哈喽,今天分享有关三角函数,关于三角函数的内容也是每年高考的必考点.三角函数的诱导公式是学好三角函数的基础,高中数学课本里给出了大量的三角函数公式.但是这些诱导公式的记忆,往往令许多高中生很头疼,特别对于初学三角函数的学生来说更会感觉这些诱导公式难记。
三角函数在高中数学中难度不算很大,但是绝对是高考常考必考题型,算中档题,高考在该部分一般有两个试题。一个试题是,如果在解答题部分没有涉及到正、余弦定理的考查,会有一个与正余弦定理有关的题目,如果在解答题中涉及到了正、余弦定理,可能是一个和解答题相互补充的三角函数图象、性质、恒等变换的题目;一个试题是以考查平面向量为主的试题。
基本三角函数定义&关系式
三角函数图像性质,诱导公式,二角和差公式,倍角&半角公式,和差化积&积化和差公式,万能公式,三倍角公式(高中不要求!),辅助角公式。
题型结构基本为一个大题一个小题或三个小题,主要考查以下三方面:
(1)三角函数的图像和性质,其着重点是三角函数的图像、单调性、最值、周期性与奇偶性;
(2)三角恒等变换,其着重点是诱导公式、同角三角函数的基本关系式、两角和与差的正余弦公式、二倍角公式;
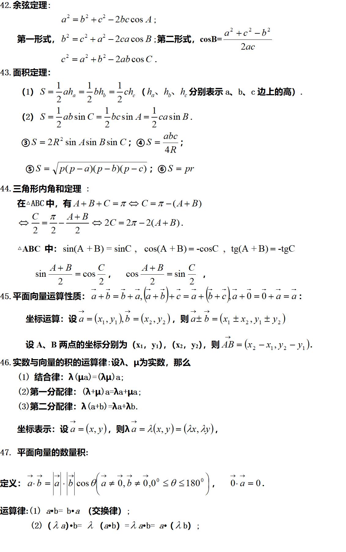
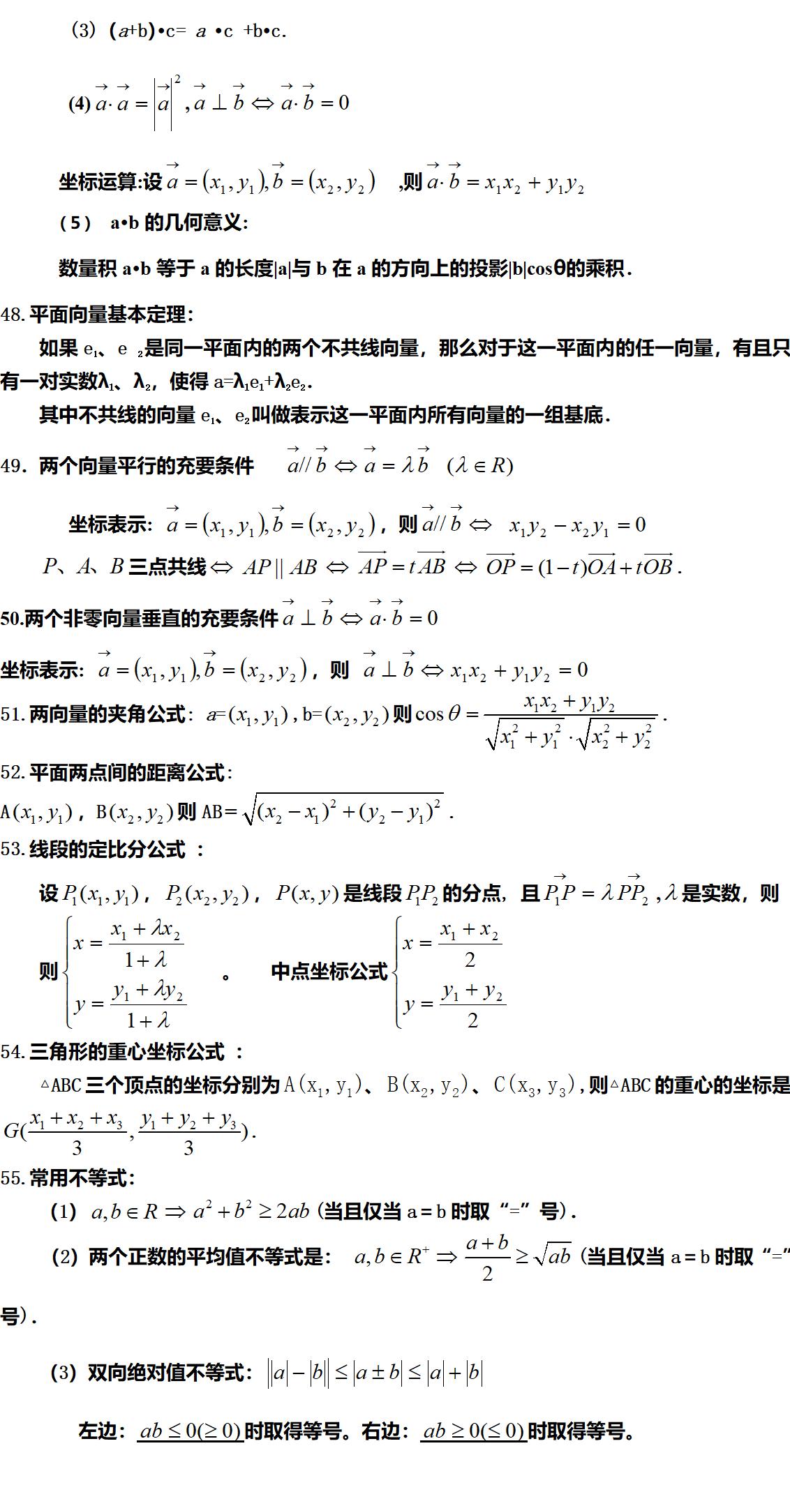
(3)解三角形,其着重点是利用正弦定理和余弦定理解三角形或求三角形面积、周长。我们学习高等数学开始,与中学数学相比,事实上对三角函数已经弱化了。知道为什么?三角函数只是初等数学中的一种而已,而高等数学和工程数学,它们研究的对象和方法,已经远远地超越了中学阶段。就算用到三角函数,也只是其中的几个公式而已。
如果说高等数学中三角函数被弱化,但不等于工程数学以及其它专业课中三角函数也被弱化。







获取流程:可以关注或点赞、转发、评论留言领取资料哦