一道初中求梯形面积的题
已知梯形ABCD, AB平行于CD,AB=9, CD=12, 对角线交于K点,三角形AKD的面积为24,求梯形ABCD的面积。

解:首先要证明三角形KBC的面积=三角形KAD的面积=24, 这是因为对应同一个底AB的两个三角形DAB和CAB由于是梯形,所以等高,因此面积相等,它们减去公共部分的三角形KAB的面积仍然相等,即证得三角形KBC的面积等于KAD,(这个定理对应梯形是普遍的。)
由于三角形KAB相似于三角形KCD,因此:

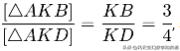
三角形AKB与三角形AKD有共同的高,所以面积比等于底边之比,这里用中括号表示面积:

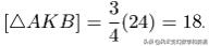
所以:

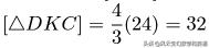
同理:

最后求得梯形面积:
