植物功效成分-萜类
一、概述
1、萜类的定义及分类
萜类(terpenoids)化合物为一类分子中具有两个或两个以上异戊二烯单位(C5单位)结构特征的化合物。
萜类化合物广泛分布于自然界,在陆生植物和海洋生物中都发现了大量的萜类化合物。据不完全统计,此类化合物已超过26000种(包括部分合成物),是天然产物中数量最多的一类化合物。萜类化合物骨架庞杂,种类繁多,具有多方面的生物活性,有的已应用于临床。
目前对该类化合物的分类,仍沿用经典的异戊二烯法则(isoprene rule),即按异戊二烯单位的数目来进行分类。


这里主要介绍单萜、倍半萜者、二萜及二倍半萜等萜类。三萜类化合物生物活性特殊,专门放到另一块叙述。 四萜类化合物主要为胡萝卜烃类 (carotenoids)色素,多萜类化合物主要为橡胶(caoutchouc)及硬橡胶。
2、萜类化合物的生物活性和分布
2.1萜类化合物的生物活性 萜类化合物种类繁多、结构复杂、性质各异,具有多方面的生物活性。
(1)对循环系统的作用:一些萜类具有较好的抗血小板聚集、扩张心脑血管、增加血流量以及调整心率、降压、降脂、降血清胆固醇等作用。如芍药苷(paeoniflorin)、银杏内酯(ginkgolides)及泽泻萜醇A(alisolA)等。
(2)对消化系统的作用:齐墩果酸(oleanolic acid)具有保肝降酶作用,甘草次酸(glycyrrhetinic acld)有利胆健胃、抗胃溃疡等作用,枙子苷(gardenoside)有泻下作用。
(3)对呼吸系统的作用:穿心莲内酯(andrographolide)等有一定抗上呼吸道感染作用,辣薄荷酮(piperitone)等有平喘、祛痰、镇咳活性。
(4)对神经系统的作用:某些萜类成分对神经系统有镇静、镇痛、局部麻醉、兴奋中枢、治疗神经分裂症等作用。如莽草毒素(anisatin)和龙脑 (borneol)等。
(5)抗病原微生物作用:臭蚁内酯(iridomyrmecin)有抑菌活性,穿心莲内酷、14-去氧穿心莲内酯(14-deoxyandrographolide)等对菌痢和钩端螺旋体病有一定疗效。
(6)抗肿瘤作用:如紫杉醇(taxol)对乳腺癌、卵巢癌具有良好的疗效,斑婺素的衍生物则试用于治疗肝癌。
(7)抗生育作用:如芫花酯甲 (yuanhuacin)、芫花酯乙(yuanhuadin)具引产作用,棉酚(gossypol)有抗雄性生育活性。
(8)杀虫驱虫作用:除虫菊内酯(chrysanthin)、土木香内酯(costunolide)等具有杀虫驱虫作用。
(9)抗疟作用:青嵩素(artemisinin)及鹰爪甲素(yingzhaosuA)等有很强的抗疟疾活性。
(10)其他作用:萜类化合物还具有许多其他生物活性,如甜菊苷(rebaudioside)、罗汉果甜素(mogroside)等甜度为庶糖的几百倍,是无毒、天然的有机甜味剂;二萜醛(sacculatal)、瑞香毒素(daphnetoxin)有较强的毒鱼活性;天蚕蛾保幼激素等具有昆虫保幼激素样作用。挥发油中的不少单萜和倍半萜具有 祛痰、止咳、祛风、健胃、解热、镇痛等活性。
2.2萜类化合物的分布 萜类化合物在植物界分布极为广泛,藻类、菌类、地衣类、苔藓类、蕨类、裸子植物及被子植物中均有萜类的存在。但最丰富的还是种子植物,尤其是被子植物,在被子植物的30多个目、数百个科属中均发现有前者类化合物。萜类化合物经常与树脂、树胶等并生,而富含生物碱的植物不含或少含萜类化合物。水生植物一般不含挥发油,如睡莲目等水生植物未见有单萜及倍半萜类成分的报道。
二、单萜
1、概述
单萜类(monoterpenoids)基本碳架由2个异戊二烯单位构成,即含有10个碳原子的一类化合物。单萜广泛存在于高等植物的腺体、油室及树脂道等分泌组织内,在昆虫和微生物的代谢产物以及海洋生物中也有存在。
单萜多是挥发油中沸点较低(140-180℃)部分的组成成分(单萜含氧衍生物沸点较高),有些单萜在植物体内以苷的形式存在,不具有挥发性,不能随水蒸气蒸馏出来。单萜多具有较强的香气和生物活性,是医药、食品及化妆品工业的重要原料。
2、单萜的结构类型和重要的单萜化合物
一般按结构中的碳环数目将单萜分为无环(链状)、单环、双环及三环等种类,碳环大多为六元环,也有三元、四元、五元及七元碳环。
(1)无环单萜(acyclic monoterpenoids) 常见的有月桂烷型、艾嵩烷型和薰衣草烷型。

月桂烯(mycrene)和罗勒烯(ocimene):两者互为同分异构体。月桂烯存在于桂叶、蛇麻、马鞭草的挥发油中,为无色油状液体,有特殊香味。罗勒烯存在于罗勒叶、吴茉萸果实等的挥发油中,性状与月桂烯相似。两者是典型的链状单萜烯,工业上主要用作香料的原料。
香叶醇(geraniol):习称牦牛儿醇,牦牛儿苗油、玫瑰油、香叶天竺葵油及香茅Cymbopogonmarfini叶的挥发油中均含有此成分,有似玫瑰的香味,是玫瑰系香料必含的成分,亦是香料工业不可缺少的原料。玫瑰花中含有香叶醇葡萄糖苷(geranyl-β-D-glucoside),此苷可缓慢水解,使花的芳香保持久长。香叶醇可与无水氯化钙形成结晶性分子复合物,利用这一性质可方便地将其从挥发油中分离出来,该结晶复合物加水后分解,再进行减压蒸馏即可提纯。
香橙醇又名橙花醇(nerol),是香叶醇(反式)的几何异构体,在香橙油及香拧檬Citrusbergamia果皮挥发油中存在,也是香料工业不可缺少的原料。
香茅醇(citronellol):存在于香茅油、玫瑰油等多种植物的挥发油中,亦可从香叶醇或橙花醇部分氢化还原后的产物中得到。
嵩酮(artemisia ketone):存在于黄花嵩Artemisia annua挥发油中。嵩酮虽由两个异戊二烯单萜组成,但不是头-尾或尾-尾相联缩合而成,而是一种不规则的单萜。
柠檬醛(citral):具有顺反异构体,反式为α-柠檬醛,又称香叶醛(geranial),顺式为β-柠檬醛,又称橙花醛(neral)。柠檬醛通常为混合物,以反式为主,具有柠檬香气,为重要的香料,在香茅油中可达70%~85%。
(2)单环单萜(monocyclic monoterpenoids) 常见的有对-薄荷烷型、环香叶烷型和䓬酚酮型。

对-薄荷烷型
柠檬烯(limonene):为无色油状液体,具柠檬香气。分布极为广泛,它是枸橼属Citrus植物果皮挥发油中的主要成分,如柠檬油、橘皮油、佛手油等。植物香附Cyperus rotundus、砂仁Amomum microcarpum、荆芬Nepeta cataria、青嵩Artemisia carrifolia 及紫苏perillaJrutescens等挥发油中也含有柠檬烯,具有镇咳、祛痰、抗菌等活性。
松油烯(terpinene):与柠檬烯为同分异构体,其中α-松油烯在植物大叶香需Clinopodiumpolycephalum、芫荽Coriandrum satirum、茼香根Foeniculum rulgare 及鹤乱Carpesium abrotanoides 等的挥发油中均有存在。天然来源的α-松油烯常常混有少最β-与γ-松油烯。
薄荷醇(menthol):是薄荷和秋薄荷等挥发油中的主要成分,其左旋体习称薄荷脑,为白色块状或针状结晶。薄荷醇对皮肤和黏膜有清凉、弱的镇痛、止痒和局部麻醉作用,亦有防腐、杀菌和清凉作用,可用作牙膏和食品的香料。
薄荷酮Cmenthone):常与薄荷醇共存于薄荷油中,也具有浓郁的薄荷香气。
胡椒酮(piperitone):习称辣薄荷酮,存在于多种中药的挥发油中,具有松弛平滑肌作用,是治疗支气管哮喘的有效成分。
桉油精(cineole, eucalyptol):是桉叶挥发油中的主要成分(约占70%),分子中具有一个环醚结构,属于单萜氧化物,遇盐酸、氢溴酸、磷酸及甲苯酚等可形成结晶性加成物,加碱处理又分解出桉油精。有似樟脑的香气,具有解热消炎和抗菌防腐作用。
环香叶烷型
紫罗兰酮(ionone)存在于千屈菜科指甲花Lawsonia inermis 挥发油中,工业上由柠檬醛与*酮丙**缩合制备。紫罗兰酮是混合物,α-紫罗兰酮可作香料,β-紫罗兰酮可用作合成维生素A的原料。二氢-α-紫罗兰酮存在于龙涎香中,有较佳的香气。
䓬酚酮型
酚酮类化合物(troponoides) 是单环单萜中一种变形的结构类型,其碳架不符合异戊二烯规则,这类化合物结构中都有一个七元芳环。
䓬酚酮类化合物具有芳香性,环上的羟基具有酚的通性,由于邻位吸电子基团的存在而具有较强的酸性,其酸性介于酚类和羧酸之间。分子中的羟基易于甲基化,但不易酰化。分子中的羰基类似羧基中羰基的性质,但不能与一般羰基试剂反应。红外光谱显示羰基(1600~1650 cm-1)和羟基(3100~3200cm-1)的吸收峰,与一般化合物的羰基略有区别。
䓬酚酮类化合物能与某些金属离子形成不同颜色的络合物结晶体,如与铜络合物为绿色结晶,铁络合物为红色结晶。可用于鉴别䓬酚酮类化合物。
较简单的䓬酚酮类化合物是一些霉菌的代谢产物,在柏科的心材中也含有䓬酚酮类化合物。如α-崖柏素(α-thujaplicin)在欧洲产崖柏Thuja plicata、北美崖柏T. occidentalis及罗汉柏Thujopsis dolabrata的心材中含有。䓬酚酮类化合物多具有抗癌活性,但同时多有毒性。
在环状单萜中尚有单萜氧化物,如斑鳌素(cantharidin)存在千斑婺、芫青干燥虫体中,可作为皮肤发赤、发庖或生毛剂。用斑婺素制成的N-羟基斑婺胺(N -hydroxycantharidmide),试用于肝癌,有一定疗效。
(3)双环单萜(bicyc lic monot erp enoids) 双环单萜的结构类型有15种以上,常见的有6 种,其中以蒎烷型和崁烷型较稳定,形成的衍生物也较多。

蒎烯有α-蒎烯和β-蒎烯。α-蒎烯在松节油中含最最高,约70%,是合成樟脑和龙脑的重要原料;β-蒎烯在松节油中含量较少,在一定条件下可转化为α-蒎烯。
芍药苷是芍药根中的蒎烷单萜苷。在芍药中还有白芍药苷(albiflorin)、氧芍药苷(oxypaeoniflorin)、苯甲酰芍药苷(benzylpaeoniflorin)等结构类似物,多具有镇静、镇痛、抗炎活性。
樟脑(camphor)主要存在于樟树的挥发油中,是重要的医药工业原料,我国天然樟脑产最世界第一。樟脑有局部刺激作用和防腐作用,可用于神经痛、炎症及跌打损伤等。
龙脑(borneol)俗称冰片,是樟脑的还原产物。龙脑的右旋体得自龙脑香树Dryobalanops camphora的挥发油及其他多种挥发油,一般以游离状态或结合成酯的形式存在。左旋龙脑存在于艾纳香Blumea balsmifera的叶子和野菊花花蕾挥发油中。合成品是消旋龙脑。龙脑具有发汗、兴奋、祛衱、镇静、防腐、抗氧化等作用,广泛用于香料、清凉剂、中成药及临床。
三、环烯醚萜及其苷
1、概述
环烯醚萜类(iridoids)是一类特殊的单萜,为臭蚁二醛(iridoidial)的缩醉衍生物。
臭蚁二醛原是从臭蚁Iridomyrmexdetectus的防卫性分泌物分离出的物质,是衍生环烯醚萜的关键性中间氧化物。这类物质在植物体内也是由焦磷酸香叶酯(GPP)经水解脱去焦磷酸衍生而成。GPP在植物体内先逐步转化成臭蚁二醛,再衍生成环烯醚萜,环烯醚萜形成后,其4-甲基经氧化脱羧,形成4-去甲基环烯醚萜(4-demethyliridoids),其C-7、C-8处断键开环,则形成裂环环烯醚萜(secoiridoids),其生物合成途径如下。

环烯醚萜类多与糖结合成苷而存在,在植物中分布较广,特别是在玄参科、茜草科、唇形科及龙胆科中较为常见。常见如地黄、玄参、枙子、龙胆等都含有此类成分。
环烯醚萜类具有多种活性,如京尼平具有显著的促胆汁分泌和泻下作用,梓醇具有降血糖作用,桃叶珊瑚苷元有抗菌消炎作用。
2、结构类型
环烯醚萜类化合物基本结构一般含有环戊烷环及半缩醛结构,其半缩醛1-OH性质不稳定,故1-OH常与糖成苷的形式存在于植物体内,而根据其环戊烷环是否裂环,可将环烯醚萜类化物分为环烯醚萜苷及裂环环烯醚萜苷两大类。
(1)环烯醚萜苷类 其苷元结构特点为C-1多连羟基,并多成苷,且多为β-D-葡萄糖苷,常有双键存在, C-5、C-6、C-7有时连羟基,C-8多连甲基或羟甲基或羟基,C-6或C-7可形成环酮结构,C-7和C-8之间有时具环氧醚结构,C-1、C-5、C-8、C-9多为手性碳原子。
根据4位取代基的有无,环烯醚萜苷类又分为环烯醚萜苷及4-去甲基环烯醚萜苷两种类型。
C-4位有取代基的环烯醚萜苷:4位多连甲基或羧基、羧酸甲酯、羟甲基。

例如,存在枙子中的枙子苷(gardenoside)及京尼平苷(geniposide)、京尼平甘酸。枙子甘有一定泻下作用,其苷元京尼平(genipin)具有显著的促进胆汁分泌活性。鸡屎藤苷(paederoside)是鸡屎藤Paederiascanden的主要成分,其4位羧基与6位羟基形成γ-内酯,而10位的甲硫酸酯在鸡屎藤组织损伤时产生有鸡屎嗅的甲硫醇,故鸡屎藤有鸡屎的恶臭。马鞭草苷(verbenalin)存在于马鞭草Verbenaoffinalis中,有收缩子宫的作用,是副交感神经作用器官的兴奋剂,并有镇咳作用。
4-去甲基环烯醚萜苷:为环烯醚萜苷4位去甲基降解苷,苷元碳架部分由9个碳组成,环上取代与环烯醚萜苷相似。

梓醇(catalpol):是地黄Rehmanniaglutinosa降血糖的有效成分,并有较好的利尿作用。梓苷(catalposide)也有类似作用。
哈帕酯苷(harpagoside):存在于浙玄参Scrophularia ningpoe:nsis和北玄参Scroph-ularia buergeriana根中,有一定的镇痛抗炎活性。
(2)裂环环烯醚萜苷 裂环环烯醚萜苷是环烯配前者苷元部分在C-7、C-8位处开环衍变而来,C-7有时还可与C-11形成六元内酯结构。这类化合物在龙胆科的龙胆属及獐牙菜属、茜草科、木犀科等植物中分布较广。

龙胆苦苷(gentiopicroside,gentiopicrin)存在于龙胆科植物龙胆Gentiana scabra、当药 Swertza pseudochinensis及獐牙菜Swertiamileensis等植物中,是龙胆的主要有效成分和苦味成分,味极苦。龙胆苦苷在氨的作用下可转化成龙胆碱(gentianine)。
当药苷(又名獐牙菜苷sweraside)及当药苦苷(又名獐牙菜苦苷swertiamarin)是当药和獐牙菜中的苦味成分。
3、理化性质
(1)性状
环烯醚萜苷类化合物大多为无色结晶或无定形粉末,味苦,多有旋光性。
(2)溶解度
易溶于水和甲醇,可溶于乙醇、*酮丙**和正丁醇,难溶于氯仿、乙酥和苯等亲脂性有机溶剂。
(3)检识和颜色反应
环烯醚萜类对酸很敏感,易被水解,生成的苷元为半缩醛结构,其化学性质活泼,容易进一步聚合,难以得到结晶性的苷元。苷元遇酸、碱、羰基化合物和氨基酸等都能变色。因此,可利用酸水解检查环烯醚萜苷类的存在。
如车叶草苷(asperuloside)在酸性条件下加热,能被水解、聚合产生棕黑色树脂状聚合物沉淀;若用酶水解,则显深蓝色,不易得到结晶性苷元。游离的苷元遇氨基酸并加热,即产生深红色至蓝色,最后生成蓝色沉淀。因此,与皮肤接触,也能使皮肤染成蓝色。苷元溶于冰乙酸溶液中,加少量铜离子,加热显蓝色。这些呈色反应,可用于环烯醚萜苷的检识及鉴别。
4、提取分离
一般采用溶剂提取法。提取时在植物中常加入碳酸钙或氢氧化钡以抑制酶的活性并中和植物酸。一般采用水、甲醇、乙醇、*酮丙**等为溶剂,减压回收溶剂后转溶于水中,去除树脂等水不溶性杂质,再用*醚乙**或石油醚除去脂溶性杂质,水层中存在的酚性杂质用乙酸铅除去,再用正丁醇从水层萃取出环烯醚萜苷,减压回收溶剂后得到粗苷。
同一种植物中往往含有多种结构相似的环烯醚萜苷,进一步分离可采用硅胶、氧化铝等制备薄层析或柱色谱等,也可应用制备型高效液相色谱分离纯化。
5、提取分离实例
独一味是唇形科植物,根与根茎入药,有活血祛淤、消肿止痛的功效,藏、 蒙、纳西等民族用于治疗跌打损伤等症。从独一味根中分离得到四种环烯醚萜苷类化合物。


四、倍半萜
1、概述
倍半萜类(sesquiterpenoids)是由3个异戊二烯单位构成,含15个碳原子,多与单萜共存于植物挥发油中,是挥发油高沸程(250~280℃)的主要组分,也有低熔点的固体。倍半萜的含氧衍生物多有较强的香气和生物活性,是医药、食品、化妆品工业的重要原料。
倍半萜类的骨架类型及化合物数量是萜类成分中最多的一类,其研究发展很快,已发现的倍半萜化合物数量已达1万种。
2、结构类型和重要化合物
倍半萜类化合物按其结构的碳环数目分为无环(开链)、单环、双环、三环及四环等,其碳环可有五、六、七甚至十元的大环。倍半萜的结构类型、部分基本碳架及主要代表化合物介绍如下。
(1)无环倍半萜(acyclic sesquiterpenoids)

金*欢合**烯(farnesene)存在于批把、生姜等挥发油中,有α和β两种构型。金*欢合**醇(farnesol)在金*欢合**Acaciafarnesiana花油、橙花油、香茅油中含最较多,是重要的高级香料原料。橙花叔醇 (nerolidol)具有苹果香,是橙花油中主成分之一。
(2)单环倍半菇(monocyclic sesquiterpenoids)

没药烯(bisabolene)存在于没药油、柠檬油等多种挥发油中。
葎草烯(α-丁香烯,humulene,a -caryophyllene)存在于啤酒花挥发油中,为(β-丁香烯(双环九碳大环)的十碳大环异构物。
吉马酮(germacrone)存在于牦牛儿苗科植物大根老鹤草Geranium macrorrhizum、杜鹃花科植物兴安杜鹃Rhododendron dauricum叶的挥发油中,有平喘、镇咳作用。
青嵩素(qinghaosu, arteannuin, artemisinin)是过氧化物倍半萜内酯,存在于青嵩(黄花嵩Artemisia annua)中,有很好的抗恶性疟疾活性,其多种衍生物制剂如嵩甲醚、青嵩唬珀酸单酯等已用于临床。
(3)双环倍半萜(bicyclic sesquiterpenoids)
萘烷型衍生物

桉叶醇Ceudesmol)有α-桉叶醇(α-eudesmol)及β-桉叶醇(β-eudesmol)两种异构体,存在于桉油、厚朴、苍术中。
苍术酮(atractylone)存在于苍术挥发油中,属桉烷型。
棉酚(gossypol)为杜松烯型的双分子衍生物,主要存在于棉籽中,在茎叶中也含有。棉酚结构中虽不含手性碳原子,但由于2个苯环折叠障碍而有旋光性,在棉籽中为消旋体。棉酚是有毒的黄色色素有杀精子作用,曾试用作为男性计划生育药,但因副作用大而未应用于临床。
薁类:薁类化合物(azulenoids)是由五元环与七元环骈合而成的芳烃衍生物。可看成由环戊二烯负离子和环庚三烯正离子骈合而成,是一种非苯型的芳烃类化合物。但自然界存在的薁类衍生物多是氢化产物的衍生物,基本母核已失去芳香性。这类成分在愈创木油、香附子油、桉叶油中均有存在。
愈创木醇(guaiol)是存在于愈创木Guaiacum officinale木材挥发油中的氢化薁类衍生物,当愈创木醇类成分在蒸馏、酸处理时可氧化脱氢形成薁类。

将挥发油分级分馏时,在高沸点馏分中有时可看见美丽的蓝色、紫色或绿色的馏分,这显示可能有薁类成分存在。薁类沸点较高,一般在250~300℃,可溶于石油醚、*醚乙**等有机溶剂,不溶于水。可溶于强酸,加水稀释又可析出,故可用60%~65%硫酸或磷酸提取,提取后的酸液加水稀释,薁类成分可析出。
薁类与苦味酸或三硝基苯试剂产生π络合物结晶,此结晶具有敏锐的熔点可借以鉴定。薁分了具有高度共扼体系的双键,在可见光(400~700nm)吸收光谱中有强吸收峰。

薁类化合物多具有抑菌、抗肿瘤、杀虫等活性。如莪术醇(curcumol)及莪术二醇、异莪术醇等存在于莪术Curcuma zedoaria根茎的挥发油内,具有抗肿瘤活性。泽兰苦内酯(euparotin)、泽兰氯内酯(eupachlorin)是圆叶泽兰Eupatorium rotundifolium中抗癌活性成分。
(4)三环倍半萜(tricyclic sesquiterpenoids)

环桉醇(cycloeudesmol)存在于对枝软骨藻Chondric oppsiticlada中,具有很强的抗金黄色葡萄球菌作用,还有抗白色念珠菌活性。
α-白檀醇(α- santalol)存在于白檀木的挥发油中,属α-檀香烷衍生物,有很强的抗菌作用,曾用作尿道消毒药。
五、二萜和二倍半萜
1、二萜类概述
二萜类化合物可看成是由4个异戊二烯单位聚合而成的衍生物,含20个碳原子。二萜类的结构显示多样性,但都是由焦磷酸香叶基香叶醇(GGPP)衍生而成,几乎都成环状结构。二萜类化合物分子量较大,挥发性较差,绝大多数不能随水蒸气蒸馏。
二萜在自然界分布很广,植物分泌的乳汁、树脂等均以二萜类为主,在松科中分布尤为普遍。属二萜类的植物醇为叶绿素的组成部分,凡绿色植物均含有之。 此外,在菌类的代谢物及海洋生物中也分离得到为数较多的二萜类化合物。
不少二萜含氧衍生物具有较强的生物活性,如紫杉醇、穿心莲内酯、芫花酯、雷公藤内酯、银杏内酯、丹参酮等,有的已是临床重要的药物。
2、二萜类结构类型及重要化合物
二萜类化合物按结构不同分为无环(开链)、单环、双环、三环、四环、五环等类型,天然存在以双环及三环二萜数量较多,无环及单环二前者较少。下面列举一些主要二萜碳架及代表化合物。
(1)无环二萜(acyclicdi terpenoids) 植物醇(phytol)是叶绿素的组成成分,也是维生素E和K1的合成原料。

(2)单环二萜(monocyclicditerpenoids) 维生素A(vitaminA)存在于动物肝脏中,鱼肝中含噩更丰富,往往以酯的形式存在。
(3)双环二萜(bicyclic diterpenoids)

穿心莲Andrographis paniculata叶含有较多二萜内酯类成分,其中穿心莲内酯苷(andrographolide) 是抗炎主要活性成分,临床上已用于治疗急性菌痢、胃肠炎、咽喉炎、感冒发热等,但其水溶性较差,为了增强溶解度,将穿心莲内酯制备成溶解度较大的穿心莲内酯磺酸钠或穿心莲内酯丁二酸半酯钾盐。
银杏内酯(ginkgolides)是银杏Ginkgobiloba根皮及叶的苦味成分,是银杏叶制剂中治疗心脑血管病的主要有效成分之一。目前已分离出银杏内酷A~C、M、J(ginkgolideA~C, M,J)。其基本结构中有3个内酯环,但碳环只有2个。
(4)三环二萜(tricyclicditerpenoids) 常见的基本母核有松香烷、海松烷、紫杉烷等。

左松脂酸(levopimaricacid)、松脂酸(pimaricacid)和松香酸(abieticacid)是从松树干中流出的黏稠液体,称为松脂,其中挥发油称松节油,不挥发性成分中以左松脂酸为主。左松脂酸经酸、热或空气的催化,易发生异构化转变为性质更稳定的松香酸。实际上松脂经水蒸气蒸馏分出松节油后,在剩余的松香中已全部转变为松香酸,而不再以左松脂酸存在。松脂中同时存在的还有右松香酸、新松香酸和去氢松香酸。

雷公藤甲素(triptolide)、雷公藤乙素(tripdiolide)、雷公藤内酯(triptolidenol)及16-羟基雷公藤内酯醇(16-hydroxytriptolide)是从雷公藤Tripterygium wilfordii中分离出的抗癌活性物质。雷公藤甲素对乳癌和胃癌细胞系集落形成有抑制作用,16-羟基雷公藤内酯醇具有较强的抗炎、免疫抑制和雄性抗生育作用。
紫杉醇(taxol)又称红豆杉醇,存在于红豆杉科红豆杉属Taxus多种植物中,为具有紫杉烷的二萜类化合物,临床上主要用千治疗卵巢癌、乳腺癌和肺癌等,有较好疗效。
(5)四环二萜(tetracyclic diterpenoids) 甜菊苷(stevioside)是菊科植物甜叶菊Stevza rebaudianum叶中所含的四环二萜苷,还有甜菊苷A、D、E(rebaudiosidesA, D, E)等多种甜味苷,甜菊苷A甜味较强,但含量较少。总甜菊苷甜度约为庶糖的300倍。甜叶菊在我国已大面积栽培,甜菊苷作为庶糖代用品在医药、食品工业广泛应用,但近年来甜菊苷有致癌作用的报道,美国及欧盟已禁用。
芸香科香茶菜属植物中分离得到近200种二萜化合物,其中香茶菜Rabdosiaamethystoides叶中的香茶菜甲素(amethystoidinA)具有抗肿瘤及抑制金黄色葡萄球菌活性。
大戟二萜醇(phorbol)存在于大戟科和瑞香科的许多植物中,属于辅致癌剂。例如,巴豆油过去曾用作剧烈的泻下药,也作为发红剂和抗刺激剂用。后来发现巴豆油有辅致癌剂的活性,其辅致癌活性成分均来自巴豆油的偏亲水性部分,其母体化合物为大戟二帖醇,本身没有辅致癌活性。大戟二萜醇分子中有5个羟基,C-12 和C-13位上的两个羟基酯化生成二元酯时,若其中一个酯键由长链脂肪酸形成,而另一个酯键是由短链脂肪酸形成,所得的化合物即有辅致癌活性。
3、二倍半萜
二倍半萜类(sesterterpenoids)可以看成是由5个异戊二烯单位构成的化合物,基本碳架包含25个碳原子。其生物合成途径是焦磷酸香叶基金*欢合**酯(FPP)衍生而来。此类成分数量不多,是萜类家族中最少的一员,在羊齿植物、菌类、地衣类、闻洋生物及昆虫分泌物中陆续发现。二倍半萜类共有无环、单环、二环、三环、四环及五环六种类型。

呋喃海绵素-3(furospongin-3)是从海绵中分得的链状二倍半萜化合物。 seco-manoalide是从Luffarilla uariabillis中分得的具有抗菌作用的单环二倍半前萜,蛇玸假壳素A(ophiobolin A)是真菌稻芝麻枯病菌Ophiobulusmiyabeanus的成分,具有C5-C8-C5骈合基本骨架,有阻止白藓菌及毛滴虫生长发育作用。梯纹海绵素是梯纹海绵Cacosponga scalaris中的四碳环二倍半萜,网肺衣酸 (retigeranic acid)是网肺衣中的五碳环二倍半萜。
六、萜类化合物的理化性质
萜类化合物结构类型差异很大,但因分子结构中多具有双键、共枙双键等,因而具有一些相同的物理和化学性质。
1、物理性质
(1)性状 单萜及倍半萜在常温下多为具特异性香气的油状液体,具有挥发性,少数为固体结晶。单萜及倍半萜可随水蒸气蒸馏。二萜及二倍半萜多为固体结晶。萜苷多为固体结晶或粉末,无挥发性。
(2)味 萜类化合物多具苦味,又称苦味素。也有少数萜有甜味,如甜菊苷。
(3)旋光性 萜类化合物大多含手性碳,有光学活性。
(4)溶解性 萜类化合物一般极性低,难溶于水,溶于甲醇、乙醇,易溶于*醚乙**、氯仿、乙酸乙酯、苯等亲脂性有机溶剂。具羧基、酚羟基及内酯结构的萜还可溶于碳酸氢钠或氢氧化钠水液,加酸使之游离或环合后,又可自水中析出或转溶于亲脂性有机溶剂,此性质常用于提取分离此类结构的萜类化合物。
萜苷类化合物极性较大,水溶性较强,一般能溶于热水,易溶于甲醇及乙醇,不溶或难溶于亲脂性有机溶剂。
萜类化合物结构中常有双键、碳基等不饱和基团,对热、光、酸及碱较敏感,长时间接触,常会引起其氧化、重排及聚合反应,导致结构变化。因此在提取、分离及储存萜类化合物时,应注意尽量避免这些因素的影响。
2、化学性质
含有双键和醛酮等羰基的萜类化合物,可与相应的试剂发生加成反应,加成产物因溶解性改变而析出结晶,故可用加成反应分离和纯化这些类型的萜类化合物。
双键加成反应
(1)卤化氢加成反应:萜类化合物的双键与氯化氢及溴化氢等卤化氢类试剂在冰乙酸为溶剂时进行加成反应,加成产物可于冰水中析出结晶。如β-荜澄茄烯(β-cadinene)的冰乙酸溶液中加入氯化氢饱和的冰乙酸,反应完后,倒入冰水中,即析出加成物结晶。
(2)溴加成反应:萜类化合物的双键在冰乙酸或*醚乙**-乙醇混合溶液中滴加溴,在冰冷却下,可生成其溴加成物的结晶。
(3)亚硝酰氯反应:很多不饱和萜类化合物能与亚硝酰氯(Tilden试剂)加成,生成亚硝基氯化物。先将不饱和萜或其冰乙酸溶液与亚硝酸戊酯混合,冷却下加入浓盐酸,振摇,即可析出亚硝基氯化物结晶,其结晶多为蓝色或蓝绿色,可用于不饱和前者的分离及鉴别。
需要注意的是,非四取代萜烯的氯化亚硝基衍生物结晶多为无色的二聚体,可加热至熔触或做成溶液解聚而呈蓝或蓝绿色。

(4)Diels-Alder反应:含共轭二烯结构的萜类化合物能与顺*烯丁**二酸酐发生Diels-Alder反应,生成物为结晶,可以此初步证明共轭双键的存在。
羰基加成反应
(1)亚硫酸氢钠加成:具羰基的萜类化合物可与亚硫酸氢钠加成,生成结晶性的加成物而与非醛酮类的萜分离,其加成物用酸或碱(多用草酸、硫酸或碳酸钠)处理,可分解复原成原萜醛或萜酮。但此反应时间过长或温度过高,会使双键发生不可逆的加成,故用此法处理具有双键的萜醛或萜酮时要注意控制反应条件。如柠檬醛的加成,不同条件下得到的加成物不同。
(2)与硝基苯阱加成:具羰基的萜类化合物可与对硝基苯阱或2,4-二硝基苯阱在磷酸中发生加成反应,生成硝基苯阱或2,4-二硝基苯阱的加成物,加成物常以结晶析出。
(3)吉拉德试剂加成:吉拉德试剂是一类带季桉基团的酰肼,可与具羰基的萜类生成水溶性加成物而与脂溶性非碳基萜类分离,常用的试剂为吉拉德T及P试剂两种。反应时在萜酮及萜醛的乙酸-无水乙醇(1: 10)溶液中加入吉拉德试剂(加乙酸为促进反应),加热回流,反应完毕后水稀释,用*醚乙**萃取非碳基类化合物后,分取水层用硫酸或盐酸酸化,再用*醚乙**萃取,*醚乙**萃取液蒸去溶剂即得原萜酮或萜醛。
萜类化合物除具有上述加成反应外,还有分子重排、氧化和脱氢反应等。
六、萜类化合物的提取分离
萜类化合物种类繁多、骨架庞杂、数量庞大,同分异构体多,理化性质差异较大,结构稳定性差,故提取分离难度相对较大。提取分离的方法也应根据结构类型的不同而呈现多样化。
1、萜类化合物的提取
(1)挥发性萜 可用挥发油的方法提取。
(2)游离萜 可用甲醇或乙醇提取,提取液减压浓缩至一定休积,并调整适当的醇浓度,再用不同极性的亲脂性有机溶剂按极性由小到大的顺序依次萃取,得到不同脂溶性的萜类提取物。
(3)萜苷 提取萜苷类多用甲醇或乙醇做溶剂,提取液经减压浓缩后加水溶解,滤去水不溶性杂质,用*醚乙**、氯仿或石油醚萃取去除脂溶性杂质,脱脂后的萜有水溶液可采用正丁醇萃取法、活性炭、大孔树脂吸附法去除水溶性杂质。
萜苷的提取纯化过程中,酶及酸易使苷键裂解,尤其是环烯醚萜苷稳定性差,更需注意。
(4)萜内酯 萜内酯的提取采用碱水提取酸化沉淀法。利用内酯在热碱溶液中易开环成盐溶于水,酸化环合又可析出原内酯的特性,用碱水提取酸化沉淀的方法处理粗总萜,可得到较纯的总萜内酯(倍半萜内酯用此法较多)。 但某些遇酸碱易引起结构发生不可逆变化的萜内酯,不可用。
2、萜类化合物的分离
(1)结晶法分离 有些萜类化合物的粗提取物,溶液浓缩至小体积时,常会析出粗晶,滤取此结晶,再用适当溶剂重结晶,可得到较纯的萜类化合物。如薄荷醇、樟脑等可用结晶法分离。
(2)利用结构*特中**殊*能官**团分离 萜类化合物中常有双键、羰基、内酯环、羧基、碱性氮原子(萜类生物碱)及羟基等*能官**团,可有针对性地利用特殊*能官**团的特殊性质来分离纯化。如含双键的萜类其加成物可使液态单萜烯以结晶形式析出,内酯萜碱开环酸环合与非内酯类分离。
(3)柱色谱法分离 柱色谱法是分离萜类化合物的主要方法。常用的吸附剂为硅胶、中性氧化铝,其中硅胶应用最广。多以石油醚、正已烷、环己烷及苯单一低极性溶剂分离萜烯,或混以不同比例的乙酸乙酯或*醚乙**分离含氧萜,对于多羟基的萜醇及萜酸还要加入甲醇或用氯仿-乙醇洗脱。
3、提取分离实例
(1)单萜化合物的提取分离 月桂Laurus nob山s L.系樟科植物,叶富含挥发油,油中含有α-蒎稀(1)、β-蒎稀(2)、樟烯(3)、月桂烯(4)、α-菲兰烯(5)、β-菲兰烯(6)、柠檬烯(7)、1,8桉油精(8)、对聚伞素(9)等单萜成分,以及β-瑟林烯(10)、γ-杜松烯(11)和杜松烯(12)等。提取分离流程如下。

(2)二萜化合物的提取分离 穿心莲中含有多种二萜内酯类化合物,目前已分离鉴定的化合物主要有穿心莲内酯、新穿心莲内酯(neoandrographolide)、去氧穿心莲内酯(dexyandrographolide)、脱水穿心莲内酯(dehydroandrographolide)等,其中以穿心莲内酯的含最最高。
穿心莲内酯又称穿心莲乙素,为无色方形或长方形结晶,味极苦。易溶于甲醇、乙醇、*酮丙**等,微溶于氯仿、*醚乙**,难溶于水、石油醚、苯。具有内酯的通性,遇碱并加热,内酯可开环成穿心莲酸盐,遇酸则闭环恢复成穿心莲内酯、对酸碱不稳定,pH>10时,不但内酯开环,并可产生双键位移等结构改变。内酯环具有活性亚甲基反应,可与Legal试剂、Kedde试剂等反应显紫红色。提取与分离方法如下。

七、含萜类化合物的植物实例
1、青嵩
青嵩为菊科植物黄花嵩Artemisiaannua L.的干燥地上部分,性寒,味苦、辛,具有清热解毒、除蒸截疟的功效。青嵩所含萜类化合物有嵩酮、异嵩酮(isoartemisiaketone)、桉油精(cineole)、樟脑等单萜,青嵩素(artemisinin)、青嵩甲素(qinghaosuA)、青嵩乙素(qinghaosuB)、青嵩丙素 (qinghaosu C)及青嵩酸等倍半萜,β-香树脂醋酸酯等三萜化合物及部分黄酮、香豆素和植物甾醇类成分,其中倍半萜内酯化合物研究得最为深入。

我国学者于20世纪70年代初首次从青嵩中分离得到的具有过氧桥的新型倍半萜内酯-青嵩素是主要抗疟有效成分,对间日疟或恶性疟的治疗具有疗效显著、副作用小的优点,是一种高效速效的抗疟有效单体化合物。多年来药学工作者对青嵩素构效关系、结构修饰进行了大最研究工作,成果累累。
青嵩素的水溶性很差,通过结构修饰,得到了抗疟效价更高的水溶性青嵩唬酯(artesunate)及油溶性好的嵩甲醚(artemether)。嵩唬酯钠可供静脉注射以抢救血栓型恶性疟疾。

提取分离青嵩素的方法有多种,适合中型生产的工艺流程如下。

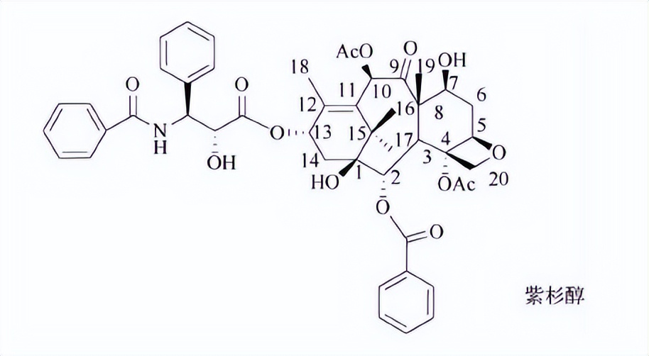
2、紫杉
紫杉又称红豆杉,为红豆杉科红豆杉属Taxus植物。红豆杉属共有11个种,我国有4种和1变种。1971 年,Wani等首先从短叶红豆杉Taxusbrevifolia 的树皮中分离得到紫杉醇(Taxol),其后又有人陆续从其他同属植物中分离得到。我国的东北红豆杉 T. cuspidata、*藏西**红豆杉T. wallichiana、云南红豆杉T. yunnanensis和中国红豆杉T. chinensis等红豆杉属植物也分离到紫杉醇。
研究表明,紫杉醇有明显的抗肿瘤作用,临床上主要用于卵巢癌,也用于肺癌、恶性淋巴瘤、乳腺癌等。紫杉醇的抗癌机制独特,它能与微量蛋白结合,并促进其聚合,抑制癌细胞的有丝分裂,有效阻止癌细胞的增殖。紫杉醇于1992年12月底最先在美国经FDA批准上市,随后加拿大、美国、法国、德国等数十个国家均允许紫杉醇上市销售,被誉为20世纪90年代国际上抗肿瘤药三大成就之一。
(1)化学成分 目前,已从红豆杉属植物中分离出近200多种紫杉烷二萜类似物。其中,紫杉醇具有显著的抗肿瘤活性,分子结构中C-4、C-5、C-20位的环氧丙烷结构、C-2的苯甲酰氧基及C-4位的乙酰基是活性必需基团。紫杉醇在植物体内可以游离状态存在,也可与糖结合成苷,如7-木糖基紫杉醇和7-木糖基-10-去乙酰紫杉醇。

紫杉醇的含量在同属不同种植物、不同部位及不同采集期差别很大,大体上在0.001%~0.076%(干品)。紫杉醇因在植物体内含量低,紫杉生长缓慢,树皮剥去后不能再生,来源受限。紫杉醇的全合成虽获得成功,但合成步骤复杂、成本昂贵,目前尚无工业应用价值。现大多是以浆果紫杉的新鲜叶子中提取紫杉醇前体10-去乙酰巴卡亭Ⅲ(10-deacetyl-baccatinⅢ,含最约0.1%)为原料,经过四步化学过程可半合成紫杉醇,收取率近50%。
(2)紫杉醇的理化性质 紫杉醇为针状结晶(甲醇-水),游离的紫杉醇可溶于甲醇、乙醇、*酮丙**、乙酸乙酯、二氯甲烷、三氯甲院等有机溶剂,难溶于水,不溶于石油醚;与糖结合成苷后水溶性大大提高。紫杉醇在pH 4~8范围内比较稳定,碱性条件很快分解,对酸相对稳定。
(3)紫杉醇的提取分离 紫杉醇及紫杉烷类似物主要存在于紫杉树皮和叶中,含最极低,给其从植物中的提取分离带来一定困难。一般采用溶剂提取结合色谱法纯化分离。以甲醇、乙醇、*酮丙**、甲醇-二氯甲烷(1 : 1)、乙酸乙酯-*酮丙**(1 : 1)等溶剂浸提,用石油醚萃取除去脂溶性杂质,继用二氯乙烷或氯仿萃取,合并二氯乙烷或氯仿萃取液,回收溶剂得稠浸膏状提取物,再用硅胶常压柱、低压柱、干柱等色谱方法分离,往往要进行多次柱色谱分离才能得到纯品。其中以C18 反相色谱柱进行制备HPLC法分离纯化紫杉醇效果较好。