前面我们了解了什么是设备故障以及现场调查相关内容接下来我们了解一下如何快速故障分析与排查。

图1 设备突发故障(异常)作业流程
故障分析的进行方式
故障分析之目的是了解故障的本质,并反映至设计上,对故障采取对策 。
为了了解装置、设备潜在的或外在的故障原因、发生机构、发生概率及其影响,做有系统的调查研究。作为设备维修人员,首先要做到以下几点:
①详细观察故障的现象;
②密切关注损坏的部位包括周围跟它有关的部位;
③收集出现问题的实物,进行相应的分析解析工作;
④经常多问几个为什么,打破砂锅问到底,寻求真正的原因;
⑤采用再发防止对策,解决现状问题;
⑥通过故障的解析找到行之有效的预防方法;
⑦了解设备的结构,零部件的机能,以及使用方法等整个系统。
还需要掌握几种常见问题的分析工具 ,以利于系统快速地把握症结所在,进而快速恢复生产。
①掌握大架构及细部分析之综合调查;勿受细微现象所迷惑,先进行大架构之调查(掌握故障之类型)。
②由非破坏的外部分析到内部分析(解剖,破坏的分析)。
③先假设故障的原因,再加以求证(重视实验)。
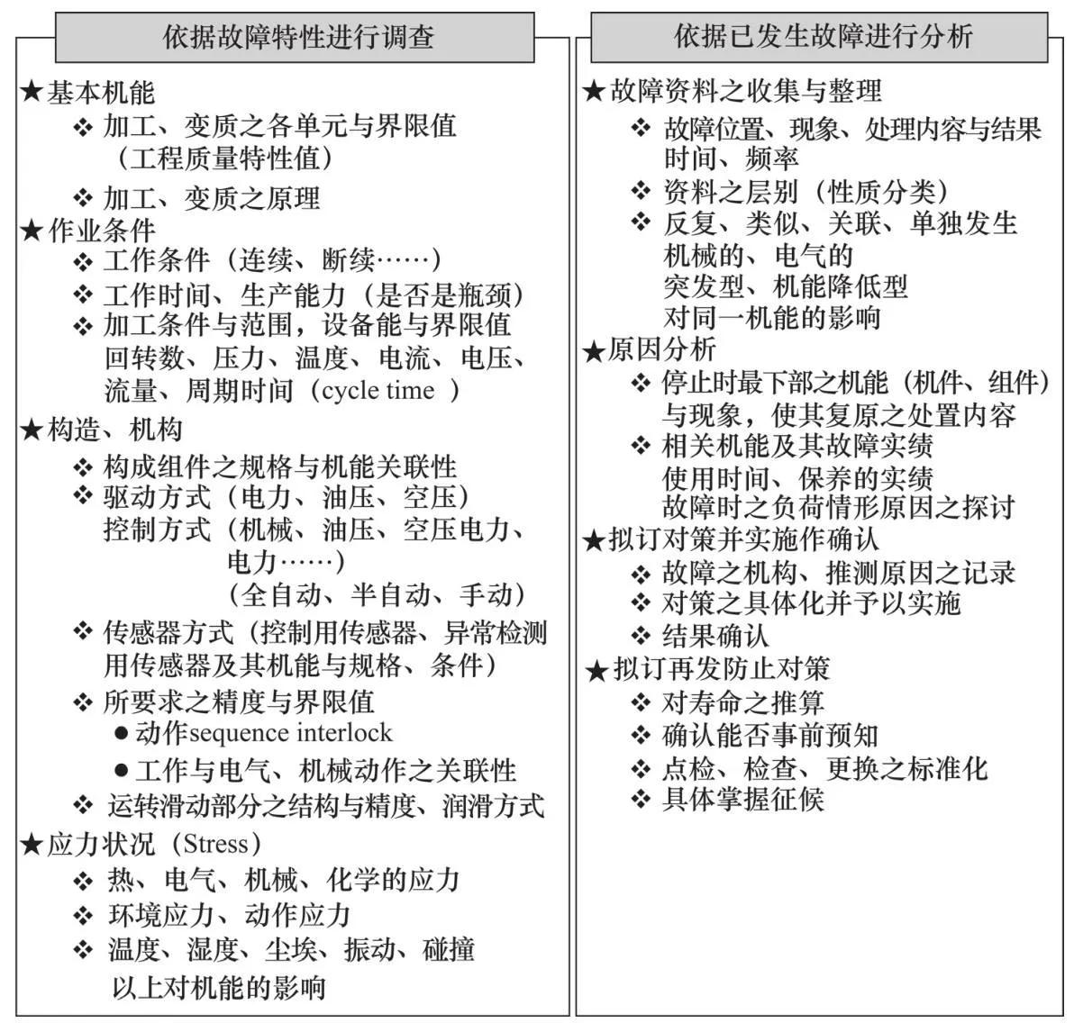
了解发生故障的机构、故障之种类及判断其重要程度等,重要的是,要从质与量两方面去分析如表1所示。
表1 依据设备特性及已发生故障的分析方法

◆ 故障类型 (Failure Mode)
由故障发生机构及结果,进行故障状态之分类。
例如,特性值之劣化、断线、折损、变形、磨耗、腐蚀等。
◆ 故障机构 (Failure Mechanism)
系统及设备的故障在未显现前,探索其原因可说极为复杂,造成故障的原因很多,有物理的、化学的、机械的、电气性、人为因素等,与故障分析相关的故障机构与要因(依据盐见先生之信赖性、保养性之想法及进行方式)其过程大致如图2所示。

图 2 与故障分析相关的故障机构与要因
例 飞轮(Fly-Wheel)轴折断过程……因加油不足,造成轴承发生摩耗,飞轮作偏心旋转,又因设定错误,造成旋转速度超过规定速度,导致轴的折断。
简易故障分析5种工具
2.1 层别法
为区分所收集数据中各种不同的特性特征对结果产生的影响,以个别特征加以分类统计,此类统计方法称为层别法。使用的最多的是空间别:
作业员:不同拉、班、组别;
机器:不同机器别;
原料、零件:不同供给厂家别;
作业条件:不同的温度、压力、湿度、作业场所;
产品:不同的产品别(如同时生产LFP和NCM电池);
时间别:不同批别、不同时间生产的产品;
其他:如使用不同的工艺方法生产的同种产品别。
通常可以根据层别获得比整体事件更多的分析结果。但由于某些层别的失败导致了错误的情报,所以在划分层别的时候既要使用工程技术方面的知识及经验,也要使用特性要因图,并要检讨其特性与要因的关系,即运用特性要因图里的中骨、小骨的项目划分数据便能得到较好的层别。在层别分析的过程中,对人员、机械、装置、原材料、时间、环境、作业方法的层别是很重要的,具体见表2对应层别举例与解读。
表2 对应层别举例与解读

出色的层别分析应是将数据层别后,能清楚地将层间区别表现出来,关于故障问题的6种层别分类见表3。
表3 故障问题的6 种层别分类

2.2 因果图法
因果图就是结果和原因之间,或者是目标跟对策之间的一个关系,用箭头来连接详细分析原因或者对策的一种图形,称为 特性要因图 ,它也称为 鱼骨图 。
鱼骨图是由日本管理大师石川馨先生所发展出来的,故又名石川图。鱼骨图是一种发现问题“根本原因”的方法,也可以称之为“因果图”。鱼骨图原本用于质量管理。前因总是有后果,通过头脑风暴找出这些因素,并将它们按相互关联性整理、分类,从而形成层次分明、条理清楚,并把重要的因素标出的图形就叫特性要因图。因其形状如鱼骨,所以又叫鱼骨图(以下称鱼骨图),它是一种透过现象看本质的分析方法。鱼骨图分析问题的原因鱼结构如下。
①确定大要因(大骨)时,现场作业一般从“人机料法环”着手,管理类问题一般从“人事时地物”层别,应视具体情况决定。
②大要因须用中性词描述(不说明好坏),中、小要因必须使用价值判断(如……不良)。
③脑力激荡时,应尽可能多而全地找出所有可能原因,而不仅限于自己能完全掌控或正在执行的内容。对人的原因,宜从行动而非思想态度面着手分析。
【实施大脑风暴法(Brain Storming)的注意事项】
◆不可对他人意见进行好坏评判(不评价)。
◆无所顾忌地各抒己见(白日做梦)。
◆在他人意见的基础上,提出更好的意见形成连锁反应(认同)。
◆意见越多越好,三个臭皮匠顶个诸葛亮(重数量而非质量)。
通常大骨:4~8个;中骨:4~5个;小骨:2~3个;孙骨:视情形而定。
④中要因跟问题点、小要因跟中要因间有直接的原因—问题关系,小要因应分析至可以直接下对策。
⑤如果某种原因可同时归属于两种或两种以上因素,请以关联性最强者为准(必要时考虑“三现”主义:即现时到现场看现物,通过相对条件的比较,找出相关性最强的要因归类)。
⑥选取重要原因时,不要超过7项,且应标识在最未端原因。
因果分析图帮助我们找到了主要问题的原因根源,但是我们看一看,造成的原因会很多。拿捏好这个时间,我们就要来做个判断。是不是我们鱼骨图上所表示出来的这些要素,真的就是造成我们不良质量事故的原因。在做过判断之后,我们会发现重要原因通常不超过7个。相关鱼骨图分析案例见图3 设备运转率低原因分析,图4 设备润滑不良磨损因果分析,图5 传感器延伸电缆漏油鱼骨图分析。

图3 设备运转率低原因分析

图4 设备润滑不良磨损因果分析

图5 传感器延伸电缆漏油鱼骨图分析
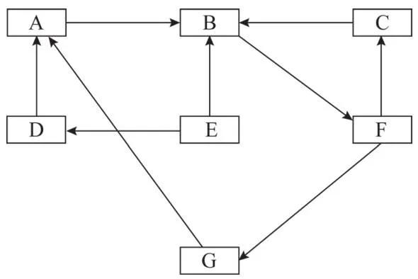
2.3 关联图法
关联图法,是指用连线图来表示事物相互关系的一种方法,也叫关系图法。如图6所示,图中各种因素A、B、C、D、E、F、G之间有一定的因果关系。其中因素B受到因素A、C、E的影响,它本身又影响到因素F,而因素F又影着因素C和G……这样,找出因素之间的因果关系,便于统观全局、分析研究以及拟定出解决问题的措施和计划。

图6 关联图原理
这种图形,可以纵观全貌,关系清楚,主次分明,很容易找出主要问题。关联图具有以下特点。
①它是从分析因果关系入手,能从各种复杂因素交织在一起的诸多因素中找出因果关系,准确抓住主要问题,突出重点,使人们能有效地掌握需要解决的问题。
②不受形式限制,可用灵活的图形来表示问题、因果之间的关系。
③通过简单的直观图形,表达出复杂矛盾事物关系,容易使大家明确重点,意见一致。
④不仅能应用于解决单一目的问题,而且可应用于解决多种问题。
有关因果图分析的案例见图7降低板式给料机因果图分析,图8换料停机时间长因果图分析。

图7 降低板式给料机因果图分析

图8 换料停机时间长因果图分析
2.4 故障树分析
故障树分析(Fault Tree Analysis,FTA)是一种演绎推理法,这种方法把系统可能发生的某种故障与导致故障发生的各种原因之间的逻辑关系用一种称为故障树的树形图表示。通过对故障树的定性与定量分析,找出故障发生的主要原因。故障树分析法是1961年为可靠性及安全情况,由美国贝尔电话研究室的华特先生首先提出的。其后,在航空和航天的设计、维修,原子反应堆、大型设备以及大型电子计算机系统中得到了广泛的应用。目前,故障树分析法虽还处在不断完善的发展阶段,但其应用范围正在不断扩大,是一种很有前途的故障分析法。
FTA法具有以下特点。
①故障树分析是一种图形演绎方法,是故障事件在一定条件下的逻辑推理方法。它可以围绕某特定的故障做层层深入的分析,因而在清晰的故障树图形下,表达了系统内各事件间的内在联系,并指出单元故障与系统故障之间的逻辑关系,便于找出系统的薄弱环节。
②FTA具有很大的灵活性,故障树分析法可以分析由单一构件故障所诱发的系统故障,还可以分析两个以上构件同时发生故障时所导致的系统故障。可以用于分析设备、系统中零部件故障的影响,也可以考虑维修、环境因素、人为操作或决策失误的影响,即不仅可反映系统内部单元与系统的故障关系,也能反映出系统外部因素所可能造成的后果。
③进行FTA的过程,是一个对系统更深入认识的过程,它要求分析人员把握系统内各要素间的内在联系,弄清各种潜在因素对故障发生影响的途径和程度。
④利用故障树模型可以定量计算复杂系统发生故障的概率,为改善和评价系统安全性提供了定量依据。简单地讲,故障树分析类似于鱼骨图分析,也是层层分析的因果框架。不希望出现的事件,即设备故障称为顶事件,用矩形框框起来,中间出现的事件是中间事件,也用矩形框框起来,最后不再展开讨论的称为底事件,用圆圈圈起来。根据这种故障树,就可以从选定的系统故障状态,即顶端事件开始,逐级找出其上一级与下一级的逻辑关系,直至最后追溯到那些初始的或其故障机理及故障概率为已知的,因而不需要继续分析的基本事件为止。这样,就可得出这个系统所有基本事件与其顶端事件之间的逻辑关系。故障树与鱼骨图的重要区别是事件之间要区分其逻辑关系,最常用的是“与”和“或”关系。“与”用半圆记号标记,表示下层事件同时发生才导致上层事件发生;“或”用月牙形标记表示,即下层事件之一出现就会导致上层事件发生。图9为故障树原理图。

图9 故障树原理
手提砂轮由电源、导线、电动机、熔丝、开关和砂轮等原件构成,手提砂轮线路原理见图10。现在发现砂轮机的电动机部分发热烫手,可以利用砂轮机的故障树进行分析,手提砂轮电机过热故障树见图11。根据经验,我们发现手提砂轮机发热是由电动机润滑不良、负荷时间过长及电动机本身电流过大这3个事件以“或”形式构成,即其中之一存在就会导致砂轮机过热。前两个事件是不必要再展开的原因,可以直接解决,所以是“底事件”形式。只有电动机电流大可以再展开,展开成为电路电流太大和保险丝不断两个事件,且以“与”形式并存。后者展开以保险丝容量过大底事件。前者展开成电源电压过高和电动机内部短路两个“或”事件。基本上可以得到完全的“砂轮机发热”的故障树。

图10 手提砂轮线路原理

图11 手提砂轮电机过热故障树
2.5 假设检验法
一般设备故障往往比较复杂,不是简单的推理分析就可以马上解决的,人们可以将问题分解成不同层次,一层一层地加以解决。这就像剥洋葱的方法,剥开一层再剥开一层,直到问题解决。假设检验方法是将问题分解成若干阶段,在不同阶段都提出问题,做出假设,然后进行验证,得到这个阶段的结论,直到最终找出可以解决问题的答案为止。 假设检验法又可以称为“剥洋葱法” ,其逻辑过程为:
阶段A:问题A→假设1,2,……→验证1,2……→结论A;
阶段B:问题B→假设1,2,……→验证1,2……→结论B;
阶段C:问题C→假设1,2,……→验证1,2……→结论C;直到得出可以解决问题的最终结论。
在上面的逻辑验证过程中,每一个阶段都是一次分析过程,下一阶段的问题往往是上一阶段得结论,如“问题B”,一般为“为什么会出现结论A?”然后再假设和验证。直至最后找到故障原因,提出处理意见。
实例:注塑机小泵单独工作压力可达10Mpa,而大、小泵同时工作系统压力仅有5Mpa,机器无法正常工作。
大小泵输出的油路是连通的,小泵正常,说明问题出在大泵上,从大泵逐步分析见表4、表5、表6。
表4 阶段A 问题研究

表5 阶段B 问题研究

表6 阶段C问题研究

处理措施有以下两条:
①重新配换向阀5A配合表面,使之达到公差范围;
②换油并清洗油箱。
创新故障分析的3个手段
3.1 设备故障字典
在早期的设备诊断中,设备维修人员常常将故障诊断经验进行条例化的总结,这些经验以表格的形式反映出来;一些设备制造厂商,为了方便用户使其产品便于维修、维护、保养,也常常随产品自身附带一套自监测系统和故障字典(通常融合在使用手册中),对设备自身的运行加以监控,一旦出现故障,则自动停机并显示其故障编号。用户或专业维修人员可根据显示的编号,查阅该设备的故障字典,对故障的发生部位即故障源进行检修,及时排除故障,以恢复设备的正常运行。这些表格或设备使用手册就是故障字典。
企业常见的故障字典见表7、表8、表9,故障点案例见表10轴承疲劳剥脱(剥落)、点蚀故障字典。
表7 常见故障字典应用实例

表8 常见故障字典应用实例

表9 数字化故障字典

编制故障字典的原则如下:
(1)将最近经常发生的故障向前排,较少发生的故障向后移;
(2)根绝不乱、不漏的原则,不同的故障应该用持有的特征来描述,也就是不同的故障可以通过表征的不同而加以区分;
(3)以最少特征、简单描述表达不同的故障,故障字典力求简洁有效。
表10 轴承疲劳剥脱(剥落)、点蚀故障字典

随着精益生产的推进,不少企业导入了TWI(Training Within Industry,督导人员训练),故障字典也有了新的格式,新格式见案例表11链条装配感应器故障排除故障字典。新格式增加了处理的步骤、处理的步骤要点、要点理由、工具材料以及劳保用品佩戴。
表11 链条装配感应器故障排除故障字典

3.2 维修知道文集与信息化知道平台
在设备管理过程中,为了减少故障处理过程中的分析、判断时间,不少维修人员,记录了详尽的故障维修过程,详细涵盖了维修主要内容:设备名称、设备编号、故障名称、故障现象、原因判定及结论、维修过程步骤及要求、备品备件清单;维修后反省:如若用××工器具则可以加快维修进度,若注意使用某某劳保用品则可以避免某意外伤害等,采用何种验收标准及验收方法可以快速判断维修结果等。
对此可以结合生产线的线别进行区分编制维修知道文集,也可以将企业所有的生产线别汇总到一起,统一编制成册。维修人员经常会在百度搜索相应的备件、工器具以及相应的维修文章,为此部分维修人员也吸收借鉴了百度知道里面的一些功能特性,进而将百度知道的“提问回答”转化为“不用提问直接告诉你的方式”,编制相应的《知道手册》,图12就是某企业编制的《维修可以这么做——像百度知道一样告诉你》,该手册涵盖了企业的机械加工车间、组立组装车间、喷涂车间以及动力车间,该手册一方面可以作为线别维修工翻阅学习的资料,也可以作为线别间维修人员工作异常后的学习素材,另外也可以成为维修多技能教材。此手册堪称企业维修的宝典,建议企业多多采用,此外也可以整合前面所述的故障字典,进行创新。

图12 某企业编制的《维修可以这么做——像百度知道一样告诉你》
随着信息化的普及,不少企业充分利用了信息化的优势,将较为单调的单一推送变为了“搜索的互动式知识问答分享平台——百度知道,用户可以根据自身的需求,有针对性地提出问题;同时,这些答案又将作为搜索结果”。可以说设备信息化的普及为设备管理带来了新的思路,并注入了新的管理活力。
管理案例不再单单是集结成册,而是可以将相应的故障案例进行平台共享,每一个维修案例对内部人员开放,在登录“维修案例库”后,可以采取车间别、产线别依次点击设备名称、设备编号、部件名称、故障名称,就可以看到该设备、故障或者同类设备维修案例,此外也可以根据自己感兴趣的词条进行关键字搜索,查看整体故障情况或者故障排布等。
维修人员或者专业技术人员在日常浏览过程中,只要发现该维修案例有可以修改或补充的地方,可随时进行修改或补充,这点我深有体会。之前不少企业的维修师傅,因为环境影响读书偏少,他们维修设备各个是把好手,但是一涉及总结提炼的时候都会为难。建议这种企业在导入了故障管理信息知识信息平台后,一方面必须要鼓励资深的老师傅使用电脑,将维修过程录进去;另一方面要要求青年骨干尽可能地多补充,真正将维修案例补充完善。虽然已发生的任何修改或补充的日期、时间、实施人、改动条目,均会清楚显示,且会自动生成通知信息发给原作者,但是建议年轻骨干修改后,主动请对应的资深师傅进行一次查验,以保证维修案例的准确性。
对于大型的集团公司,各个对应事业部的维修部门距离比较远,对于一个问题无法通过单线电话沟通的,维修人员也可以将自己维修过程中的案例放置到网络平台上,进行网络会诊或者网络提问,同时也可以进行虚拟积分的交易,如用50分悬赏最佳答案,年终进行回答积分总排名,对排名靠前者进行必要的激励。
相比传统的维修案例库,信息化的维修案例库最大的特点是:人人都知道,知道为人人;提升了自己,帮助了别人。该模式明显地激发了各级管理者、维修人员,甚至是非设备人员来建设维修知道案例库的热情。
也有同行将类似的模式称为“维基百科式的维修案例库”,经过总结我们认为主要体现以下五大功能,功能如表12维基百科式的维修案例库功能。
表12 维基百科式的维修案例库功能

随着信息化的普及,相信越来越多的企业会意识到将传统的维修经验、维修分析工具以及维修案例整合,对企业故障分析带来的益处。
3.3 维修故障微信平台
随着移动互联网时代已经全面来临,微信全面普及,企业在知识资产保密的同时,也不得不意识到微信给人们带来的变化。在微信成为年轻主力军交际的一大工具,企业可以换个角度来思考,既然企业屏蔽不了微信,那么就好好利用微信的便利功能为企业管理服务吧。
为此我在企业辅导的时候,也会建议企业建立相应的微信知识平台,在朋友圈内传播最新的企业管理资讯,如在漯河某企业辅导的时候,在我的建议下企业建立了对应机台的微信知识库,在故障排查过程中,只要扫描微信二维码即可查看该机台曾经发生的故障。图13为该企业的微信扫描二维码,由于涉及内部保密,我做了处理。

图13 企业设备二维码
目前该企业已经完成了锅炉、配电、综合站3个区域的设备二维码的编制,其主要内容包括结构、参数、标准等。通过二维码让设备一“扫”了然,图14 为锅炉站。

图14 锅炉站
【每日分享一点知识,有益点赞收藏关注】
了解了如何快速故障分析与排查,将在下一节分享故障原因分类