《西游记》第三回,孙悟空从东海龙王那里“借”了一根“定海神针”,成了孙悟空“称手”的兵器,叫做如意金箍棒。有人根据“金箍棒”这个名字就认为金箍棒是金子做的,很值钱。

金箍棒是金子做的吗?
这定海神针原本是“大禹治水之时,定江河浅深的一个定子,是一块神铁”。作为定海神针的金箍棒“乃是一根铁柱子,约有斗来粗,二丈有余长”。棒是九转镔铁炼,老君亲手炉中煅。虽然书中交代得很清楚,但很多读者就是视而不见。那我们就从密度的角度算一算,看金箍棒是否真的是铁?
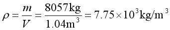
书中给出的数据:“乃是一根铁柱子,约有斗粗,二丈有余。……重一万三千五百斤”。虽然后来金箍棒能按孙悟空的愿望随意变大变小,但这是金箍棒的原始尺寸,权且按此数据计算。按照《历代度量衡简表》认定:从唐到清一斤均为596.82克,金箍棒的质量就是8057.07千克;明代的一尺合31.10厘米,“二丈有余”就算长度为6.5米;“斗粗”的意思是横截面积和“斗”的差不多,但斗的形状是梯形,姑且以斗口为标准,目测斗口的边长约为0.4米,横截面积就为0.16平方米,体积约为1.04立方米(动画片《大闹天宫》的画面中,金箍棒似乎显得更粗一些)。

《大闹天宫》中悟空初遇”如意金箍棒“
金箍棒的密度就是:

铁的密度通常记为7.8-7.9×10^3 kg/m^3。哎呀,这金箍棒真的和铁的密度十分接近!看样子吴承恩写的虽然是神怪小说,但对一些事物的描写也不是想当然地乱写,还是十分注重各种事物的真实性。
孙悟空的如意金箍棒真是一件了不起的兵器,可大可小,变化多端。当金箍棒变得像一根绣花针藏到孙猴子的耳朵眼里的时候,如果金箍棒的质量保持不变,那密度差不多与中子星的密度相等了!当然,没有哪种物质在普通条件下有这么大的伸缩程度,这部分就是吴承恩天马行空的艺术想象!