
概述
短路及其原因、后果
短路:指供电系统中不同电位的导电部分(各相导体、地线等)之间发生的低阻性短接。
主要原因:电气设备载流部分的绝缘损坏,其次是人员误操作、鸟兽危害等。
短路后果:
短路电流产生的热量,使导体温度急剧上升,会使绝缘损坏;
短路电流产生的电动力,会使设备载流部分变形或损坏;
短路会使系统电压骤降,影响系统其他设备的正常运行;
严重的短路会影响系统的稳定性;
短路还会造成停电;
不对称短路的短路电流会对通信和电子设备等产生电磁干扰等。
短路的类型


计算短路电流的目的
为了选择和校验电气设备、载流导体和整定供电系统的继电保护装置,需要计算三相短路电流;
在校验继电保护装置的灵敏度时还需计算不对称短路的短路电流值;
校验电气设备及载流导体的力稳定和热稳定,就要用到短路冲击电流、稳态短路电流及短路容量;
对瞬时动作的低压断路器,则需用冲击电流有效值来进行其动稳定校验。
三相短路时的电压、电流曲线

无限大容量电源——内阻抗为零的电源。
当电源内阻抗为零时,不管输出的电流如何变动,电源内部均不产生压降,电源母线上的输出电压维持不变。
短路电流的计算方法
进行短路电流计算,首先要绘出计算电路图。
在计算电路图上,将短路计算所需考虑的各元件的额定参数都表示出来,并将各元件依次编号,然后确定短路计算点
短路计算点要选择得使需要进行短路校验的电气元件有最大可能的短路电流通过。

在无限大容量电源供电系统中发生三相短路时,短路电流的周期分量的幅值和有效值是不变的。

标幺值法

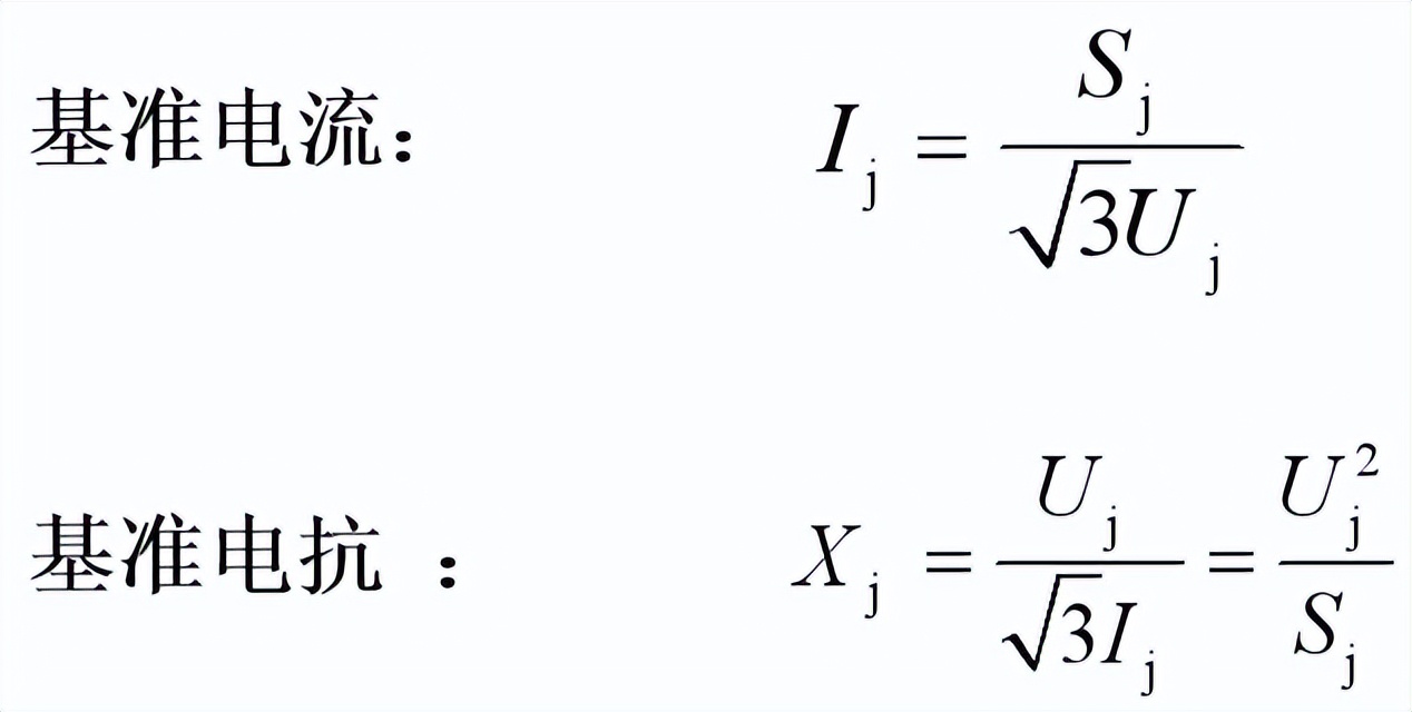
按标幺值法进行短路计算时,一般是先选定基准容量Sj和基准电压Uj 。
基准容量,工程设计中通常取Sj =100 MVA。
基准电压,通常取短路点处的短路计算电压,即取Uj =Uc

供电系统中各元件电抗标幺值









电气设备的动稳定度和热稳定度校验
短路电流的力效应和热效应
电力系统发生短路故障时,短路电流是相当大的,短路电流通过电器和导体,一方面要产生很大的电动力,即力效应;另一方面要产生很高的温度,即热效应。
短路电流的力效应和动稳定度的校验
供电系统短路时,短路电流特别是短路冲击电流将使相邻导体之间产生很大的电动力,可使电器和载流导体遭受严重的机械性破坏。为此,要使电路元件能承受短路时最大电动力的作用,电路元件必须具有足够的电动稳定度。
短路动稳定度的校验条件

短路电流的热效验和热稳定度校验
导体通过正常负荷电流时,由于导体具有电阻,因此要产生电能损耗。这种电能损耗转换为热能,一方面使导体温度升高,另一方面向周围介质散热。当导体内产生的热量与导体向周围介质散失的热量相等时,导体就维持在一定的温度值。
由于短路后线路的保护装置很快动作,切除短路故障,所以短路电流通过导体的时间不会很长,一般不超过2~3s。因此在短路过程中,可不考虑导体向周围介质的散热,即近似地认为导体在短路时间内产生的热量,全部用来使导体温度升高。

假设在某一假想时间tima 内导体内通过短路稳态电流 I∞ 所产生的热量,恰好等于实际短路电流ik 或 Ik(t) 在实际短路时间 tk 内在导体内产生的热量Qk,即




