
第一章 实数
考点一、实数的概念及分类
1、实数的分类

2、无理数
在理解无理数时,要抓住 "无限不循环 "这一时之,归纳起来有四类:

考点二、实数的倒数、相反数和绝对值
1、相反数
实数与它的相反数时一对数 (只有符号不同的两个数叫做互为相反数, 零的相反数是零),
从数轴上看,互为相反数的两个数所对应的点关于原点对称,如果 a与 b互为相反数,则有
a+b=0,a= - b,反之亦成立。
2、绝对值
一个数的绝对值就是表示这个数的点与原点的距离,
|a| ≥0 。零的绝对值时它本身,也可看成它的相反数,若 |a|=a,则 a≥0;若|a|=-a,则 a≤0。正数大于零,负数小于零,正数大于一切负数,两个负数,绝对值大的反而小。
3、倒数
如果 a与 b互为倒数,则有 ab=1,反之亦成立。倒数等于本身的数是 1和 -1。零没有倒数。
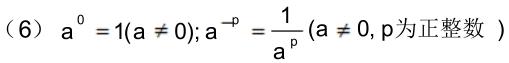
考点三、平方根、算数平方根和立方根
1、平方根
如果一个数的平方等于 a,那么这个数就叫做 a的平方根(或二次方根)。
一个数有两个平方根,他们互为相反数;零的平方根是零;负数没有平方根。

3、立方根

考点四、科学记数法和近似数
1、有效数字
一个近似数四舍五入到哪一位,就说它精确到哪一位,这时,从左边第一个不是零的数
字起到右边精确的数位止的所有数字,都叫做这个数的有效数字。
2、科学记数法

考点五、实数大小的比较
1、数轴
规定了原点、正方向和单位长度的直线叫做数轴(画数轴时,要注意上述规定的三要素缺一不可)。
解题时要真正掌握数形结合的思想, 理解实数与数轴的点是一一对应的, 并能灵活运用。
2、实数大小比较的几种常用方法
(1)数轴比较:在数轴上表示的两个数,右边的数总比左边的数大。

考点六、实数的运算 (做题的基础,分值相当大)
1、加法交换律 a+ b=b+ a
2、加法结合律 (a+b)+c=a+(b+c)
3、乘法交换律 ba= ab
4、乘法结合律 (ab)c=a(bc)
5、乘法对加法的分配律 a(a+c)=ab+ac
6、实数的运算顺序
先算乘方,再算乘除,最后算加减,如果有括号,就先算括号里面的。
第二章 代数式
考点一、整式的有关概念
1、代数式
用运算符号把数或表示数的字母连接而成的式子叫做代数式。单独的一个数或一个字母也是代数式。
2、单项式

考点二、多项式
1、多项式
几个单项式的和叫做多项式。其中每个单项式叫做这个多项式的项。多项式中不含字母的项叫做常数项。多项式中次数最高的项的次数,叫做这个多项式的次数。
单项式和多项式统称整式。
用数值代替代数式中的字母,按照代数式指明的运算,计算出结果,叫做代数式的值。
注意:(1)求代数式的值,一般是先将代数式化简,然后再将字母的取值代入。
(2)求代数式的值,有时求不出其字母的值,需要利用技巧, "整体"代入。
2、同类项
所有字母相同,并且相同字母的指数也分别相同的项叫做同类项。几个常数项也是同类项。
3、去括号法则
(1)括号前是 "+",把括号和它前面的 "+"号一起去掉,括号里各项都不变号。
(2)括号前是 "﹣",把括号和它前面的 "﹣"号一起去掉,括号里各项都变号。
4、整式的运算法则

5
整式的除法:

注意:(1)单项式乘单项式的结果仍然是单项式。
(2)单项式与多项式相乘,结果是一个多项式,其项数与因式中多项式的项数相同。
(3)计算时要注意符号问题,多项式的每一项都包括它前面的符号,同时还要注意单项式的符号。
(4)多项式与多项式相乘的展开式中,有同类项的要合并同类项。
(5)公式中的字母可以表示数,也可以表示单项式或多项式。

(7)多项式除以单项式,先把这个多项式的每一项除以这个单项式,再把所得的
商相加,单项式除以多项式是不能这么计算的。
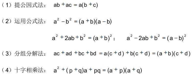
考点三、因式分解
1、因式分解
把一个多项式化成几个整式的积的形式,叫做把这个多项式因式分解,也叫做把这个多
项式分解因式。
2、因式分解的常用方法

3、因式分解的一般步骤:
(1)如果多项式的各项有公因式,那么先提取公因式。
(2)在各项提出公因式以后或各项没有公因式的情况下,观察多项式的项数: 2项式可以尝试运用公式法分解因式; 3项式可以尝试运用公式法、十字相乘法分解因式; 4项式及 4项式以上的可以尝试分组分解法分解因式
(3)分解因式必须分解到每一个因式都不能再分解为止。
考点四、分式

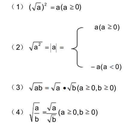
2、最简二次根式
若二次根式满足:被开方数的因数是整数,因式是整式;被开方数中不含能开得尽方的因数或因式,这样的二次根式叫做最简二次根式。
化二次根式为最简二次根式的方法和步骤:
(1)如果被开方数是分数(包括小数)或分式,先利用商的算数平方根的性质把它写成分式的形式,然后利用分母有理化进行化简。
(2)如果被开方数是整数或整式,先将他们分解因数或因式,然后把能开得尽方的因数或因式开出来。
3、同类二次根式
几个二次根式化成最简二次根式以后,如果被开方数相同,这几个二次根式叫做同类二次根式。
4、二次根式的性质

5、二次根式混合运算
二次根式的混合运算与实数中的运算顺序一样,先乘方,再乘除,最后加减,有括号的先算括号里的(或先去括号) 。
第三章 方程(组)
考点一、一元一次方程的概念
1、方程
含有未知数的等式叫做方程。
2、方程的解
能使方程两边相等的未知数的值叫做方程的解。
3、等式的性质
(1)等式的两边都加上(或减去)同一个数或同一个整式,所得结果仍是等式。
(2)等式的两边都乘以(或除以)同一个数(除数不能是零) ,所得结果仍是等式。
4、一元一次方程
只含有一个未知数,并且未知数的最高次数是 1的整式方程叫做一元一次方程,其中方程 )为未知数,(

叫做一元一次方程的标准形式, a是未知数 x 的系数, b是常数项。
考点二、一元二次方程
1、一元二次方程
含有一个未知数,并且未知数的最高次数是 2 的整式方程叫做一元二次方程。
2、一元二次方程的一般形式

2、配方法

考点六、分式方程
1、分式方程
分母里含有未知数的方程叫做分式方程。
2、分式方程的一般方法
解分式方程的思想是将 "分式方程"转化为"整式方程 "。它的一般解法是:
(1)去分母,方程两边都乘以最简公分母
(2)解所得的整式方程
(3)验根:将所得的根代入最简公分母, 若等于零,就是增根,应该舍去;若不等于零,就是原方程的根。
3、分式方程的特殊解法
换元法:
换元法是中学数学中的一个重要的数学思想,其应用非常广泛,当分式方程具有某种特
殊形式,一般的去分母不易解决时,可考虑用换元法。
考点七、二元一次方程组
1、二元一次方程
含有两个未知数,并且未知项的最高次数是 1 的整式方程叫做二元一次方程,它的一般
形式是

2、二元一次方程的解
使二元一次方程左右两边的值相等的一对未知数的值,叫做二元一次方程的一个解。
3、二元一次方程组
两个(或两个以上)二元一次方程合在一起,就组成了一个二元一次方程组。
4二元一次方程组的解
使二元一次方程组的两个方程左右两边的值都相等的两个未知数的值,叫做二元一次方程组的解。
5、二元一次方正组的解法
(1)代入法( 2)加减法
6、三元一次方程
把含有三个未知数,并且含有未知数的项的次数都是 1的整式方程。
7、三元一次方程组
由三个(或三个以上)一次方程组成,并且含有三个未知数的方程组,叫做三元一次方程组。
第四章 不等式(组)
考点一、不等式的概念
1、不等式
用不等号表示不等关系的式子,叫做不等式。
2、不等式的解集
对于一个含有未知数的不等式,任何一个适合这个不等式的未知数的值,都叫做这个不等式的解。
对于一个含有未知数的不等式,它的所有解的集合叫做这个不等式的解的集合,简称这个不等式的解集。
求不等式的解集的过程,叫做解不等式。
3、用数轴表示不等式的方法
考点二、不等式基本性质
1、不等式两边都加上(或减去)同一个数或同一个整式,不等号的方向不变。
2、不等式两边都乘以(或除以)同一个正数,不等号的方向不变。
3、不等式两边都乘以(或除以)同一个负数,不等号的方向改变。
考试题型:
考点三、一元一次不等式
1、一元一次不等式的概念
一般地,不等式中只含有一个未知数,未知数的次数是 1,且不等式的两边都是整式,这
样的不等式叫做一元一次不等式。
2、一元一次不等式的解法
解一元一次不等式的一般步骤:
(1)去分母( 2)去括号( 3)移项( 4)合并同类项( 5)将 x项的系数化为 1
考点四、一元一次不等式组
1、一元一次不等式组的概念
几个一元一次不等式合在一起,就组成了一个一元一次不等式组。
几个一元一次不等式的解集的公共部分,叫做它们所组成的一元一次不等式组的解集。
求不等式组的解集的过程,叫做解不等式组。
当任何数 x 都不能使不等式同时成立,我们就说这个不等式组无解或其解为空集。
2、一元一次不等式组的解法
(1)分别求出不等式组中各个不等式的解集
(2)利用数轴求出这些不等式的解集的公共部分,即这个不等式组的解集。
第五章 统计初步与概率初步
考点一、平均数

考点二、统计学中的几个基本概念
1、总体
所有考察对象的全体叫做总体。
2、个体
总体中每一个考察对象叫做个体。
3、样本
从总体中所抽取的一部分个体叫做总体的一个样本。
4、样本容量
样本中个体的数目叫做样本容量。
5、样本平均数
样本中所有个体的平均数叫做样本平均数。
6、总体平均数
总体中所有个体的平均数叫做总体平均数,在统计中,通常用样本平均数估计总体平均数。
考点三、众数、中位数
1、众数
在一组数据中,出现次数最多的数据叫做这组数据的众数。
2、中位数
将一组数据按大小依次排列,把处在最中间位置的一个数据(或最中间两个数据的平均数)叫做这组数据的中位数。
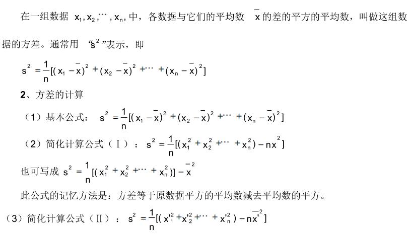
考点四、方差
1、方差的概念


考点五、频率分布
1、频率分布的意义
在许多问题中,只知道平均数和方差还不够,还需要知道样本中数据在各个小范围所占的比例的大小,这就需要研究如何对一组数据进行整理,以便得到它的频率分布。
2、研究频率分布的一般步骤及有关概念
(1)研究样本的频率分布的一般步骤是:
①计算极差(最大值与最小值的差)
②决定组距与组数
③决定分点
④列频率分布表
⑤画频率分布直方图
(2)频率分布的有关概念
①极差:最大值与最小值的差
②频数:落在各个小组内的数据的个数
③频率:每一小组的频数与数据总数(样本容量 n)的比值叫做这一小组的频率。
考点六、确定事件和随机事件
1、确定事件
必然发生的事件:在一定的条件下重复进行试验时,在每次试验中必然会发生的事件。
不可能发生的事件:有的事件在每次试验中都不会发生,这样的事件叫做不可能的事件。
2、随机事件:
在一定条件下,可能发生也可能不放声的事件,称为随机事件。
考点七、随机事件发生的可能性
一般地,随机事件发生的可能性是有大小的,不同的随机事件发生的可能性的大小有可能不同。对随机事件发生的可能性的大小,我们利用反复试验所获取一定的经验数据可以预测它们发生机会的大小。要评判一些游戏规则对参与游戏者是否公平,就是看它们发生的可能性是否一样。所谓判断事件可能性是否相同,就是要看各事件发生的可能性的大小是否一样,用数据来说明问题。
考点八、概率的意义与表示方法
1、概率的意义

考点十、古典概型
1、古典概型的定义
某个试验若具有:①在一次试验中,可能出现的结构有有限多个;②在一次试验中,各
种结果发生的可能性相等。我们把具有这两个特点的试验称为古典概型。
2、古典概型的概率的求法
一般地,如果在一次试验中,有 n 种可能的结果,并且它们发生的可能性都相等,事件A 包含其中的 m中结果,那么事件 A 发生的概率为 P(A)=m/n
考点十一、列表法求概率
1、列表法
用列出表格的方法来分析和求解某些事件的概率的方法叫做列表法。
2、列表法的应用场合
当一次试验要设计两个因素, 并且可能出现的结果数目较多时,为不重不漏地列出所有可能的结果,通常采用列表法。
考点十二、树状图法求概率
1、树状图法
就是通过列树状图列出某事件的所有可能的结果,求出其概率的方法叫做树状图法。
2、运用树状图法求概率的条件
当一次试验要设计三个或更多的因素时,用列表法就不方便了,为了不重不漏地列出所有可能的结果,通常采用树状图法求概率。
考点十三、利用频率估计概率
1、利用频率估计概率
在同样条件下,做大量的重复试验,利用一个随机事件发生的频率逐渐稳定到某个常数,可以估计这个事件发生的概率。
2、在统计学中,常用较为简单的试验方法代替实际操作中复杂的试验来完成概率估计,这样的试验称为模拟实验。
3、随机数
在随机事件中,需要用大量重复试验产生一串随机的数据来开展统计工作。把这些随机产生的数据称为随机数。
第六章 一次函数与反比例函数
考点一、平面直角坐标系
1、平面直角坐标系
在平面内画两条互相垂直且有公共原点的数轴,就组成了平面直角坐标系。
其中,水平的数轴叫做 x 轴或横轴,取向右为正方向;铅直的数轴叫做 y 轴或纵轴,取向上为正方向;两轴的交点 O(即公共的原点)叫做直角坐标系的原点;建立了直角坐标系的平面,叫做坐标平面。
为了便于描述坐标平面内点的位置,把坐标平面被 x 轴和 y 轴分割而成的四个部分,分别叫做第一象限、第二象限、第三象限、第四象限。
注意: x 轴和 y轴上的点,不属于任何象限。
2、点的坐标的概念
点的坐标用( a,b)表示,其顺序是横坐标在前,纵坐标在后,中间有 ","分开,横、纵坐标的位置不能颠倒。平面内点的坐标是有序实数对,当 a不等于b时,(a,b)和( b,a)是两个不同点的坐标。
考点二、不同位置的点的坐标的特征

4、和坐标轴平行的直线上点的坐标的特征
位于平行于 x轴的直线上的各点的纵坐标相同。
位于平行于 y轴的直线上的各点的横坐标相同。

考点三、函数及其相关概念
1、变量与常量
在某一变化过程中,可以取不同数值的量叫做变量,数值保持不变的量叫做常量。
一般地,在某一变化过程中有两个变量 x 与 y,如果对于 x的每一个值, y都有唯一确定的值与它对应,那么就说 x 是自变量, y是 x 的函数。
2、函数解析式
用来表示函数关系的数学式子叫做函数解析式或函数关系式。
使函数有意义的自变量的取值的全体,叫做自变量的取值范围。
3、函数的三种表示法及其优缺点
(1)解析法
两个变量间的函数关系,有时可以用一个含有这两个变量及数字运算符号的等式表示,这种表示法叫做解析法。
(2)列表法
把自变量 x 的一系列值和函数 y 的对应值列成一个表来表示函数关系,这种表示法叫做列表法。
(3)图像法
用图像表示函数关系的方法叫做图像法。
4、由函数解析式画其图像的一般步骤
(1)列表:列表给出自变量与函数的一些对应值
(2)描点:以表中每对对应值为坐标,在坐标平面内描出相应的点
(3)连线:按照自变量由小到大的顺序,把所描各点用平滑的曲线连接起来。
考点四、正比例函数和一次函数


4、正比例函数的性质
一般地,正比例函数 kxy 有下列性质:
(1)当 k>0时,图像经过第一、三象限, y 随 x 的增大而增大;
(2)当 k<0时,图像经过第二、四象限, y 随 x 的增大而减小。
5、一次函数的性质
一般地,一次函数 y=kx+b有下列性质:
(1)当 k>0时, y随 x 的增大而增大
(2)当 k<0时, y随 x 的增大而减小
6、正比例函数和一次函数解析式的确定
确定一个正比例函数,就是要确定正比例函数定义式 y =kx(k不等于0)中的常数 k。确定一个一次函数,需要确定一次函数定义式y =kx(k不等于0)中的常数 k 和 b。解这类问题的一般方法是待定系数法。
考点五、反比例函数


第七章 二次函数



第八章 图形的初步认识
考点一、直线、射线和线段
1、几何图形
从实物中抽象出来的各种图形,包括立体图形和平面图形。
立体图形:有些几何图形的各个部分不都在同一平面内,它们是立体图形。
平面图形:有些几何图形的各个部分都在同一平面内,它们是平面图形。
2、点、线、面、体
(1)几何图形的组成
点:线和线相交的地方是点,它是几何图形中最基本的图形。
线:面和面相交的地方是线,分为直线和曲线。
面:包围着体的是面,分为平面和曲面。
体:几何体也简称体。
(2)点动成线,线动成面,面动成体。
3、直线的概念
一根拉得很紧的线,就给我们以直线的形象,直线是直的,并且是向两方无限延伸的。
4、射线的概念
直线上一点和它一旁的部分叫做射线。这个点叫做射线的端点。
5、线段的概念
直线上两个点和它们之间的部分叫做线段。这两个点叫做线段的端点。
6、点、直线、射线和线段的表示
在几何里,我们常用字母表示图形。
一个点可以用一个大写字母表示。
一条直线可以用一个小写字母表示。
一条射线可以用端点和射线上另一点来表示。
一条线段可用它的端点的两个大写字母来表示。
注意:
(1)表示点、直线、射线、线段时,都要在字母前面注明点、直线、射线、线段。
(2)直线和射线无长度,线段有长度。
(3)直线无端点,射线有一个端点,线段有两个端点。
(4)点和直线的位置关系有线面两种:
28
①点在直线上,或者说直线经过这个点。
②点在直线外,或者说直线不经过这个点。
7、直线的性质
(1)直线公理:经过两个点有一条直线,并且只有一条直线。它可以简单地说成:过两
点有且只有一条直线。
(2)过一点的直线有无数条。
(3)直线是是向两方面无限延伸的,无端点,不可度量,不能比较大小。
(4)直线上有无穷多个点。
(5)两条不同的直线至多有一个公共点。
8、线段的性质
(1)线段公理:所有连接两点的线中,线段最短。也可简单说成:两点之间线段最短。
(2)连接两点的线段的长度,叫做这两点的距离。
(3)线段的中点到两端点的距离相等。
(4)线段的大小关系和它们的长度的大小关系是一致的。
9、线段垂直平分线的性质定理及逆定理
垂直于一条线段并且平分这条线段的直线是这条线段的垂直平分线。
线段垂直平分线的性质定理:线段垂直平分线上的点和这条线段两个端点的距离相等。
逆定理:和一条线段两个端点距离相等的点,在这条线段的垂直平分线上。
考点二、角
1、角的相关概念
有公共端点的两条射线组成的图形叫做角,这个公共端点叫做角的顶点,这两条射线叫做角的边。
当角的两边在一条直线上时,组成的角叫做平角。
平角的一半叫做直角;小于直角的角叫做锐角;大于直角且小于平角的角叫做钝角。
如果两个角的和是一个直角,那么这两个角叫做互为余角,其中一个角叫做另一个角的余角。
如果两个角的和是一个平角,那么这两个角叫做互为补角,其中一个角叫做另一个角的补角。
2、角的表示
角可以用大写英文字母、阿拉伯数字或小写的希腊字母表示,具体的有一下四种表示方法:


同一平面内,两条直线的位置关系只有两种:相交或平行。
注意:
(1)平行线是无限延伸的,无论怎样延伸也不相交。
(2)当遇到线段、射线平行时,指的是线段、射线所在的直线平行。
2、平行线公理及其推论
平行公理:经过直线外一点,有且只有一条直线与这条直线平行。
推论:如果两条直线都和第三条直线平行,那么这两条直线也互相平行。
3、平行线的判定
平行线的判定公理:两条直线被第三条直线所截,如果同位角相等,那么两直线平行。
简称:同位角相等,两直线平行。
平行线的两条判定定理:
(1)两条直线被第三条直线所截,如果内错角相等,那么两直线平行。简称:内错角相等,两直线平行。
(2)两条直线被第三条直线所截,如果同旁内角互补,那么两直线平行。简称:同旁内角互补,两直线平行。
补充平行线的判定方法:
(1)平行于同一条直线的两直线平行。
(2)垂直于同一条直线的两直线平行。
(3)平行线的定义。
4、平行线的性质
(1)两直线平行,同位角相等。
(2)两直线平行,内错角相等。
(3)两直线平行,同旁内角互补。
考点五、命题、定理、证明
1、命题的概念
判断一件事情的语句,叫做命题。
理解:命题的定义包括两层含义:
(1)命题必须是个完整的句子;
(2)这个句子必须对某件事情做出判断。
2、命题的分类( 按正确、错误与否分)
真命题(正确的命题)
命题
假命题(错误的命题)
所谓正确的命题就是:如果题设成立,那么结论一定成立的命题。
所谓错误的命题就是:如果题设成立,不能证明结论总是成立的命题。
3、公理
人们在长期实践中总结出来的得到人们公认的真命题,叫做公理。
4、定理
用推理的方法判断为正确的命题叫做定理。
5、证明
判断一个命题的正确性的推理过程叫做证明。
6、证明的一般步骤
(1)根据题意,画出图形。
(2)根据题设、结论、结合图形,写出已知、求证。
(3)经过分析,找出由已知推出求证的途径,写出证明过程。
考点六、投影与视图
1、投影
投影的定义:用光线照射物体,在地面上或墙壁上得到的影子,叫做物体的投影。
平行投影:由平行光线(如太阳光线)形成的投影称为平行投影。
中心投影:由同一点发出的光线所形成的投影称为中心投影。
2、视图
当我们从某一角度观察一个实物时,所看到的图像叫做物体的一个视图。物体的三视图
特指主视图、俯视图、左视图。
主视图:在正面内得到的由前向后观察物体的视图,叫做主视图。
俯视图:在水平面内得到的由上向下观察物体的视图,叫做俯视图。
左视图:在侧面内得到的由左向右观察物体的视图,叫做左视图,有时也叫做侧视图。第九章 三角形
考点一、三角形
1、三角形的概念
由不在同意直线上的三条线段首尾顺次相接所组成的图形叫做三角形。
2、三角形中的主要线段
(1)三角形的一个角的平分线与这个角的对边相交,这个角的顶点和交点间的线段叫做三角形的角平分线。
(2)在三角形中,连接一个顶点和它对边的中点的线段叫做三角形的中线。
(3)从三角形一个顶点向它的对边做垂线, 顶点和垂足之间的线段叫做三角形的高线 (简称三角形的高)。
3、三角形的稳定性
三角形的形状是固定的,三角形的这个性质叫做三角形的稳定性。三角形的这个性质在生产生活中应用很广,需要稳定的东西一般都制成三角形的形状。
4、三角形的特性与表示
三角形有下面三个特性:
(1)三角形有三条线段
(2)三条线段不在同一直线上
(3)首尾顺次相接
三角形是封闭图形.
三角形用符号 " "表示,顶点是 A、B、C的三角形记作 " ABC",读作"三角形 ABC"。
5、三角形的分类
三角形按边的关系分类如下:

6、三角形的三边关系定理及推论
(1)三角形三边关系定理:三角形的两边之和大于第三边。
推论:三角形的两边之差小于第三边。
(2)三角形三边关系定理及推论的作用:
①判断三条已知线段能否组成三角形
②当已知两边时,可确定第三边的范围。
③证明线段不等关系。
7、三角形的内角和定理及推论
三角形的内角和定理:三角形三个内角和等于 180度。
推论:
①直角三角形的两个锐角互余。
②三角形的一个外角等于和它不相邻的来两个内角的和。
③三角形的一个外角大于任何一个和它不相邻的内角。
注:在同一个三角形中:等角对等边;等边对等角;大角对大边;大边对大角。
8、三角形的面积
三角形的面积 =0.5×底×高
考点二、全等三角形
1、全等三角形的概念
能够完全重合的两个图形叫做全等形。
能够完全重合的两个三角形叫做全等三角形。两个三角形全等时,互相重合的顶点叫做对应顶点,互相重合的边叫做对应边,互相重合的角叫做对应角。夹边就是三角形中相邻两角的公共边,夹角就是三角形中有公共端点的两边所成的角。
2、全等三角形的表示和性质
全等用符号 "≌"表示,读作"全等于"。如△ABC≌△DEF,读作"三角形 ABC 全等于三角形 DEF"。
注:记两个全等三角形时,通常把表示对应顶点的字母写在对应的位置上。
3、三角形全等的判定
三角形全等的判定定理:
(1)边角边定理:有两边和它们的夹角对应相等的两个三角形全等(可简写成 "边角边"或"SAS")
(2)角边角定理:有两角和它们的夹边对应相等的两个三角形全等(可简写成 "角边角"或"ASA")
(3)边边边定理:有三边对应相等的两个三角形全等(可简写成 "边边边"或"SSS")。
直角三角形全等的判定:
对于特殊的直角三角形,判定它们全等时,还有 HL 定理(斜边、直角边定理) :有斜边和一条直角边对应相等的两个直角三角形全等(可简写成 "斜边、直角边 "或"HL")
4、全等变换
只改变图形的位置,二不改变其形状大小的图形变换叫做全等变换。
全等变换包括一下三种:
(1)平移变换:把图形沿某条直线平行移动的变换叫做平移变换。
(2)对称变换:将图形沿某直线翻折 180度,这种变换叫做对称变换。
(3)旋转变换:将图形绕某点旋转一定的角度到另一个位置,这种变换叫做旋转变换。
考点三、等腰三角形
1、等腰三角形的性质
(1)等腰三角形的性质定理及推论:
定理:等腰三角形的两个底角相等(简称:等边对等角)
推论 1:等腰三角形顶角平分线平分底边并且垂直于底边。即等腰三角形的顶角平分线、
底边上的中线、底边上的高重合。
推论 2:等边三角形的各个角都相等,并且每个角都等于 60°。
(2)等腰三角形的其他性质:

2、等腰三角形的判定
等腰三角形的判定定理及推论:
定理:如果一个三角形有两个角相等,那么这两个角所对的边也相等(简称:等角对等边)。这个判定定理常用于证明同一个三角形中的边相等。
推论 1:三个角都相等的三角形是等边三角形
推论 2:有一个角是 60°的等腰三角形是等边三角形。
推论 3:在直角三角形中, 如果一个锐角等于 30°,那么它所对的直角边等于斜边的一半。

4、三角形中的中位线
连接三角形两边中点的线段叫做三角形的中位线。
(1)三角形共有三条中位线,并且它们又重新构成一个新的三角形。
(2)要会区别三角形中线与中位线。
三角形中位线定理:三角形的中位线平行于第三边,并且等于它的一半。
三角形中位线定理的作用:
位置关系:可以证明两条直线平行。
数量关系:可以证明线段的倍分关系。
常用结论:任一个三角形都有三条中位线,由此有:
结论 1:三条中位线组成一个三角形,其周长为原三角形周长的一半。
结论 2:三条中位线将原三角形分割成四个全等的三角形。
结论 3:三条中位线将原三角形划分出三个面积相等的平行四边形。
结论 4:三角形一条中线和与它相交的中位线互相平分。
结论 5:三角形中任意两条中位线的夹角与这夹角所对的三角形的顶角相等。
第十章 四边形
考点一、四边形的相关概念
1、四边形
在同一平面内,由不在同一直线上的四条线段首尾顺次相接的图形叫做四边形。
2、凸四边形
把四边形的任一边向两方延长,如果其他个边都在延长所得直线的同一旁,这样的四边形叫做凸四边形。
3、对角线
在四边形中,连接不相邻两个顶点的线段叫做四边形的对角线。
4、四边形的不稳定性
三角形的三边如果确定后,它的形状、大小就确定了,这是三角形的稳定性。但是四边
形的四边确定后,它的形状不能确定,这就是四边形所具有的不稳定性,它在生产、生活方
面有着广泛的应用。
5、四边形的内角和定理及外角和定理
四边形的内角和定理:四边形的内角和等于 360度;。
四边形的外角和定理:四边形的外角和等于 360度。
推论:多边形的内角和定理: n边形的内角和等于(n-2) X180度;;
多边形的外角和定理:任意多边形的外角和等于 360度;。
6、多边形的对角线条数的计算公式
设多边形的边数为 n,则多边形的对角线条数为 n(n-3)/2.
考点二、平行四边形
1、平行四边形的概念
两组对边分别平行的四边形叫做平行四边形。
平行四边形用符号 "□ABCD" 表示,如平行四边形 ABCD 记作"□ABCD" ,读作"平行四边形 ABCD" 。
2、平行四边形的性质
(1)平行四边形的邻角互补,对角相等。
(2)平行四边形的对边平行且相等。
推论:夹在两条平行线间的平行线段相等。
(3)平行四边形的对角线互相平分。
(4)若一直线过平行四边形两对角线的交点,则这条直线被一组对边截下的线段以对角
线的交点为中点,并且这两条直线二等分此平行四边形的面积。
3、平行四边形的判定
(1)定义:两组对边分别平行的四边形是平行四边形
(2)定理 1:两组对角分别相等的四边形是平行四边形
(3)定理 2:两组对边分别相等的四边形是平行四边形
(4)定理 3:对角线互相平分的四边形是平行四边形
(5)定理 4:一组对边平行且相等的四边形是平行四边形
4、两条平行线的距离
两条平行线中,一条直线上的任意一点到另一条直线的距离,叫做这两条平行线的距离。
平行线间的距离处处相等。
5、平行四边形的面积
S 平行四边形=底边长X高=ah
考点三、矩形
1、矩形的概念
有一个角是直角的平行四边形叫做矩形。
2、矩形的性质
(1)具有平行四边形的一切性质
(2)矩形的四个角都是直角
(3)矩形的对角线相等
(4)矩形是轴对称图形
3、矩形的判定
(1)定义:有一个角是直角的平行四边形是矩形
(2)定理 1:有三个角是直角的四边形是矩形
(3)定理 2:对角线相等的平行四边形是矩形
4、矩形的面积
S 矩形=长x宽=ab
40
考点四、菱形
1、菱形的概念
有一组邻边相等的平行四边形叫做菱形
2、菱形的性质
(1)具有平行四边形的一切性质
(2)菱形的四条边相等
(3)菱形的对角线互相垂直,并且每一条对角线平分一组对角
(4)菱形是轴对称图形
3、菱形的判定
(1)定义:有一组邻边相等的平行四边形是菱形
(2)定理 1:四边都相等的四边形是菱形
(3)定理 2:对角线互相垂直的平行四边形是菱形
4、菱形的面积
S 菱形=底边长x高=两条对角线乘积的一半
考点五、正方形
1、正方形的概念
有一组邻边相等并且有一个角是直角的平行四边形叫做正方形。
2、正方形的性质
(1)具有平行四边形、矩形、菱形的一切性质
(2)正方形的四个角都是直角,四条边都相等
(3)正方形的两条对角线相等,并且互相垂直平分,每一条对角线平分一组对角
(4)正方形是轴对称图形,有 4条对称轴
(5)正方形的一条对角线把正方形分成两个全等的等腰直角三角形,两条对角线把正方
形分成四个全等的小等腰直角三角形
(6)正方形的一条对角线上的一点到另一条对角线的两端点的距离相等。
3、正方形的判定
(1)判定一个四边形是正方形的主要依据是定义,途径有两种:
先证它是矩形,再证有一组邻边相等。
先证它是菱形,再证有一个角是直角。
(2)判定一个四边形为正方形的一般顺序如下:
先证明它是平行四边形;再证明它是菱形(或矩形) ;最后证明它是矩形(或菱形)
4、正方形的面积

考点六、梯形
1、梯形的相关概念
一组对边平行而另一组对边不平行的四边形叫做梯形。
梯形中平行的两边叫做梯形的底,通常把较短的底叫做上底,较长的底叫做下底。
梯形中不平行的两边叫做梯形的腰。
梯形的两底的距离叫做梯形的高。
两腰相等的梯形叫做等腰梯形。
一腰垂直于底的梯形叫做直角梯形。
一般地,梯形的分类如下:
梯形 1.一般梯形
2.特殊梯形(1)直角梯形 (2)等腰梯形
2、梯形的判定
(1)定义:一组对边平行而另一组对边不平行的四边形是梯形。
(2)一组对边平行且不相等的四边形是梯形。
3、等腰梯形的性质
(1)等腰梯形的两腰相等,两底平行。
(3)等腰梯形的对角线相等。
(4)等腰梯形是轴对称图形,它只有一条对称轴,即两底的垂直平分线。
4、等腰梯形的判定
(1)定义:两腰相等的梯形是等腰梯形
(2)定理:在同一底上的两个角相等的梯形是等腰梯形
(3)对角线相等的梯形是等腰梯形。

6、梯形中位线定理
梯形中位线平行于两底,并且等于两底和的一半。

考点三、锐角三角函数的概念

第十二章 圆

垂径定理及其推论可概括为:

考点四、圆的对称性
1、圆的轴对称性
圆是轴对称图形,经过圆心的每一条直线都是它的对称轴。
2、圆的中心对称性
圆是以圆心为对称中心的中心对称图形。
考点五、弧、弦、弦心距、圆心角之间的关系定理
1、圆心角
顶点在圆心的角叫做圆心角。
2、弦心距
从圆心到弦的距离叫做弦心距。
3、弧、弦、弦心距、圆心角之间的关系定理
在同圆或等圆中,相等的圆心角所对的弧相等,所对的弦想等,所对的弦的弦心距相等。
推论:在同圆或等圆中,如果两个圆的圆心角、两条弧、两条弦或两条弦的弦心距中有一组量相等,那么它们所对应的其余各组量都分别相等。
考点六、圆周角定理及其推论
1、圆周角
顶点在圆上,并且两边都和圆相交的角叫做圆周角。
2、圆周角定理
一条弧所对的圆周角等于它所对的圆心角的一半。
推论 1:同弧或等弧所对的圆周角相等;同圆或等圆中,相等的圆周角所对的弧也相等。
推论 2:半圆(或直径)所对的圆周角是直角; 90度的圆周角所对的弦是直径。
推论 3:如果三角形一边上的中线等于这边的一半,那么这个三角形是直角三角形。
考点七、点和圆的位置关系

考点十一、切线的判定和性质
1、切线的判定定理
经过半径的外端并且垂直于这条半径的直线是圆的切线。
2、切线的性质定理
圆的切线垂直于经过切点的半径。
考点十二、切线长定理
1、切线长
在经过圆外一点的圆的切线上,这点和切点之间的线段的长叫做这点到圆的切线长。
2、切线长定理
从圆外一点引圆的两条切线, 它们的切线长相等, 圆心和这一点的连线平分两条切线的夹角。
考点十三、三角形的内切圆
1、三角形的内切圆
与三角形的各边都相切的圆叫做三角形的内切圆。
2、三角形的内心
三角形的内切圆的圆心是三角形的三条内角平分线的交点,它叫做三角形的内心。
考点十四、圆和圆的位置关系
1、圆和圆的位置关系
没有公共点,相离,相离分为外离和内含两种;
只有一个公共点,相切,相切分为外切和内切两种;有两个公共点,相交。
2、圆心距
两圆圆心的距离叫做两圆的圆心距。
3、圆和圆位置关系的性质与判定

4、两圆相切、相交的重要性质
如果两圆相切,那么切点一定在连心线上,它们是轴对称图形,对称轴是两圆的连心线;
相交的两个圆的连心线垂直平分两圆的公共弦。
考点十五、正多边形和圆
1、正多边形的定义
各边相等,各角也相等的多边形叫做正多边形。
2、正多边形和圆的关系
只要把一个圆分成相等的一些弧,就可以做出这个圆的内接正多边形,这个圆就是这个正多边形的外接圆。
考点十六、与正多边形有关的概念
1、正多边形的中心
正多边形的外接圆的圆心叫做这个正多边形的中心。
2、正多边形的半径
正多边形的外接圆的半径叫做这个正多边形的半径。
3、正多边形的边心距
正多边形的中心到正多边形一边的距离叫做这个正多边形的边心距。
4、中心角
正多边形的每一边所对的外接圆的圆心角叫做这个正多边形的中心角。
考点十七、正多边形的对称性
1、正多边形的轴对称性
正多边形都是轴对称图形。一个正 n边形共有 n条对称轴,每条对称轴都通过正 n 边形的中心。
2、正多边形的中心对称性
边数为偶数的正多边形是中心对称图形,它的对称中心是正多边形的中心。
3、正多边形的画法
先用量角器或尺规等分圆,再做正多边形。
考点十八、弧长和扇形面积
1、弧长公式

2、扇形面积公式

第十三章 图形的变换
考点一、平移
1、定义
把一个图形整体沿某一方向移动,会得到一个新的图形,新图形与原图形的形状和大小完全相同,图形的这种移动叫做平移变换,简称平移。
2、性质
(1)平移不改变图形的大小和形状,但图形上的每个点都沿同一方向进行了移动
(2)连接各组对应点的线段平行(或在同一直线上)且相等。
考点二、轴对称
1、定义
把一个图形沿着某条直线折叠,如果它能够与另一个图形重合,那么就说这两个图形关于这条直线成轴对称,该直线叫做对称轴。
2、性质
(1)关于某条直线对称的两个图形是全等形。
(2)如果两个图形关于某直线对称,那么对称轴是对应点连线的垂直平分线。
(3)两个图形关于某直线对称,如果它们的对应线段或延长线相交,那么交点在对称轴上。
3、判定
如果两个图形的对应点连线被同一条直线垂直平分, 那么这两个图形关于这条直线对称。
4、轴对称图形
把一个图形沿着某条直线折叠,如果直线两旁的部分能够互相重合,那么这个图形叫做轴对称图形,这条直线就是它的对称轴。
考点三、旋转
1、定义
把一个图形绕某一点 O转动一个角度的图形变换叫做旋转,其中 O叫做旋转中心,转动的角叫做旋转角。
2、性质
(1)对应点到旋转中心的距离相等。(2)对应点与旋转中心所连线段的夹角等于旋转角。
考点四、中心对称
1、定义
把一个图形绕着某一个点旋转 180°,如果旋转后的图形能够和原来的图形互相重合,那么这个图形叫做中心对称图形,这个点就是它的对称中心。
2、性质
(1)关于中心对称的两个图形是全等形。
(2)关于中心对称的两个图形,对称点连线都经过对称中心,并且被对称中心平分。
(3)关于中心对称的两个图形,对应线段平行(或在同一直线上)且相等。
3、判定
如果两个图形的对应点连线都经过某一点,并且被这一点平分,那么这两个图形关于这一点对称。
4、中心对称图形
把一个图形绕某一个点旋转 180°,如果旋转后的图形能够和原来的图形互相重合,那么
这个图形叫做中心对称图形,这个店就是它的对称中心。
考点五、坐标系中对称点的特征
1、关于原点对称的点的特征
两个点关于原点对称时,它们的坐标的符号相反, 即点 P(x,y)关于原点的对称点为 P’(-x,-y)
2、关于 x轴对称的点的特征
两个点关于 x 轴对称时,它们的坐标中, x 相等, y 的符号相反,即点 P(x,y)关于 x轴的对称点为 P’(x,-y)
3、关于 y轴对称的点的特征
两个点关于 y 轴对称时,它们的坐标中, y 相等, x 的符号相反,即点 P(x,y)关于 y轴的对称点为 P’(-x,y)
第十四章 图形的相似
考点一、比例线段

3、黄金分割

相似三角形的等价关系:
(1)反身性:对于任一 △ABC,都有△ABC∽△ABC;
(2)对称性:若 △ABC∽△A’B’C’,则△A’B’C’∽△ABC
(3)传递性:若△ABC∽△A’B’C’,并且△A’B’C’∽△A’’B’’C’’,则△ABC∽△A’’B’’C’’。
3、三角形相似的判定
(1)三角形相似的判定方法
①定义法:对应角相等,对应边成比例的两个三角形相似
②平行法:平行于三角形一边的直线和其他两边(或两边的延长线)相交,所构成的三
角形与原三角形相似
③判定定理 1:如果一个三角形的两个角与另一个三角形的两个角对应相等, 那么这两个
三角形相似,可简述为两角对应相等,两三角形相似。
④判定定理 2:如果一个三角形的两条边和另一个三角形的两条边对应相等, 并且夹角相
等,那么这两个三角形相似,可简述为两边对应成比例且夹角相等,两三角形相似。
⑤判定定理 3:如果一个三角形的三条边与另一个三角形的三条边对应成比例, 那么这两
个三角形相似,可简述为三边对应成比例,两三角形相似
(2)直角三角形相似的判定方法
①以上各种判定方法均适用
②定理:如果一个直角三角形的斜边和一条直角边与另一个直角三角形的斜边和一条直角边对应成比例,那么这两个直角三角形相似
③垂直法:直角三角形被斜边上的高分成的两个直角三角形与原三角形相似。
4、相似三角形的性质
(1)相似三角形的对应角相等,对应边成比例
(2)相似三角形对应高的比、对应中线的比与对应角平分线的比都等于相似比
(3)相似三角形周长的比等于相似比
(4)相似三角形面积的比等于相似比的平方。
5、相似多边形
(1)如果两个边数相同的多边形的对应角相等,对应边成比例,那么这两个多边形叫做相似多边形。相似多边形对应边的比叫做相似比(或相似系数)
(2)相似多边形的性质
①相似多边形的对应角相等,对应边成比例
②相似多边形周长的比、对应对角线的比都等于相似比
③相似多边形中的对应三角形相似,相似比等于相似多边形的相似比
④相似多边形面积的比等于相似比的平方
6、位似图形
如果两个图形不仅是相似图形,而且每组对应点所在直线都经过同一个点,那么这样的两个图形叫做位似图形,这个点叫做位似中心,此时的相似比叫做位似比。
性质:每一组对应点和位似中心在同一直线上,它们到位似中心的距离之比都等于位似比。
由一个图形得到它的位似图形的变换叫做位似变换。利用位似变换可以把一个图形放大或缩小。
第十五章 尺规作图
考点一、尺规作图的要求
只用不带刻度的直尺和圆规通过有限次操作,完成画图的一种作图方法.尺规作图
不一定要写作图步骤,但必须保留作图痕迹 .
考点 2、五种基本尺规作图


