估计最近会有朋友觉得我在吐槽的道路上越走越远,似乎不搞数学了。
大错特错,这不,就来了一个大活。
我抽空对2021年新高考全国一卷数学做了一些逐题分析,初高中家长和孩子应该都适合看,高中更适合一点,初中可以提前了解一下。
首先是一份考点分布细目表:

通过细目表大家可以看出哪些知识是高考的考察重点,哪些又是考察的难点,选择填空题经常考察的知识点,解答题又着重考察哪些知识点。
具体的大家自己看吧。
然后是逐题分析, 在此我按照题目、答案、考察内容、难度、分析、知识拓展、感想(如果有的话)的顺序来和大家聊一聊。


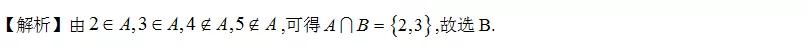
考察内容:
本题考查 集合的交集运算 。
难度:
容易。
分析:
集合是高考 每年必考知识点 ,一般比较容易,和复数在第1、2题的位置相爱相杀,考查热点一是 集合的并集、交集、补集运算 ,二是 集合之间的关系 ,这种考查方式多年来保持稳定。
本题所给两个集合,一个是直接的不等式,不需要计算,一个是离散的数集, 降低试题难度 , 突出对交集概念的考查 ,该题难度与往年老教材全国卷II,III的文科集合试题难度相当。
知识拓展:
1.求解集合的运算问题的三个步骤:
(1) 看元素构成 ,集合是由元素组成的,从研究集合中元素的构成入手是解决集合运算问题的关键,即辨清是数集、点集还是图形集等,如{x|y=f(x)},{y|y=f(x)},{(x,y)|y=f(x)}三者是不同的;
(2) 对集合化简 ,有些集合是可以化简的,先化简再研究其关系并进行运算,可使问题简单明了、易于解决;
(3) 应用数形结合进行交、并、补等运算 ,常用的数形结合形式有数轴、坐标系和韦恩图(Venn)。
感想:
这一环节主要是和初中家长说的,集合这一题稍微复杂一些就是解不等式,如果要在初中找与其对应的内容,主要就是不等式的性质的掌握,解不等式尤其是二次不等式能力,初中虽然没有学过二次不等式,但是二次函数是要学的,三个二次——二次函数、二次方程、二次不等式的关系尽早了解不是坏事。


考察内容:
本题考查 共轭复数及复数的乘法运算 。
难度:
容易。
分析:
复数是高考 每年必考知识点 ,一般以比较容易,考查热点一是 复数的概念与复数的几何意义 ,如复数的模、共轭复数、纯虚数、复数的几何意义等,二是 复数的加减乘除运算 。
去年新高考 试卷复数考查的是 复数的除法运算 ,考查内容单一,今年把 共轭复数与复数的运算结合在一起 考查,背景有所创新,为 降低难度 ,把 除法运算改为乘法运算 ,可见 新高考试卷入手依然比较容易 。
知识拓展:
解复数运算问题的常见类型及解题策略:
(1)复数的乘法。 复数的乘法类似于多项式的四则运算,可将含有虚数单位i的看作一类同类项,不含i的看作另一类同类项,分别合并即可。
(2)复数的除法。 除法的关键是分子分母同乘以分母的共轭复数,解题中要注意把i的幂写成最简形式。
(3)复数的运算与复数概念的综合题。 先利用复数的运算法则化简,一般化为a+bi(a,b∈R)的形式,再结合相关定*解义**答。
(4)复数的运算与复数几何意义的综合题。 先利用复数的运算法则化简,一般化为a+bi(a,b∈R)的形式,再结合复数的几何意*解义**答。
感想:
复数的计算其实涉及到多项式的简单计算,高中的计算很少那种直来直去的计算,往往是多项式计算这种对规则的综合应用。


考察内容:
本题考查圆锥及圆锥的侧面展开图。
难度:
容易。
分析:
立体几何在高考中一般有 1~2道客观题 ,常见的有 多面体 、 旋转体的体积、面积,或者两者的综合;概念辨析类问题,以及位置关系的判定 ;如果有一道,一般难度不大,如果是两道,那么 一道是容易题,一道是较难的题,往往就比较靠后了。
考查热点是 几何体中元素的位置关系与数量关系 、 几何体的表面积与体积 、 球与几何体的切接 等。
另外,单选题中 考查空间几何体元素数量关系 的题,常 与数学文化及实际生活相联系。
本题求解时只用到一个关系式, 考查知识点单一 、 运算简单, 依然属于送分题。
知识拓展:
几何体的展开与折叠:
(1)几何体的表面积
除球以外,一般都是利用展开图求得的,利用空间问题平面化的思想,把一个平面图形折叠成一个几何体,再研究其性质,是考查空间想象能力的常用方法。
(2)多面体的展开图
①直棱柱的侧面展开图是矩形;
②正棱锥的侧面展开图是由一些全等的等腰三角形拼成的,底面是正多边形;
③正棱台的侧面展开图是由一些全等的等腰梯形拼成的,底面是正多边形。
(3)旋转体的展开图
①圆柱的侧面展开图是矩形,矩形的长(或宽)是底面圆周长,宽(或长)是圆柱的母线长;
②圆锥的侧面展开图是扇形,扇形的半径长是圆锥的母线长,弧长是圆锥的底面周长;
③圆台的侧面展开图是扇环,扇环的上、下弧长分别为圆台的上、下底面周长。


考察内容:
本题考查 三角函数的单调性 。
难度:
容易。
分析:
三角函数与解三角形在新高考全国卷中一般有 2道客观题,1道解答题 , 解答题 一般考查 解三角形 , 客观题 考查热点是 三角变换及三角函数的图象与性质 。
本题以 正弦型函数 为载体,正弦型函数是高考中普遍出现的函数类型,一般正切比较少,正余弦比较多,考查 三角函数的单调性 ,试题简洁流畅,属于常规题型,侧重对重要基础知识的考查。
三角函数单调性是三角函数的一个重要性质,也是高考考查的热点,对于求正弦型函数的单调性课本有不少类似的题,这说明课本是高考试题的生长点,复习时不要丢掉课本。
知识拓展:
求形如y=Asin(ωx+φ)(其中ω>0)的单调区间时,要 视“ωx+φ”为一个整体 ,通过解不等式求解;
研究y=asinx+bcosx的单调性,要先利用 辅助角公式 把函数化为构造y=Asin(x+φ)的形式研究;
要研究含有 三角函数二次式 的单调性,要先利用 二倍角公式降幂 ,再利用 辅助角公式 把函数化为构造y=Asin(2x+φ)+B的形式。
感想:
高中和初中数学一个很大的区别就是题目的复杂度越来越高,送分题越来越少,就像这份试卷,也就前两题可以称得上送分题。
到这一题,虽然仍然简单,但此简单非彼简单,它运用了不只一个知识点,在计算的量上也不像传统意义上的简单题,算一步就能出答案——运用整体思想、复合函数单调性,解不等式,求出单调区间,还需要代入一一验证。
但这道题的确就是一道简单题。


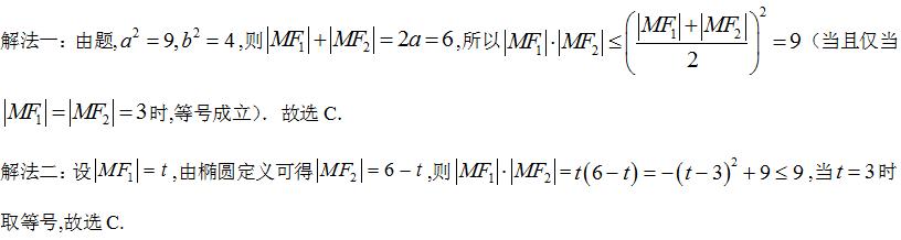
考察内容:
本题考查椭圆的方程、几何性质及基本不等式的应用。
难度:
容易。
分析:
本题把 椭圆的方程与椭圆的几何性质及基本不等式 结合在一起考查,虽 在知识交汇处命题 ,但涉及的都是 基础知识,且运算简单 ,属于容易题。
注意与 椭圆焦点弦长或焦半径有关的计算问题 及与 焦点有关的距离最值问题 ,常利用椭圆的定义求解。
知识拓展:
椭圆的定义具有双向作用 ,即若|MF1|+|MF2|=2a(2a>|F1F2|),则点M的轨迹是椭圆;
反之,椭圆上任意一点M到两焦点的距离之和必为2a。
涉及 曲线上的点到焦点的距离问题 时,应先考虑 是否能够利用椭圆的定义 求解。
解决与 椭圆有关的最值问题 ,特别是 求距离之和的最大值 ,可利用 椭圆定义转化为距离之差的最大值,再利用三点共线 确定差的最大值。
感想:
高考题的另一个特点就是综合性较强,像本题将圆锥曲线和基本不等式结合这种形式很多,在这里,思路尤其重要,第一种思路使用定义域基本不等式结合,第二种思路构造函数都是常用的思想,计算退居其次,只是辅助作用。


考察内容:
本题考查同角三角函数关系式、二倍角公式在求值中的应用。
难度:
中等偏易。
分析:
三角函数与解三角形 在新高考全国卷中一般有 2道客观题,1道解答题 。
解答题一般考查解三角形 , 客观题考查热点是三角变换及三角函数的图象与性质 ,难度一般为容易或中等偏易。
本题主要考查利用 同角三角函数基本关系式和二倍角公式求值 。
常规求解思路是把 所给式子化为关于sinθ,cosθ的齐次分数 ,再进一步转化为 关于tanθ的分式 ,然后代入求值。
本题解法思路容易,但运算量稍大,也有一定的技巧,难度较前几题有所增加。
知识拓展:
关于sin α、cos α的齐次式,可以通过分子、分母同除以分式中cos α的最高次幂转化为关于tan α的式子后再求值。注意有时为了拼凑分子分母齐次,需要灵活地进行“1”的代换,由1=sin2α+cos2α代换后,再构造出关于tan α的代数式。



考察内容:
本题考查导数几何意义的应用。
难度:
中等偏上。
分析:
导数的几何意义 是高考的一个 高频考点 ,考查热点主要有:
求曲线在某点处的切线;
求两条曲线的公切线;
确定满足条件的曲线的条数 。
本题主要考查 利用导数的几何意义研究确定的切线 ,注意等价转化思想的应用:
切线有两条切点有2个——关于t的方程有2个不同实根——直线与函数图像有2个交点。
知识拓展:
求曲线切线的条数一般是设出切点,由已知条件整理出关于t的方程,把切线条数问题转化为关于t的方程的实根个数问题。
感想:
这才是第7题,要是在老高考试卷中,这个位置的题目不可能有这么难,但是在新高考中,这已经是单选题的最后两道题了,一定会有一个相对有难度的题目,比如这道题。
这其实是对以前文科生的挑战,提升了选择题的得分难度。
我们看看答案中,有没有难到天际的计算?
有的是在思路的指导下,综合运用工具——公式、方法、图像来解决问题,这种情况下,对学生的要求就高了。
这道题其实是两道题目的综合,两部分之间的转化衔接非常考察学生的思考能力。


考察内容:
本题考查用概率判断相互独立事件。
难度:
中等。
分析:
本题涉及相互独立事件的判断,同学们习惯根据相互独立立事件的概率计算公式,求相互独立立事件的概率,本题反过来利用概率计算的结果判断事件是否相互独立。
高考全国卷选择题中首次考查此类问题,故该题背景新颖,但思路不难想到,与第7题相比较,该题难度略低于第7题。
知识拓展:
(1) “独立”与“互斥”的区别
两事件互斥是指两个事件不可能同时发生,两事件相互独立是指一个事件发生与否对另一事件发生的概率没有影响(如有放回的抽取模型)。
两事件相互独立通常不互斥,两事件互斥通常不独立。
若事件A、B互斥,则P(A+B)=P(A)+P(B),若事件A,B不互斥,则P(A+B)=P(A)+P(B)-P(AB),若事件A,B相互独立,则P(A)P(B)=P(AB)。
(2)对于复杂概率的计算一般要先设出事件,准确地确定事件的性质,把问题化归为古典概型、互斥事件、独立事件、独立重复试验四类事件中的某一种;
其次判断事件是A+B还是AB事件,确定事件至少有一个发生,还是同时发生,分别运用相加或相乘事件公式;
最后选用相应的求古典概型、互斥事件、条件概率、独立事件、n次独立重复试验的概率公式求解。


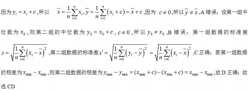
考察内容:
本题考查样本的数字特征。
难度:
中等偏易。
分析:
概率与统计是高考重点,在高考试卷中既有客观题又有解答题,由于该模块涉及知识点比较多,高考命题没有固定的热点。
一般情况下统计与概率、随机变量的分布列都会涉及,客观题至少会有2道。
本题涉及到中位数、平均数、标准差及极差等样本的数字特征,题型是常规题型,考生在复习时训练的比较多,绝大部分考生都能得分。
知识拓展:
(1)有关平均数、方差的一些结论;
(2)众数、中位数、平均数与频率分布表、频率分布直方图的关系:
①众数:众数一般用频率分布表中频率最高的一小组的组中值来显示,即在样本数据的频率分布直方图中,最高矩形的底边中点的横坐标。
②中位数:在频率分布直方图中,中位数左边和右边的直方图的面积应该相等。
③ 平均数:平均数在频率分布表中等于组中值与对应频率之积的和。


考察内容:
本题考查平面向量的数量积及坐标运算、三角变换。
难度:
中等。
分析:
平面向量是高考数学必考知识点,一般以客观题形式考查,热点是 平面向量的线性运算及平面向量的数量积 ,可以是容易题,也可以是中等难度题,中等难度题常用 平面几何、不等式 等知识交汇考查。
本题涉及 平面向量的数量积及坐标运算,又涉及三角变换 ,在知识交汇处命题,背景较新颖,能有效考查考生分析问题解决问题的能力,是一道难度适中的好题。
知识拓展:
平面向量数量积求解问题的策略
① 求两向量的夹角。
② 两向量垂直的应用:两非零向量垂直的充要条件是:a⊥b⇔a·b=0⇔|a-b|=|a+b|。
③ 求向量的模:利用数量积求解长度问题的处理方法基本是利用向量的平方等于模的平方。
感想:
高中数学中有大量的公式,尤其是三角函数、向量和解析几何中,公式非常多,还有不少极其相似,如何记忆,如何使用,都是学生觉得头疼的问题,关键还是在理解的基础上记忆,在理解的基础上使用,通过使用记忆,这是和初中数学不太一样的地方。



考察内容:
本题考查圆的方程及直线与圆的位置关系。
难度:
中等。
分析:
圆的方程及直线与圆的位置关系 一直是高考热点,通常作为客观题考查, 长度、面积的计算,参数问题及最值问题 是考查热点。
本题涉及的与圆有关的最值问题是高考的热点问题。由于 圆既能与平面几何 相联系,又能 与圆锥曲线 相结合,命题方式比较灵活, 故与圆相关的最值问题 备受命题者的青睐。在 运动变化中,动点到直线、圆的距离会发生变化,圆上点到动直线的距离也会发生变化,在变化过程中,就会出现一些最值问题,如距离、角最小,最大 等。
这些问题常常联系到平面几何知识,利用数形结合思想可直接得到相关结论。
知识拓展:
(1)与圆有关的长度或距离的最值问题的解法。一般根据长度或距离的几何意义,利用圆的几何性质数形结合求解。注意圆的弦长或切线段的长通常利用勾股定理转化为圆心到直线距离或点到圆心距离。
(2)与圆有关的面积的最值问题或圆中与数量积有关的最值问题,一般转化为寻求圆的半径相关的函数关系或者几何图形的关系,借助函数求最值的方法,如配方法,基本不等式法等求解,有时可以通过转化思想,利用数形结合思想求解。
感想:
感觉解析几何是对初中数学作用最大的一块高中数学知识了,其实可以解决中考数学中的很多问题。





考察内容:
本题考查空间向量的应用、几何体中面积与体积的计算及线面位置关系的判断及应用。
难度:
中等偏难。
分析:
几何体中对线面位置关系的综合考查常作为较难试题出现, 求角度问题、截面位置不固定几何体的体积、最值问题 ,均是热点问题。多选题中的立体几何试题,常把 多个知识点交汇考查,如把几何体长度、角度、面积、体积的计算与线面位置关系 结合在一起考查,也可 与函数、不等式及空间向量 结合在一起考查,此类问题对空间想象能力要求较高,难度也比较大.
知识拓展:
计算旋转体的侧面积时,一般采用转化的方法来进行,即将侧面展开化为平面图形,“化曲为直”来解决,因此要熟悉常见旋转体的侧面展开图的形状及平面图形面积的求法。
求一些不规则几何体的体积时,常用分割法转化成已知体积公式的几何体进行解决。
此外求三棱锥的体积或高时常利用等积法进行转化。“补形法”是立体几何中一种常见的重要方法,在解题时,把几何体通过“补形”补成一个完整的几何体或置于一个更熟悉的几何体中,巧妙地破解空间几何体的体积等问题。
感想:
这是道几何问题,看答案你们能认出来?
高中数学的代数化非常明显,不管是解析几何还是立体几何,都是用代数方法解决几何问题了。


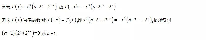
考察内容:
本题考查函数的奇偶性。
难度:
容易。
分析:
函数的奇偶性如单独命题一般为容易题,此类问题考查热点是判断函数的奇偶性;
给出奇函数在一个区间上的解析式,求函数值或函数在另一个区间上的解析式;
根据函数的奇偶性求参数取值等,如与函数的其他性质综合在一起考查,一般为中等题。
知识拓展:
(1)函数奇偶性常用结论
①如果函数f(x)是偶函数,那么f(x)=f(|x|)。
②奇函数在两个对称的区间上具有相同的单调性;偶函数在两个对称的区间上具有相反的单调性。
③在公共定义域内有:奇±奇=奇,偶±偶=偶,奇×奇=偶,偶×偶=偶,奇×偶=奇。
④f(x)为偶函数⇔f(x)=f(|x|)。
⑤若奇函数在x=0处有意义,则f(0)=0。
(2)常见的奇函数与偶函数。



考察内容:
本题考查抛物线的方程及几何性质。
难度:
中等偏易。
分析:
客观题中的 抛物线一般考查抛物线的几何性质及运算能力 ,有时会 与向量及不等式等知识交汇 。
本题的一种思路是把垂直问题转化为斜率之积为-1,是最常规的解法;
另一种思路是把垂直问题转化为数量积为零,这种转化思路在解析几何中常用,它可以避免讨论斜率是否存在;
还有一种思路是直接利用平面几何中的射影定理求解,使运算量减小,提高了解题速度。
知识拓展:

③以弦AB为直径的圆与准线相切。
④通径:过焦点垂直于对称轴的弦,长等于2p,通径是过焦点最短的弦。
(2)在解决与抛物线的性质有关的问题时,要注意利用几何图形的形象、直观的特点来解题,特别是涉及焦点、顶点、准线的问题更是如此。


考察内容:
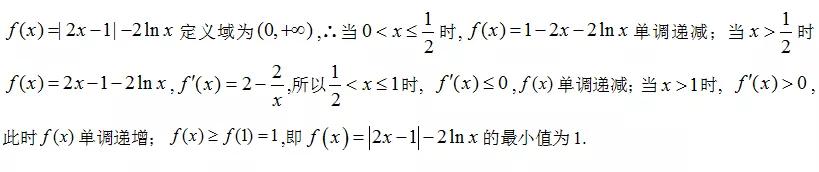
本题考查导数在研究函数性质中的应用。
难度:
中等。
分析:
本题一个思路是先把含绝对值的函数转化为分段函数,再利用导数确定该在每个单调区间上的单调性,然后由单调性确定最值,属于常规解法;另一种思路是利用进行放缩,注意题中连续两次放缩,要保证等号能够同时成立。
知识拓展:
(1)求函数f(x)在[a,b]上的最大值和最小值的步骤:
①求函数在(a,b)内的极值;
②求函数在区间端点的函数值f(a),f(b);
③将函数f(x)的极值与 f(a),f(b)比较,其中最大的一个为最大值,最小的一个为最小值。
(2)分段函数与含参数的函数的最值一般不通过比值求解,而是先讨论函数的单调性,再根据单调性求出最值。
含参函数在区间上的最值通常有两类:一是动极值点定区间,二是定极值点动区间,这两类问题一般根据区间与极值点的位置关系来分类讨论。




考察内容:
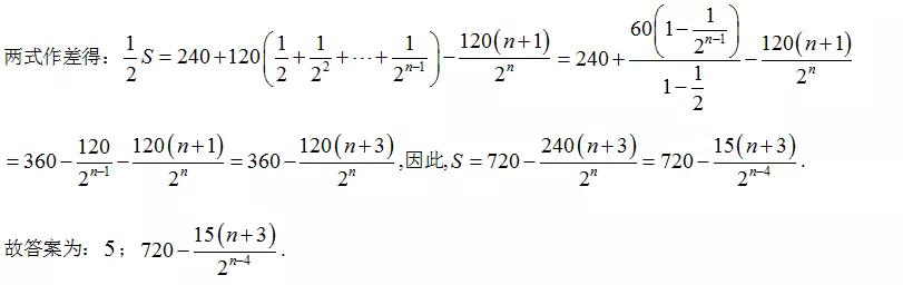
本题以剪纸艺术为背景考查数列求和。
难度:
中等偏上。
分析:
本题以我国传统文化剪纸艺术为背景,让考生体验探索数学问题的过程。
该题有几点创新,一是背景新颖,能有效考查考生灵活运用数学知识分析问题的能力,二是高考 首次在客观题中考查错位相减法求和 ,三是设置了两空,这是自2019年全国卷首次设置双空题后,时隔两年再次设置双空题。
知识拓展:
错位相减法求和时的注意点:
(1)要善于识别题目类型,特别是等比数列公比为负数的情形。
(2)在写出“Sn”与“qSn”的表达式时,应特别注意将两式“错项对齐”以便下一步准确写出“Sn-qSn”的表达式。
(3)在应用错位相减法求和时,若等比数列的公比为参数,应分公比等于1和不等于1两种情况求解。


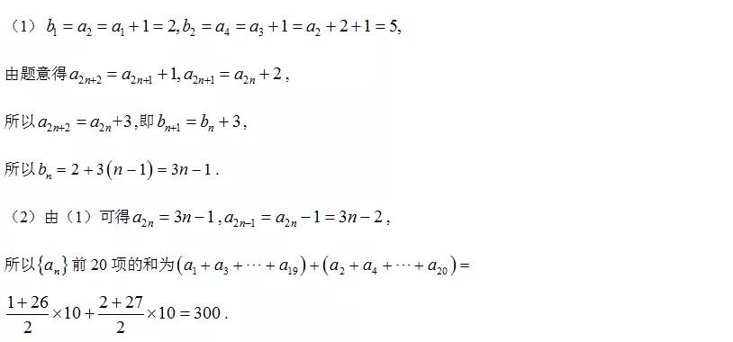
考察内容:
本题考查等差数列的通项与求和。
难度:
中等偏易。
分析:
这是近年来全国卷首次在解答题中以分段数列为载体命题,考查的都是基础知识,但计算时容易出错,如把理解为n为偶数时。
知识拓展:
分组转化法求和的常见类型:

感想:
新高考试卷一个很大的变化就是取消了选做题 ——极坐标和参数方程、不等式选讲,而是把数列和三角函数及解三角形同时放进了解答题,这其实提高了数列的地位。


考察内容:
本题以实际问题为背景,考查随机变量的分布列及期望的应用。
难度:
中等偏易。
分析:
以“一带一路”知识竞赛为背景,考查考生对概率统计基本知识的理解与应用,建立模型以后求解比较简单只相当于课本习题的难度,所以本题重在考查数学建模能力。
知识拓展:
随机变量的均值反映了随机变量取值的平均水平,方差反映了随机变量稳定于均值的程度,它们从整体和全局上刻画了随机变量,是生产与生活中用于方案取舍的重要理论依据。一般先比较均值,若均值相同,再用方差来决定。



考察内容:
本题考查正弦定理及余弦定理的应用。
难度:
中等。
分析:
综合考察了正弦定理和余弦定理,算是一道中规中矩的解三角形题目,难度不算太高,需要注意的是对多种情况的讨论。
知识拓展:
解三角形时,如果式子中含有角的余弦或边的二次式,要考虑用余弦定理;如果式子中含有角的正弦或边的一次式时,则考虑用正弦定理;以上特征都不明显时,则要考虑两个定理都有可能用到。






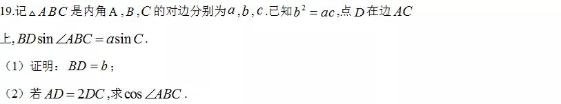
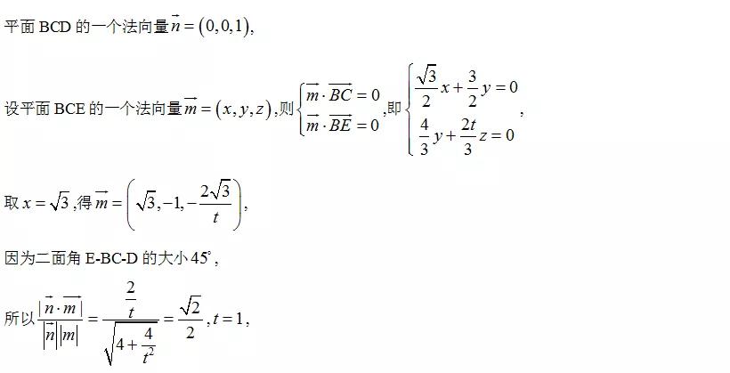
考察内容:
本题考查线面位置关系的证明、二面角及几何体体积的计算。
难度:
中等偏上。
分析:
本体考察了线面位置关系的证明,第二问中使用空间向量解决问题,重点在于坐标系的建立,计算量比较大,相对繁琐,但好处是步骤清晰明确,将几何问题转化成了计算问题。
知识拓展:
当两个平面垂直时,常作的辅助线是在其中一个面内作交线的垂线,把面面垂直转化为线面垂直,进而可以证明线线垂直(必要时可以通过平面几何的知识证明垂直关系),构造(寻找)二面角的平面角或得到点到面的距离等。




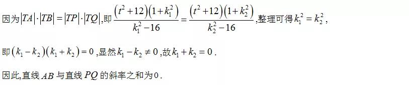
考察内容:
本题考查双曲线的定义及直线与圆锥曲线的位置关系。
难度:
难。
分析:
这种压轴题性质的圆锥曲线题目,综合考察了学生的很多能力,着重考察了学生设参、构造、计算的能力,本身定值问题属于圆锥曲线的常规题型,考察了定义、直线与圆锥曲线位置关系的相关知识、技巧。
知识拓展:
求解定值问题的方法一般有两种:(1)从特殊入手,求出定点、定值、定线,再证明定点、定值、定线与变量无关;(2)直接计算、推理,并在计算、推理的过程中消去变量,从而得到定点、定值、定线。
应注意到繁难的代数运算是此类问题的特点,设而不求方法、整体思想和消元的思想的运用可有效地简化运算。





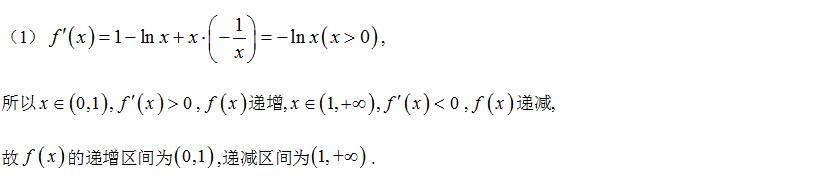
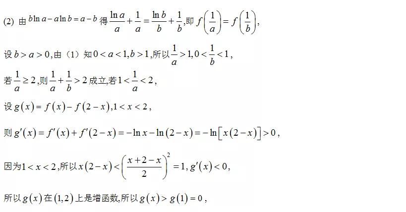
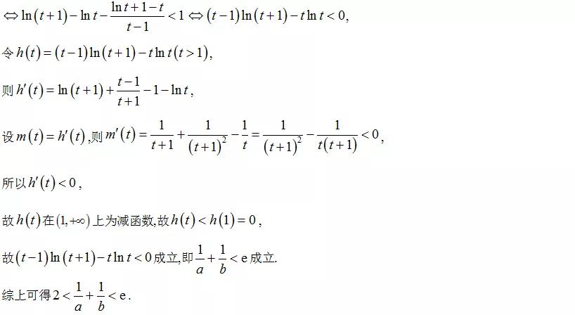
考察内容: 本题考查用导数研究函数的单调性及导数在证明不等式中的应用。
难度:
难。
分析:
算了,不分析了。
知识拓展:
用导数证明不等式问题一般要通过构造函数,利用函数单调性来证明,基本方法有:

大概就是如此吧,干巴巴的题目,干巴巴的内容,自然要配一个干巴巴的结尾。
欢迎关注我的公众号:安然的数学教室和小酒馆