
1
重点、难点分析
难点:
1、管道系统复杂,支架形式多样,选型难以把握,支架易变形产生隐患;
措施:
1、采用优质钢材制作;
2、进行满载荷计算,对支架进行受力分析;
3、选取经济可靠的支架;

难点:
2、管道管径大,受力集中;支架数量庞大,安全隐患点多;
措施:
1、对焊工进行技术交底,选用技术过硬焊工进行专职制作;确保焊接质量和效率;
2、对焊缝进行防腐处理,必要时进行探伤检查;

2
支吊架的选型
1、计算管道重量
按设计管道支吊架间距内的管道自重、满管水重、保温层重及10%的附加重量(管道连接件等)计算;
2、设计载荷
垂直荷载:考虑制造、安装等因素,采用支吊架间距的标准荷载乘以1.35的荷载分项系数;
水平荷载:水平荷载按垂直荷载的0.3倍计算;
不考虑风荷载。

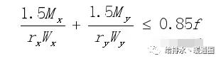
3、横担抗弯强度计算
横担存在水平推力时抗弯强度按下式计算

横担不存在水平推力时抗弯强度按下式计算

式中:
rx、ry ‒ ‒截面塑性发展系数
1)承受静力荷载或间接承受动力荷载时, rx = ry =1.05。
2)直接承受动力荷载时, rx = ry =1。
Mx、My‒ ‒所验算截面绕x轴和绕y轴的弯矩(N·mm )
Wx、Wy ‒ ‒所验算截面对x轴和对y轴的净截面抵抗矩(mm³ )
f‒ ‒钢材的抗弯、抗拉强度设计值(N/mm²)
4、实例分析
现以两根DN400的无缝钢管一起做支架进行举例说明:

(1)支架具体数据如上图所示,支架间距设置为4.8m一个;
(2)计算管道重量:
查阅五金手册并计算可得下表:
管径(mm)
壁厚(m)
外径(m)
内径(m)
每M管重(Kg)
每M水重(Kg)
每M保温重量(Kg)
每M满水重(Kg)
400
0.009
0.426
0.408
92.554
130.740
3.741
227.035
(3)计算时,以10Kg为基数,即不满10Kg的按照10Kg计算。
支架间距为4.8m,即每个支架相当于要承受4.8m管道的重量
4.8mDN400无缝钢管重量:
M=4.8*每m满水重=4.8*230=1104kg
故受力F=M*g=11040N
(4)载荷计算
根据支架方案,建立模型,分析受力情况,找出最不利点;
此处,先假设采用12.6#槽钢,查阅五金手册,其单位重量为12.4kg/m
故 其均布荷载为0.124N/mm;

槽钢横担的受力为两个集中应力和一个均布荷载的叠加。
集中应力受力分析图:

均布载荷受力分析图:

两者叠加后弯矩图:

由图可知,其最不利点得位置,为了方便计算选取1/2处为最不利点,由此可根据公式得出支架标准载荷Mk=88495 N·mm
因为标准荷载Mk=884951N*mm,所以垂直荷载Mx=1.35Mk
水平荷载按照垂直荷载的0.3倍计算,即水平荷载My=0.3Mx
由右表可知,
Wx=0.0621mm3
Wy=0.0102mm3
为加大保险系数,此处当所用材料为刚性材料,无塑性。截面塑性发展系数都取1。即Rx=Ry=1

来源:中建三局、百度文库版权归原作者所有
钢材的抗拉强度设计值采用钢材Q235的数据,为215N/mm2,即f=215 N/mm2;
将数据代入横担抗弯强度公式

即可知所验算材料型号是否符合受力要求。各种型号型钢计算结果如下表:
槽钢型号
Mk
Mx(N*mm)
My(N*mm)
Wx(mm3)
Wy(mm3)
结果(N/mm2)
钢材抗拉强度设计值(N/mm2)
12.6
749778
1012200
303660
62100
10200
81.30021
215
10
748087
1009917
302975
39700
7800
113.4383
215
8
746679
1008017
302405
25300
5790
162.47894
215
6.3
745693
1006686
302006
16100
4500
228.77545
215
3
螺栓及吊具选型
1、膨胀螺栓受力计算
膨胀螺栓设计参数如右表:
YG3型膨胀螺栓
拉力值KN
剪力值KN
M12
12.97
8.93
M16
24.5
16.86
DN400无缝钢管重量表:
管径(mm)
壁厚(m)
外径(m)
内径(m)
每M管重(Kg)
每M水重(Kg)
每M保温重量(Kg)
每M满水重(Kg)
400
0.009
0.426
0.408
92.554
130.740
3.741
227.035
每个支架相当于承受两根4.8m DN400无缝钢管
总重量为M=230*4.8*2=2208Kg
故F=Mg=22080N=22KN
假设使用M12膨胀螺栓,共计12个,则,能承受的剪力值为107.16KN
为管道重量的5倍。
此处,每个支架使用M12的膨胀螺栓12个,完全能够承受此种支架方案的受力。

2、葫芦吨位确定:
一次性吊装2根DN400管道,每根管道长24米。DN400管道重量为92.5KG/M。故管道总重量为M=2*24*92.5=4440KG。
每根支架总长度为3米,与管道一次性固定3根支架。12.6#槽钢重量为12.4KG/M。
故支架总重量为M=3*3*12.4=111.6KG
支架与管道总重量为M=4440KG+111.6KG=4551.6KG
吊装过程采用4个葫芦同时均匀受力,此处每个葫芦承受的重量为4551.6/4=1137.9KG
葫芦采用3吨位的能够满足;

4
成品支架展示
支架大样图及完成照片展示:



5
施工保障措施
1、质量保障措施
(1)、所以进场材料全部进行验收,从材料源头开始控制质量,杜绝使用不合格产品。
(2)、所有焊工实名制管理,确保每道焊缝合格,对于焊缝全数检查。
(3)、支架所有焊缝采用专职焊工焊接,对于焊缝进行防腐处理。

2、成品保护措施
所有材料堆放于干燥、干净的场地,防止腐蚀。

3、安全保障措施
(1)、现场必须正确佩戴安全帽,高空作业必须正确佩带安全带,脚手架、施工吊架搭设验收合格,严禁酒后进入施工现场作业,施工负责人对施工人员做好相关应急工作。暖通Q交流群:584122342.交流讨论.
(2)、管道吊装所用绳索、葫芦及其他工具,在使用前一定检查合格,存在安全隐患的禁止使用。
(3)、在梁上部临时设置的吊装点一定要焊接牢固,吊装前要有专人检查,才能使用。
(4)、吊装管道时要有足够的人手,不能盲目施工,现场要有专人负责指挥,起吊速度不宜过快,确保吊装安全顺利进行。
(5)、特殊工种必须有操作证件,当现场进行电气焊作业时,操作人员必须对现场周围进行检查是否存在易燃易爆物品,如果存在不安全因素,应采取相应的保护措施,移动可燃物品隔离,设专业人员携带干粉灭火器监护。