历史类考生各分数段能上的省内专科院校(以2022年数据为例,报考请参考多年排位数据)
437分以上

437分是2022年广东高考普通历史类的本科线。 其2022年的普通专科历史类的投档中有广东省内的院校专业组有314个,其中最低投档分在437分(本科线上)的有63个组。这63个组中,有37个组是协同培养的院校专业组(三二分段)。
其他专业组分别属于深圳职业技术学院、广东轻工职业技术学院、深圳信息职业技术学院、顺德职业技术学院、广东食品药品职业学院、广州番禺职业技术学院、韩山师范学院、肇庆医学高等专科学校、河源职业技术学院、广州卫生职业技术学院。
400-436分


400-436的分数段,对应的排位约在10W-14W,此分数段专业组均是公办院校的专业组。
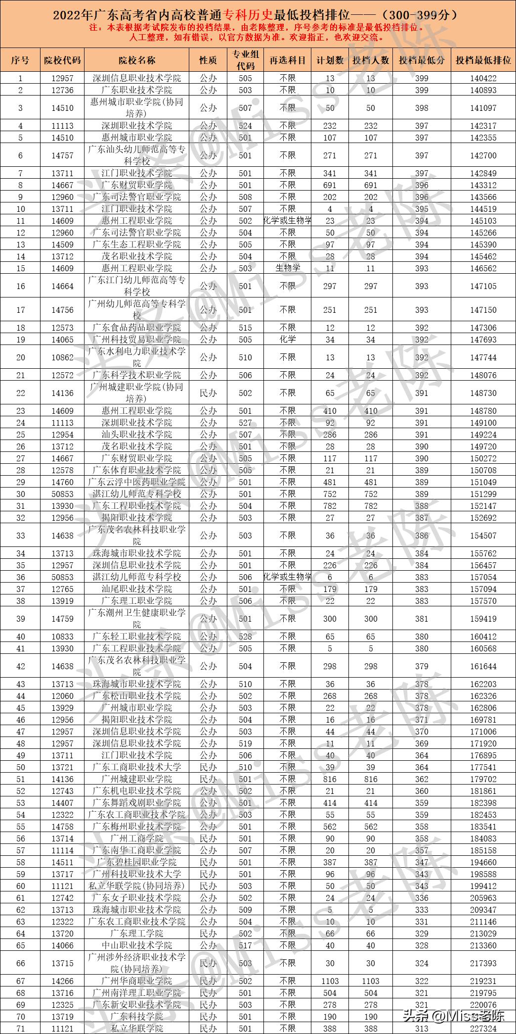
300-399分

300-399的分数段,对应的排位约在14W-23W。
300分以下

数据来源:广东省教育考试院投档数据、广东省2022年历史类招生目录
人工整理,如有错误,欢迎交流。如果对您有用,可以点赞、评论、转发~
关注老陈,get你想要的升学资讯!