
射频功率放大器通常由输入电路、输出电路和电源导轨组成。这些导轨分为正电压、负电压,或者二重正负电压。这些输入电路、输出电路和电源导轨在所允许的功率、电压和电流下运行,制造商希望能在该规定范围内测试其工作效能。
在某些情况下,放大器可能超出规定范围运行。事先进行特定设置,可以更好地检测射频功率放大器的运转状态。在此类情况下,在输入电路/输出电路和电流/电压监测传感器处安装定向耦合器可以实时监测功率放大器的运行状态。

Pin是输入功率,Pout是输出功率,Padd是直流电源。
附加功率效率(PAE)是射频放大器(尤其是射频功率放大器)的关键指标。我们可以用输入功率、输出功率和直流电源(直流输入功率)计算PAE。以下是计算PAE的简单公式。

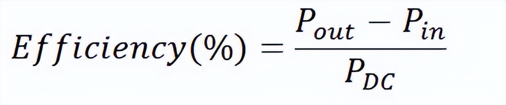
效率(%)是附加功率效率(PAE),Pout是输出功率,Pin是输入功率,PDC是直流电源。
从等式中可以清楚地看出,PAE是指,输入和输出功率与直流电源功率或放大器的直流输入功率差的比值
这是比较各种功率放大器性能的标准方法。这样,可以在实际应用的条件下或实验室条件下测试多个放大器,并比较它们的效率。
对于广播通信和其他放大器以及其他使用成本有限的应用程序,PAE是一个关键指标,其重要性甚至超过了其他指标。
此指标对射频工程师的重要性不言而喻,因此Pasternack提供了一个免费且无需注册的射频功率放大器附加功率效率(PAE)计算器,使用Pasternack 附加功率效率计算器方便又快捷。用户只需提供以所选单位(毫瓦、分贝瓦、分贝或瓦)表示的输入功率、所选单位表示的输出功率和所选单位表示的直流输入功率。
输入数据后单击计算按钮就可以得到PAE结果。理论上的PAE在0%和100%之间,实际上放大器的可实现PAE在百分之几且小于百分之百。