
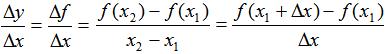
1、函数的平均变化率是什么?
答:平均变化率为

注1:其中
是自变量的改变量,可正,可负,可零。
注2:函数的平均变化率可以看作是物体运动的平均速度。
2、导函数的概念是什么?

3、平均变化率和导数的几何意义是什么?
答:函数的平均变化率的几何意义是割线的斜率;函数的导数的几何意义是切线的斜率。
4、导数的背景是什么?
答:(1)切线的斜率;(2)瞬时速度;(3)边际成本。
5、常见的函数导数和积分公式有哪些?

6、常见的导数和定积分运算公式有哪些?
答:若
,
均可导(可积),则有:

7、用导数求函数单调区间的步骤是什么?

注:求单调区间之前一定要先看原函数的定义域。
8、求可导函数f(x)的极值的步骤是什么?

9、利用导数求函数的最值的步骤是什么?

注:实际问题的开区间唯一极值点就是所求的最值点。
10、求曲边梯形的思想和步骤是什么?
答:

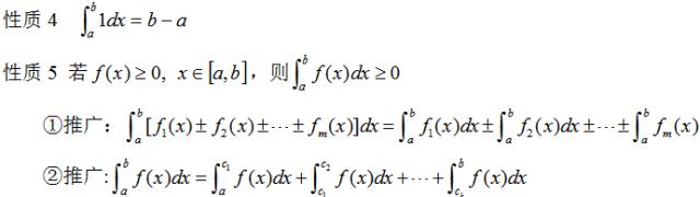
11、定积分的性质有哪些?

12、定积分的取值情况有哪几种?
答:定积分的值可能取正值,也可能取负值,还可能是0。
(1)当对应的曲边梯形位于 x 轴上方时,定积分的值取正值,且等于x轴上方的图形面积;

(2)当对应的曲边梯形位于 x 轴下方时,定积分的值取负值,且等于x轴上方图形面积的相反数;

(3)当位于 x 轴上方的曲边梯形面积等于位于 x 轴下方的曲边梯形面积时,定积分的值为0,且等于x轴上方图形的面积减去下方的图形的面积。

13、物理中常用的微积分知识有哪些?
答:(1)位移的导数为速度,速度的导数为加速度。(2)力的积分为功。
--END--
