
勾股定理有如下关系:a^2+b^2=c^2。即给出一个直角三角形,立于直角边a、b边上的两个正方形的面积之和,等于立于斜边c上正方形的面积。我们可以简单的使用相似形来证明。


在上面的证明过程中,我们使用了射影定理:

这个定理在勾股定理的证明和变形中皆有重要的应用。
比如在简化毕达哥拉斯的证明方法时可以这样处理。(如下图)

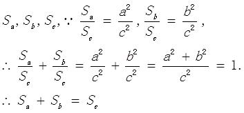
一般情况下,我们是利用全等三角形来证明的,其中要用到分割,全等,等积转化等过程,比较麻烦。如果从上述结论入手就简单多了。比如由AC^2=AO﹒AB,左边的几何意义是正方形ACFG的面积,右边AO﹒AB=AO﹒AE的几何意义是长方形OAEM的面积,同理可证:正方形BKHC的面积=长方形BOMD的面积,下略,是不是很简单呢!
再比如由

这就是上面的射影定理的长度表达式。其中任何一个变形之后都是勾股定理。

01 二维推广
推广1:边上图形一般化
在用相似证明勾股定理时,根据“相似三角形面积的比等于相似比的平方”可以更简单地得到证明。

受上述证明启发,我们可以发现一个很有趣的现象:

如图 ,沿着Rt△ABC的斜边AB向上折叠,得到一个相同的三角形,其面积记着S1(就是Rt△ABC的面积)。再分别以AC、BC为斜边,向Rt△ABC的外部作与Rt△ABC相似的两个直角三角形(其面积分别记着S2、S3),再分别沿着AC、BC向内折叠,这两个直角三角形刚好填满Rt△ABC!即S1=S2+S3。
这表明:
分别以直角三角形的三边为斜边作三个相似的直角三角形(如上述作法),则斜边所在的三角形的面积等于两条直角边所在的两个三角形的面积之和。
这可以看成是勾股定理呈现形式的推广。类似地,我们还可以做如下推广:
假如我们把立于直角边上和斜边上的正方形,用其他相似图形代替,它们的面积是否也有以上的关系呢?
欧几里得在《几何原本》中记述了该定理的一个推广,即“直角三角形斜边上的一个多边形,其面积等于两直角边上两个与它相似的多边形面积之和。”并给出了一般性证明:设a、b、c三边上所立三个相似多边形的面积分别为


推广2:边上图形不相似
帕普斯是公元前300年的一位希腊数学家。他证明了勾股定理的一个有趣的变形:即将立于直角三角形边上的正方形改为平行四边形(不一定相似),但需按以下步骤构造平行四边形(如图):

(1)在二直角边上构造任意大小的两个平行四边形;
(2)延长此二平行四边形的边使其相交于点P;
(3)连接PA并延长使其与BC相交于RR,并取RQ=PA;
(4)以斜边BC为一边画平行四边形,并使其另一组对边与RQ平行且相等。
作出的三个平行四边形面积会有如下关系:“立于斜边上的平行四边形的面积等于立于直角边上其他两平行四边形的面积之和”。
推广3:推广为任意三角形
我们还可以把勾股定理推广到任意的三角形,得出余弦定理:
在△ABC中,∠A、∠B和∠C的对边分别为a、b、c,则
a2=b2+c2-2bccosA,
b2=c2+a2-2cacosB,
c2=a2+b2-2abcosC。
02.三维推广
勾股定理和余弦定理分别可以推广至三维空间的情形。
三维空间的勾股定理一:在长方体中,我们有对角线的平方=长宽高三度的平方之和。
三维空间的勾股定理二:
在直三棱锥D-ABC(D-ABC系直三面角,即面ADB、面ADC、面BDC三者两两垂直,可以想象为墙之一角或者长方体的一个角)中,设S1、S2、S3、S分别为△ABD、△BDC、△ADC和△ABC的面积,则S^2=S1^2+S2^2+S3^2。

三维空间的余弦定理:如图,在三棱锥A-BCD中,设S1、S2、S3、S4分别为△ADC、△ADB、△BDC、和△ABC的面积,又二面角B-AD-C=α,A-BD-C=β,A-DC-B=γ,则
S4^2=S1^2+S2^2+S3^2-2 S1S2cosα-2 S2S3cosβ-2 S1S3cosγ。

03代数中的勾股问题的推广
03.1勾股数在空间的推广
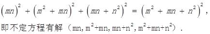
在上述的长方体中我们对角线的平方等于三度的平方之和,我们自然想到这样的问题:能否做出一个长方体,使它的的长x宽y高z和对角线w的长度都是整数。这在代数上就是要问,四元二次不定方程x^2+y^2+z^2=w^2有无正整数解。直接回答上述问题并不难,取两组勾股数(3,4,5)与(5,12,13)我们很容易得到3^2+4^2+12^2=13^2,故而(3,4,12,13)是一组解,当然它的整数倍也是解。同理可得(8,9,12,17)亦是。
一般来说,只要有两组基本勾股数组,就可以求出上述不定方程的一个整数解来。实际上我们有恒等式:

03.2连续整数的平方关系
①人们从3^2+4^2=5^2和这组连续整数的平方关系想到是否存在类似的等式.经研究发现下列等式都是成立的:
3^2+4^2=5^2
10^2+11^2+12^2=13^2+14^2
21^2+22^2+23^2 +24^2=25^2+26^2+27^2
36^2+37^2+38^2+39^2+40^2=41^2+42^2+43^2+44^2
看!每一个等式都是由连续的自然数组成的!这些等式是怎样得到的呢?其实,只要利用一元二次方程就可以很容易地依次求出每一个等式.它的一般表达式是:
(2n^2+n)^2+(2n^2+n+1)^2+…+(2n^2+2n)^2
=(2n^2+2n+1)^2+(2n^2+2n+2)^2+…+(2n^2+3n)^2.
②对任意8个连续的自然数存在如下关系:
n^2+(n+3)^2+(n+5)^2+(n+6)^2=
(n+1)^2+(n+2)^2+(n+4)^2+(n+7)^2
03.3在幂指数上的推广
人们在研究自然数的平方关系时,很自然地想到自然数的三次方、四次方、…之间是否也存在类似的关系,这要从两个方面来说.
① 不限制自然数的个数
如果在提高幂指数时不限制自然数的个数时,那么类似的等式也是存在的.如次数为3时:
3^3+4^3+5^3=6^3;1^3+6^3+8^3=9^3;3^3+4^3+5^3+1^3+8^3=9^3;…
数学家们还找到了幂指数为3时的一些一般表达式:
m^3+(9mn^4-3mn)^3+(9mn^3-m)^3=(9mn^4)^3;
( 3m^2+5mn-5n^2) ^3+( 4m^2-4mn+6n^2) ^3+( 5m^2-5mn-3n^2) ^3+
=( 6m^2-4mn+4n^2) ^3.
沿着这条思路逐步提高幂指数,数学研究工作者找到了一些次数更高的等式:
20世纪初美国数学家发现:30^4+120^4+272^4+315^4=353^4;
20世纪60年代,又有人证明了27^5+84^5+110^5+133^5=144^5;
此后,指数为6、7、8、9的例子也陆续找到,其中9次方的例子竟然是90个正整数的9次方的和等于9339636的9次方.
② 自然数的个数仅限于3个的情形--费尔马大定理
如果限定自然数的个数为3个,而只提高乘方的次数,那么这样的等式是否存在呢?即当n>2时,方程a^n+b^n=c^n有没有整数解?这个问题是17世纪上半页时,法国业余数学家费马提出来的:他在阅读丢凡图的《算术》一书中关于勾股定理的内容时,在书上页边写下了一段后来令世人惊讶的话:“不可能把一个立方数分解为两个立方数之和,也不可能把一个四次方数分解为两个四次方数之和;一般地,不可能把任何高于两次的幂分解为两个同次幂之和.对此,我已发现了一个真正奇妙的证明,可惜这里页边空白太小,写不下了.”
费马定理问世以后,世界上很多优秀的数学家都在探索那个“真正奇妙的证明”,法国科学院、德国科学院都曾悬赏征解.但300多年间,人类还没有征服它.但人类在探索这个问题的过程中却不断的得到新的数学方法,它对数学的发展起到了有力的推动作用,所以这个问题被希尔伯特誉为“一只会下金蛋的鸡”.1994年9月英国数学家怀尔斯历经8年的潜心研究,终于证明了这个数学难题--费马大定理.
③费马的结论与三角形的结合
定理:在三角形ABC中,设c是最大边,存在k>1,使得c^k=a^k+b^k成立,
若为锐角三角形的充分必要条件是:k>2;
若为锐角三角形的充分必要条件是:k=2;
若为锐角三角形的充分必要条件是:k<2.
