
数列基础知识归纳

等差数列定义与性质
定义:
an+1-an=d (d为常数),
an= a1+(n-1)d
等差中项:
x , A , y成等差数列: 2A=x+y
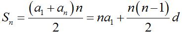
前n项和:

性质: {an}是等差数列
(1)若m+n=p+q,则am+an=ap+aq ;
(2)数列{a2n-1},{a2n},{a2n+1}仍为等差数列,Sn,S2n-Sn,S3n-S2n,等仍为等差数列,公差为n2d ;
(3)若三个成等差数列,可设为a-d,a,a+d ;
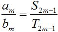
(4)若an,bn是等差数列,且前n项和分别为Sn,Tn,则

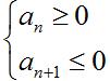
(5){an}为等差数列,则Sn=an2+bn(a,b为常数,是关于n的常数项为0的二次函数),Sn的最值可求二次函数Sn=an2+bn的最值;或者求出{an}中的正、负分界项,即:
当a1>0,d<0,解不等式组:

可得Sn达到最大值时的n值。
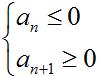
当a1<0,d>0,解不等式组:

可得Sn达到最小值时的n值。
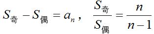
(6)项数为偶数2n的等差数列{an},有

(7)项数为偶数2n-1的等差数列{an},有

等比数列定义与性质

性质:{an}是等比数列
(1) 若m+n=p+q,则am•an=ap•aq
(2) Sn , S2n-Sn , S3n-S2n , 等仍为等比数列,公比为qn
注意:
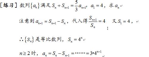
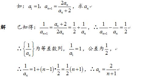
由Sn求an时应注意什么?
n=1时,a1=S1 ;
n≥2时,an=S1-Sn-1
求数列通项公式的常用方法
求差(商)法

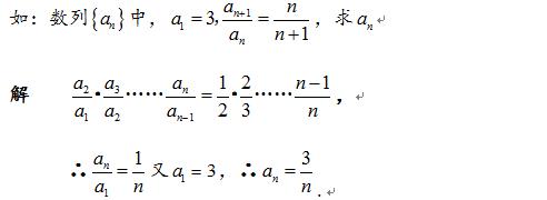
叠乘法

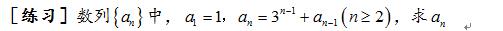
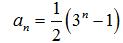
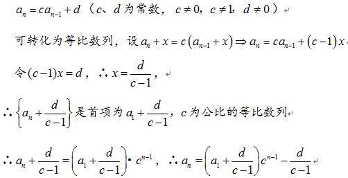
等差型递推公式

答案:

等比型递推公式

倒数法

▍ 来源:综合网络
▍ 编辑:Wulibang(微信:2820092099)
▍ 声明:如有侵权,请联系删除;若需转载,请注明出处。
▍ 提示:①查看历史消息,请点击文章标题下方的公众号名称;②进入公众号,发送关键词给我们,我们会自动回复相关内容给你。
--END--
