不等式在初中、高中甚至竞赛中都是比较相对综合、有难度的一块内容,经常会与方程、函数等其它知识点一起考察,一般的题型有:解不等式°
证明不等式、求最大最小值。
这里我们介绍一个最基本最重要的不等式:对于任意实数a,b
a² + b² ≥ 2ab
证明:
(a-b) ² ≥0 <=> a² -2ab+ b² ≥0 <=> a²+b²≥2ab
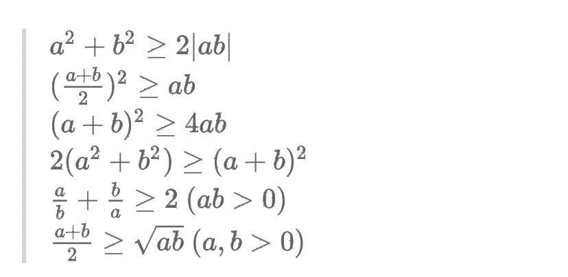
上述不等式还有许多变形:

最后一种变形其实就是均值不等式(有时称为,平均值不等式)均值不等式有一种图形证明:


上述不等式也可以推广到三个情况:
当a,b,c均为正实数时,a³十b³十c³ ≥ 3abc
或把 a,b,c替代为³ √a,³ √b,³ √c 则有:
a+b+c/3 ≥ ³ √abc

上面是基本的不等式,下面我们通过试题来看一下:
2015-交附数学自主招生-2

上面这道题是基本不等式的简单应用,那么下面来看一下利用不等式解方程

这是一个不定方程三个未知数但是只有一个方程,一般是无法求解出来的,这种肯定有特别之处:

上面这道题就是另外一种考法,考察了不等式取等号的条件。更多的不等式知识与题型,如柯西不等式、求解高次不等式等,我们之后再分享
一己拙见,欢迎大家交流讨论~~
#数学##数学思维##学习方法# #均值不等式##高中数学##知识分知识分享干货#