初三数学二次根式解题方法 (二次根式和勾股定理测试题)

二次根式是中考必考内容,涉及的考点较多,为帮助同学们掌握此类问题的解题方法,现归纳相关题型,为同学们助力中考。

考点一:二次根式的定义

例1:下列式子一定是二次根式的是( )

初三数学二次根式解题方法,二次根式和勾股定理测试题

做题思路:紧扣二次根式定义,抓住其被开方数大于等于0是解题的关键。

初三数学二次根式解题方法,二次根式和勾股定理测试题

初三数学二次根式解题方法,二次根式和勾股定理测试题

考点二:二次根式有意义的条件

初三数学二次根式解题方法,二次根式和勾股定理测试题

解析:二次根式有意义的条件是被开方数大于等干0,则x-3≥0,解得x≥3.只有D符合题意。故选D。

点评:二次根式有意义的条件是被开方数大于等于0,若分母中含有字母,还要兼顾分母不为0。

考点三:二次根式的性质

初三数学二次根式解题方法,二次根式和勾股定理测试题

考点四:最简二次根式与同类二次根式

初三数学二次根式解题方法,二次根式和勾股定理测试题

点评:一个二次根式为最简二次根式,必须同时满足下列三个条件:

(1)被开方数的因数是整数,因式是整式;

(2)被开方数中不能含有能开得尽方的因式;

(3)被开方数不含分母。

初三数学二次根式解题方法,二次根式和勾股定理测试题

点评:确定几个二次根式是否为同类二次根式,首先要把这几个二次根式化为最简二次根式,然后看它们的被开方数是否相同,如果被开方数相同就是同类二次根式,否则不是。

考点五:二次根式的运算

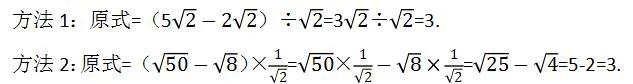
初三数学二次根式解题方法,二次根式和勾股定理测试题

解析:本题有两种解法一种是先进行括号内的二次根式的加减法运算,再进行乘除运算:另一种是先把除法转化为乘法,再应用乘法分配律进行计算。

初三数学二次根式解题方法,二次根式和勾股定理测试题

点评:进行二次根式的混合运算,首先确定其运算顺序,其次灵活运用运算法则进行运算,最后要注意结果应化成最简形式。

学习完,很辛苦,吃顿烧烤犒劳一下自己吧[思考]

初三数学二次根式解题方法,二次根式和勾股定理测试题