷,西域各国之间的音乐交流更加密切,各国的音乐在传入中原之前先经过龟兹,并且成为龟兹经常上演的乐舞。

狮子舞。狮子源于非洲和亚洲西部地区,古代中国的狮子通过外邦不断进献得来。狮子在波斯象征力量,是王权的象征,在印度佛教中有降除心魔、威震四方的意义,是文殊菩萨的坐骑。狮子与佛教这种图腾崇拜结合并进入中原,被人们视为祥瑞之兆。《新唐书》:“《龟兹伎》……舞者四人。设五方师子,高丈余,饰以方色。每师子有十二人,画衣,执红拂,首加红袜,谓之师子郎。”
胡旋舞。胡旋舞出自西域,北周时传入中原。《新唐书·西域记》中记载,开元初年,康国、史国、米国先后进献过胡旋舞。胡旋舞节奏快、旋律快是其基本特征。

胡腾舞。胡腾舞是西域传入中原之舞蹈,有可能最早产生于石国。以舞者腾踏、跳跃、旋转、反手掐腰、耸肩等为特征,反映西域人民豪情奔放、诙谐幽默的性格。

柘枝舞。《柘枝舞》是源于西域的著名乐舞,是一种女子双人舞,属于健舞类,而与之称谓相似的《屈柘枝》属于软舞类。“健舞”的特征是刚柔并济,节奏鲜明。
泼寒胡戏。泼寒胡戏,又有浑脱、苏幕遮、乞寒舞等名称,是中亚、西域地区一代的风俗性歌舞活动,龟兹、康国、高昌都有此项活动,在南北朝时传入中原。泼寒胡戏是一种活动场面大型、兼具时令性和宗教性的歌舞活动,表演时的歌舞称为《苏幕遮》,活动场面声势壮观浩大,通常在七八月、十一月举行。表演时男子头戴毡帽,裸露身体,女子身穿锦衣长袍,带上各种鬼神、猛兽的面具,舞者手中拿着钩索、或者是水囊,以水相泼,与路人逗玩。伴奏乐器由大鼓、小鼓、琵琶、五弦、箜篌、笛组成。泼寒胡戏又叫乞寒舞。

四、从龟兹古乐传入中原,成为汉民族传统国乐,看中华文化的包容性,以及各民族之间的融合。
中国历史上的民族大融合促成了隋唐燕乐的辉煌成就,而隋唐时期崇尚自由、积极向上的社会环境也促使着人们对美的向往。在民族融合的过程中中,西域音乐渐渐被中原人民熟识,它那欢快的节奏、飞旋的身姿往往令人耳目一新。龟兹乐自隋初被列入“七部乐”起,它独具风味的音乐就受到肯定,在隋唐多部乐中有不可替代的地位。

隋唐宫廷中龟兹乐根据不同时期的不同需要,在乐师和中原人民的智慧中不断发展、探索和求变,使它在新的环境下仍然具有竞争力。北魏孝文帝*都迁**时,有大量的胡人入华,道唐代长安人对这种新生事物争相模仿,“胡靴、胡帽”一时间成了一种潮流。但影响是相互的,音乐的传播依靠乐人,宫廷中的西域乐人如曹保保祖孙三代、米嘉荣父子等几代为宫廷服务,这些久居中原的西域乐人在中原逐渐被华化。

虽然隋唐时期宫廷中的龟兹乐整体保存着自己的民族特色,如打击乐器为主形成热烈明快的音乐风格,舞蹈服饰考究、舞蹈风格飘逸欢腾,乐曲起伏跌宕等等,但它的乐队编制中加入弹筝、笙、箫等汉族乐器,是一种与中原文化融合之后呈现在宫廷中的艺术。
